ORIGINAL RESEARCH article
Front. Endocrinol.
Sec. Pediatric Endocrinology
Bile acids: potential links to overweight/obesity and androgen levels in pubertal girls
Provisionally accepted- 1Division of Intramural Research, National Institute of Environmental Health Sciences (NIH), Durham, United States
- 2National Institute of Environmental Health Sciences, Durham, United States
- 3DLH Corporation, Silver Spring, United States
Select one of your emails
You have multiple emails registered with Frontiers:
Notify me on publication
Please enter your email address:
If you already have an account, please login
You don't have a Frontiers account ? You can register here
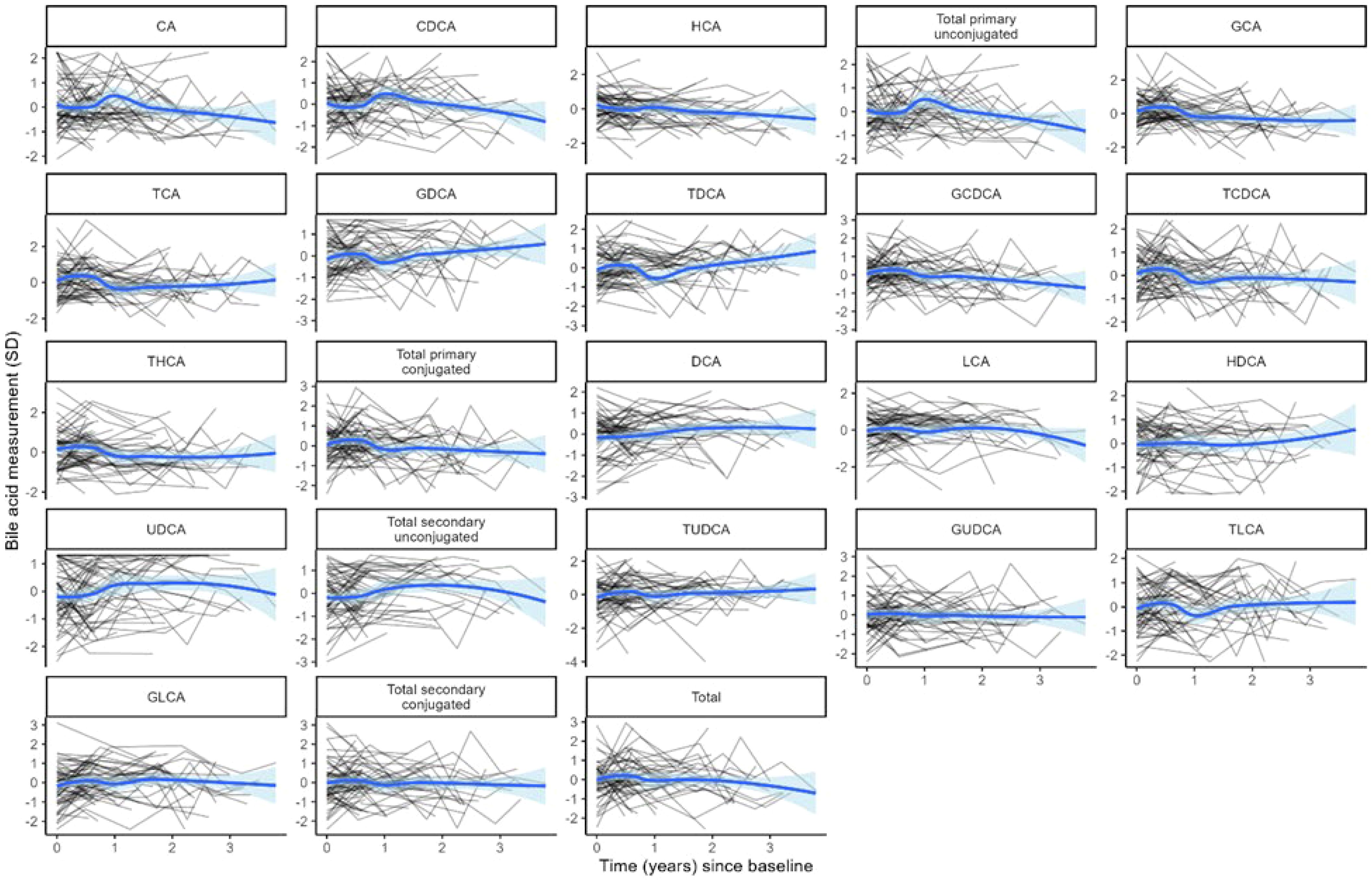
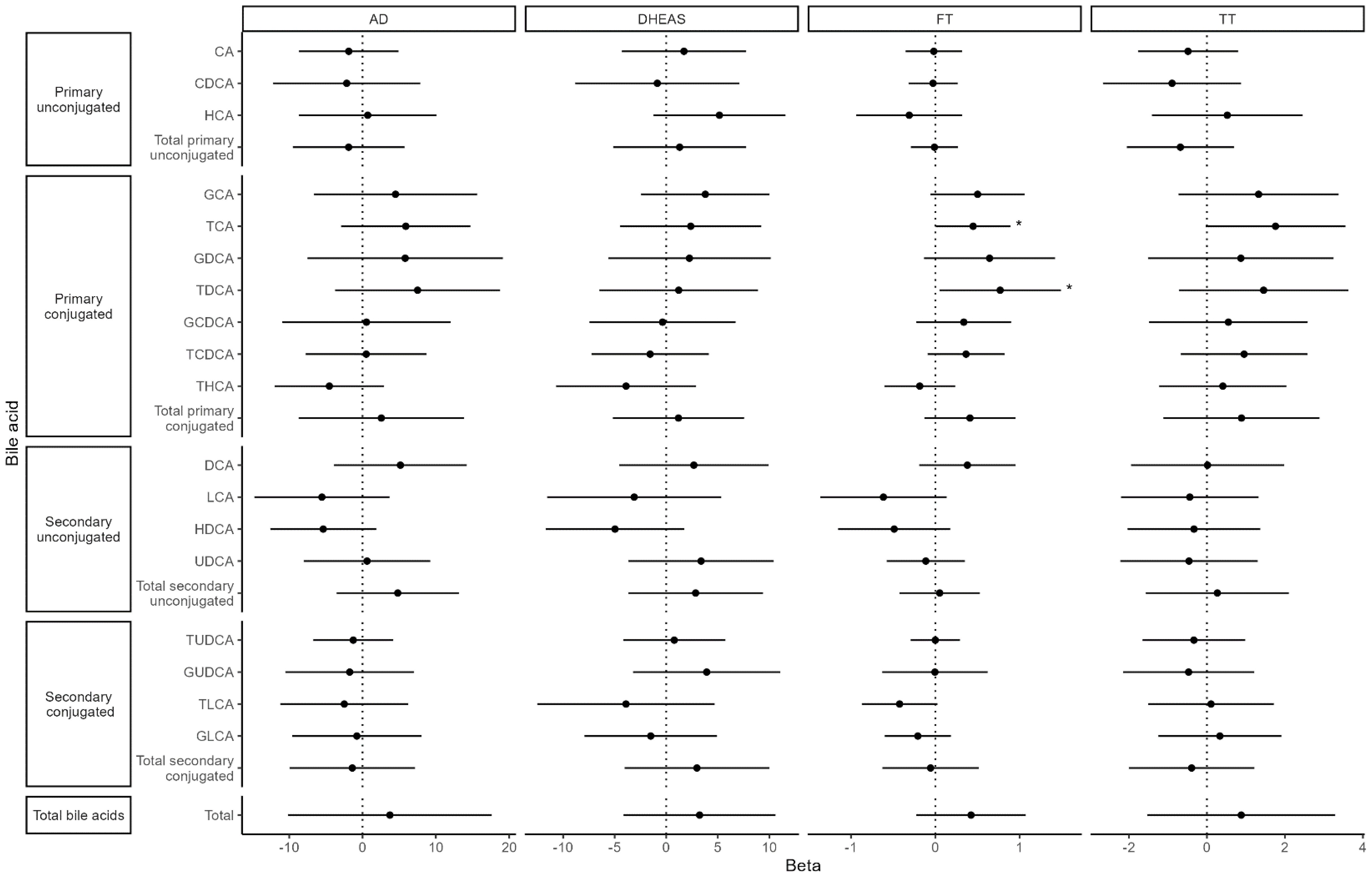
Background: Pubertal girls with higher body mass index (BMI) or total body fat (TBF) have higher androgens. We demonstrated that several bile acids (BAs) were associated with BMI, TBF, and androstenedione in an untargeted metabolomics study. Objective: To investigate the relationship between body composition, BAs, and androgens in pubertal girls. Methods: Blood samples were collected at up to 7 study visits that included Tanner staging, breast ultrasound, and dual-energy X-ray absorptiometry. Serum total testosterone, free testosterone (FT), androstenedione, dehydroepiandrosterone sulfate, and 18 BAs were measured by liquid chromatography mass spectrometry. Generalized estimating equations estimated associations between TBF percent or BMI Z-score, hormones, and BAs adjusted for time since enrollment, age, menarche status, race, and breast morphological stage. Exposures were taken from the preceding study visit (lagged). Results: 82 participants (aged 10.9±1.4 SD years; 55% non-Hispanic White, 29% non-Hispanic Black, 11% Hispanic, 