ORIGINAL RESEARCH article
Front. Endocrinol.
Sec. Thyroid Endocrinology
Volume 16 - 2025 | doi: 10.3389/fendo.2025.1707049
N-Phenethylacetamide, Diaminopimelic acid and Gly-Val as high-performance serum biomarkers for diagnosing untreated Graves' Disease: an LC-MS-based metabolomics study
Provisionally accepted- 1Shenzhen Longhua District Central Hospital, Shenzhen, China
- 2Southern Medical University, Guangzhou, China
Select one of your emails
You have multiple emails registered with Frontiers:
Notify me on publication
Please enter your email address:
If you already have an account, please login
You don't have a Frontiers account ? You can register here
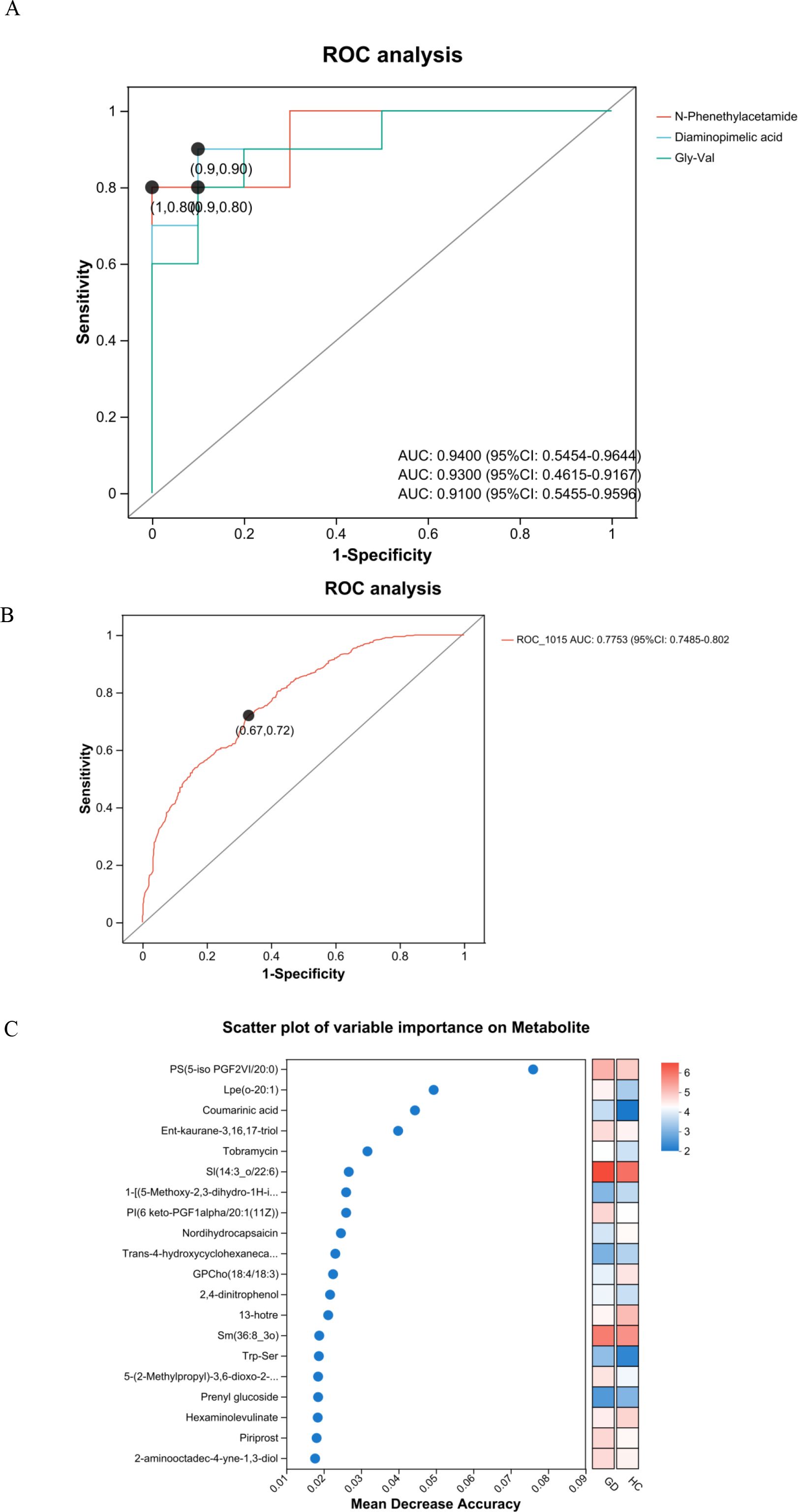
Graves' Disease (GD) is an autoimmune disorder characterized by hyperthyroidism and systemic metabolic disturbances. This study employed LC-MS-based serum metabolomics to investigate metabolic alterations in untreated GD patients from Shenzhen, China, compared to healthy controls (HC). We identified 334 significantly dysregulated metabolites, predominantly involved in lipid and organic acid metabolic pathways such as linoleic acid, α-linolenic acid, and arachidonic acid metabolism. Several metabolites demonstrated high diagnostic potential, most notably N-Phenethylacetamide (AUC = 0.94), Diaminopimelic acid (AUC = 0.93), and the dipeptide Gly-Val (AUC = 0.91). These findings reveal profound metabolic reprogramming in GD, underscore the central role of inflammatory lipid pathways and amino acid metabolism, and provide promising biomarker candidates to improve the diagnosis and inform future therapeutic strategies for Graves' Disease.
Keywords: Graves' disease, Serum, LC-MS, Metabolomics, biomarker, N-Phenethylacetamide, Diaminopimelic Acid, Gly-Val
Received: 17 Sep 2025; Accepted: 23 Oct 2025.
Copyright: © 2025 Fang, Ning, Wu, Liu and Ning. This is an open-access article distributed under the terms of the Creative Commons Attribution License (CC BY). The use, distribution or reproduction in other forums is permitted, provided the original author(s) or licensor are credited and that the original publication in this journal is cited, in accordance with accepted academic practice. No use, distribution or reproduction is permitted which does not comply with these terms.
* Correspondence: Jie Ning, jiening919@gmail.com
Disclaimer: All claims expressed in this article are solely those of the authors and do not necessarily represent those of their affiliated organizations, or those of the publisher, the editors and the reviewers. Any product that may be evaluated in this article or claim that may be made by its manufacturer is not guaranteed or endorsed by the publisher.
