ORIGINAL RESEARCH article
Front. Endocrinol.
Sec. Thyroid Endocrinology
Association of Thyroid Hormone Sensitivity Indicators with Visceral Fat Area in Euthyroid Overweight/Obese Type 2 Diabetes Patients: Sex Differences
Provisionally accepted- 1Shandong Second Medical University, Weifang, China
- 2The Second Affiliated Hospital of Bengbu Medical College, Bengbu, China
- 3Beijing University of Chinese Medicine, Beijing, China
- 4Linyi People's Hospital, Linyi, China
Select one of your emails
You have multiple emails registered with Frontiers:
Notify me on publication
Please enter your email address:
If you already have an account, please login
You don't have a Frontiers account ? You can register here
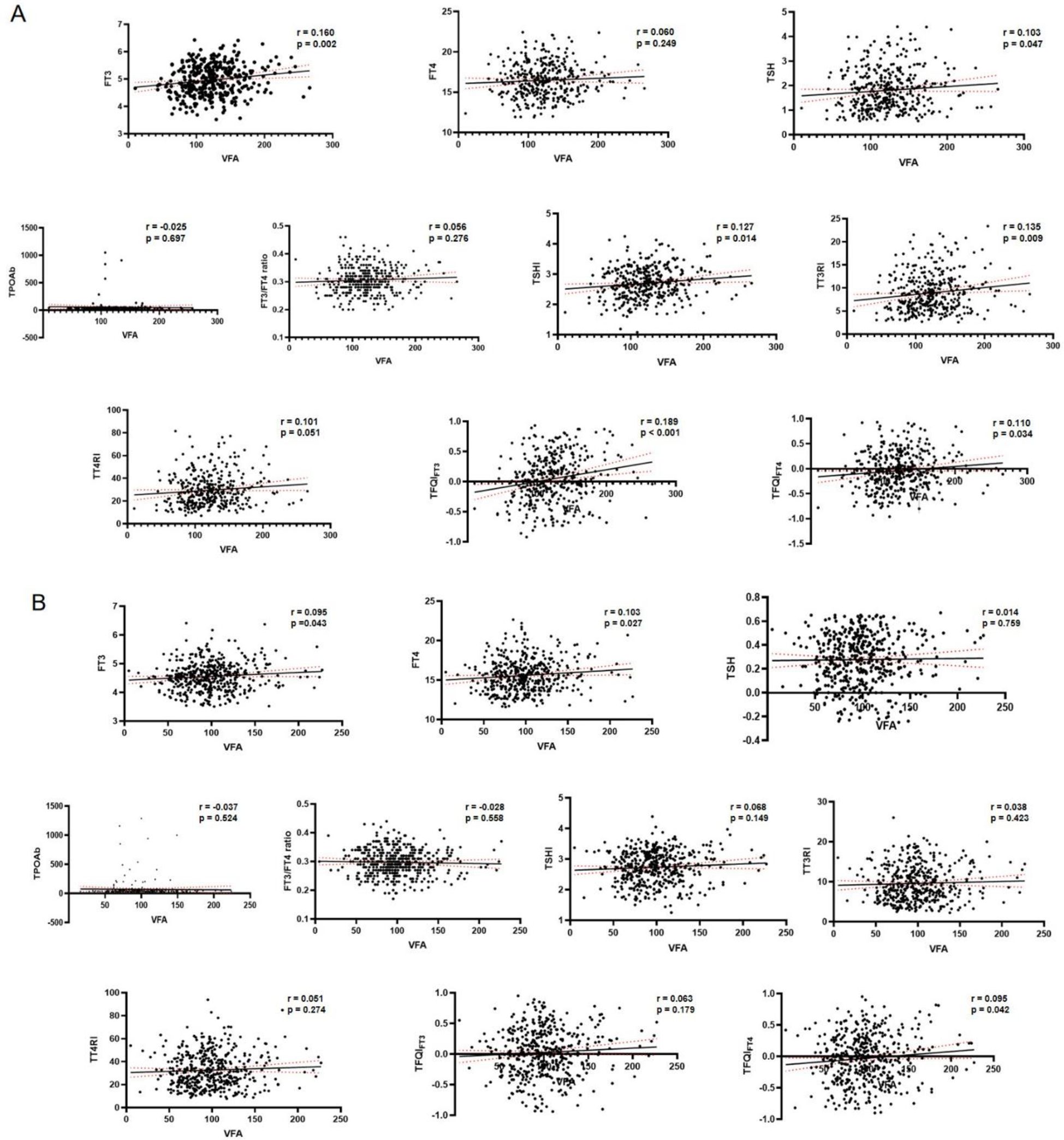
Aims: Thyroid hormone (TH) sensitivity plays a key role in glucose and lipid metabolism. However, its relationship with visceral fat distribution in euthyroid overweight/obese patients with type 2 diabetes mellitus (T2DM) remains unclear. This study aimed to examine the associations between TH sensitivity indices and visceral fat area (VFA), with particular attention to sex-specific differences. Methods: A total of 831 euthyroid overweight/obese T2DM patients (374 males and 457 females) were enrolled. Multiple TH sensitivity indices were calculated. VFA was measured by bioelectrical impedance analysis (BIA), and visceral fat obesity (VFO) was defined as VFA ≥ 100 cm ² . Associations were assessed using univariate and multivariate linear and logistic regression models, adjusting for age, BMI, and glycemic control parameters. Results: In males, TFQIFT3 was independently associated with VFA (β = 0.088, P < 0.05) and predicted VFO (OR: 2.545; 95% CI: 1.206 – 5.370, P = 0.014). In females, no significant associations were observed between TH sensitivity indices and either VFA or VFO, indicating a clear sex-specific difference. Conclusions: TFQIFT3 may serve as a potential marker linking thyroid hormone sensitivity with visceral fat accumulation, particularly in male T2DM patients.
Keywords: Thyroid hormone sensitivity, visceral fat area, Visceral fat obesity, type 2 diabetes mellitus, sex differences
Received: 08 Sep 2025; Accepted: 29 Oct 2025.
Copyright: © 2025 Ma, Zhou, Ma, Sheng, Jiang, Gao and Ji. This is an open-access article distributed under the terms of the Creative Commons Attribution License (CC BY). The use, distribution or reproduction in other forums is permitted, provided the original author(s) or licensor are credited and that the original publication in this journal is cited, in accordance with accepted academic practice. No use, distribution or reproduction is permitted which does not comply with these terms.
* Correspondence: Baolan  Ji, jibaolan@yeah.net
Disclaimer: All claims expressed in this article are solely those of the authors and do not necessarily represent those of their affiliated organizations, or those of the publisher, the editors and the reviewers. Any product that may be evaluated in this article or claim that may be made by its manufacturer is not guaranteed or endorsed by the publisher.
