ORIGINAL RESEARCH article
Front. Endocrinol.
Sec. Pediatric Endocrinology
High-Fat Diet-Induced Obesity Accelerates Puberty in Male Rats Through Smim20/Phoenixin Upregulation
Provisionally accepted- 1First Affiliated Hospital, Guangxi Medical University, Nanning, China
- 2Difficult and Critical illness Center, Pediatric Clinical Medical Research Center of Guangxi, Nanning, China
- 3The Key Laboratory of Children's Disease Research in Guangxi’s Colleges and Universities, Education Department of Guangxi Zhuang Autonomous Region, Nanning, China, China
- 4Guangxi Medical University, Nanning, China
- 5First Peoples Hospital of Nanning, Nanning, China
Select one of your emails
You have multiple emails registered with Frontiers:
Notify me on publication
Please enter your email address:
If you already have an account, please login
You don't have a Frontiers account ? You can register here
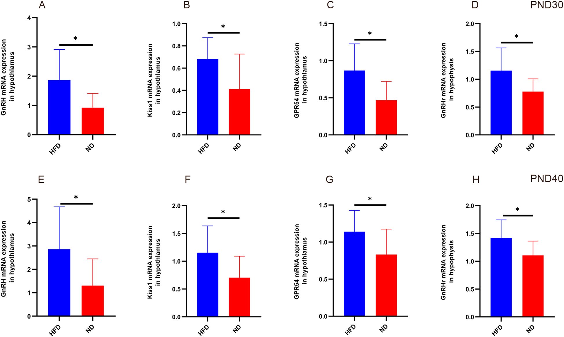
Background: Controversy exists regarding the relationship between obesity and pubertal onset in boys, and the underlying mechanisms remain unclear. Objective: To establish a high-fat diet (HFD)-induced obesity model in juvenile male Sprague-Dawley (SD) rats, and to investigate the relationship between obesity and pubertal advancement as well as the role of Smim20/phoenixin (PNX) in male pubertal development. Methods: A HFD (45% fat) was administered to male SD rats to induce obesity, while control rats were maintained on a normal diet (ND) from birth. Body weight and preputial separation were monitored as markers of obesity and pubertal onset. At prepubertal (postnatal day 30, PND30) and early pubertal (PND40) stages, serum, hypothalamus, pituitary, testes, and adipose tissue were collected. RT-qPCR was performed to measure the mRNA expression levels of key genes in the hypothalamic–pituitary–gonadal axis (HPGA), including gonadotropin-releasing hormone (GnRH), Kiss1, G protein-coupled receptor 54 (GPR54), GnRH receptor (GnRHr), and Smim20. Serum luteinizing hormone (LH), follicle-stimulating hormone (FSH), testosterone, and PNX protein were measured by ELISA. Associations among obesity (body mass index, BMI), PNX, and pubertal timing were evaluated using Spearman's correlation. Results: HFD-fed rats exhibited significantly greater body weight and fat mass than ND-fed rats at both time points. (P<0.001), with earlier preputial separation (P<0.001). Testicular weight and expression of GnRH, Kiss1, GPR54, and GnRHr were increased, alongside higher serum LH, FSH, and testosterone (all P<0.05). PNX expression in hypothalamus, pituitary, testes, and subcutaneous fat, as well as serum PNX-14 and PNX-20 levels, were significantly elevated in HFD rats compared with controls (P<0.05). After adjusting for BMI, serum PNX-20 and PNX-14 (P<0.001) remained higher in the HFD group. Body weight was negatively correlated with age at preputial separation and positively correlated with serum LH, testosterone, abdominal circumference, PNX. Conclusion: To our knowledge, this study established a novel HFD–induced model of prepubertal obesity and central precocious puberty (CPP) in male rats. The findings suggest that obesity may accelerate pubertal onset, and that Smim20/PNX may participate in regulating pubertal development in males.
Keywords: Phoenixin, high-fat diet, Early puberty, Obesity, male rats
Received: 23 Sep 2025; Accepted: 03 Nov 2025.
Copyright: © 2025 Xie, Qin, Zeng, Wang, Chen, Chen, Zhong and Lan. This is an open-access article distributed under the terms of the Creative Commons Attribution License (CC BY). The use, distribution or reproduction in other forums is permitted, provided the original author(s) or licensor are credited and that the original publication in this journal is cited, in accordance with accepted academic practice. No use, distribution or reproduction is permitted which does not comply with these terms.
* Correspondence: Dan Lan, landan_ld@163.com
Disclaimer: All claims expressed in this article are solely those of the authors and do not necessarily represent those of their affiliated organizations, or those of the publisher, the editors and the reviewers. Any product that may be evaluated in this article or claim that may be made by its manufacturer is not guaranteed or endorsed by the publisher.