6% Other; 65% normal weight, 35% overweight/obese) contributed an average of 2.59 samples. BAs were stable over time and not associated with menarchal status. BMI and TBF were negatively associated with total BAs (pFDR =0.0001). FT was nominally positively associated with two primary, conjugated BAs: taurocholic acid (p =0.047) and taurodeoxycholic acid (p =0.036). Conclusion: BAs are important signaling molecules with roles in metabolic and endocrine function. BMI and TBF were inversely associated with BAs and two BAs were nominally positively associated with FT in girls across a spectrum of body weights. These results suggest novel biological links between altered bile acid signaling, overweight/obesity, and androgen production among pubertal girls.
Keywords: Bile acids, Puberty, Obesity, Androgens, Adolecent girls
Received: 29 Aug 2025; Accepted: 23 Oct 2025.
Copyright: © 2025 Shaw, Malave-Ortiz, McNeley, Denslow and Lih. This is an open-access article distributed under the terms of the Creative Commons Attribution License (CC BY). The use, distribution or reproduction in other forums is permitted, provided the original author(s) or licensor are credited and that the original publication in this journal is cited, in accordance with accepted academic practice. No use, distribution or reproduction is permitted which does not comply with these terms.
* Correspondence: Natalie Dara Shaw, natalie.shaw@nih.gov
Disclaimer: All claims expressed in this article are solely those of the authors and do not necessarily represent those of their affiliated organizations, or those of the publisher, the editors and the reviewers. Any product that may be evaluated in this article or claim that may be made by its manufacturer is not guaranteed or endorsed by the publisher.
