Abstract
Seasonal altitudinal mobility has been a key practice among pastoral societies in the north-eastern Iberian Peninsula to cope with the unpredictable Mediterranean climate. The existence of a massive and regulated mobile herding system in this area dates back to the 12th century. Nevertheless, early herd connections between the lowlands and the Pyrenees during the Roman period have been documented. The available information regarding the potential adoption of sheep's mobile pastoralism by Iberian societies prior to the Romans' arrival is limited. This study aims to provide fundamental new insights into livestock altitudinal mobility during this period through a biogeochemical approach. Sequential analysis of carbon and oxygen isotope values is combined with strontium isotope ratios from sheep second and third lower molars from four Catalan sites (Mas Castellar de Pontós, Tossal de Baltarga, Sant Esteve d'Olius, Turó de la Rovira). The results reveal evidence of migrations across different altitudinal and geological areas, unveiling the great adaptability of mobile livestock strategies by Iberian populations. The first evidence of descending herds' mobility from the Pyrenees to the lowlands prior to the Roman conquest is also attested. Finally, the effectiveness of multi-isotope analysis (δ18O, δ13C, 87Sr/86Sr) in detecting seasonal livestock movements is demonstrated. Thus, this study provides a comprehensive and nuanced understanding of the complexity of sheep livestock management of the north-eastern Iberian societies during the Middle/Late Iron Age. Moreover, the research points to a more integrated and connected Ibero-Pyrenean world with contemporary lowland communities than so far suggested. However, animal mobility was not widely practised and was possibly determined by the environmental conditions, economic needs, and political decisions of each settlement.
1. Introduction
Seasonal altitudinal mobility has always been one of the main practices adopted by Mediterranean pastoral societies to cope with the unpredictable and highly variable climatic conditions (Gómez-Pantoja, 2004; Oteros-Rozas et al., 2013). The Mediterranean climate is, in fact, distinguished by marked seasonal fluctuations in pasture availability and rainfall, as well as the contrast between arid lowlands in the summer and snow-covered highlands during the winter (Davies, 1941; Georgoudi, 1974; Ruiz and Ruiz, 1986). Consequently, the seasonal altitudinal migration of herds allows the complementary exploitation of both fresh highland pastures during the summer and warmer lowland ones during the winter (Davies, 1941; Gómez-Ibañez, 1977; Cleary, 1986; Ruiz and Ruiz, 1986). This correspondence between the herd's fodder requirements and the seasonal peaks in pasture availability ensures optimal feeding of the animals throughout the year (Ruiz and Ruiz, 1986; Manzano-Baena and Casas, 2010; Oteros-Rozas et al., 2013). Seasonal altitudinal mobility is a livestock strategy particularly suited to the ecological and orographic conditions of the Iberian Peninsula. Indeed, a year-round complementarity between lowland and highland areas is favoured by the presence of large areas with a Mediterranean climate (Ruiz and Ruiz, 1986; Gómez-Pantoja, 2004; Manzano-Baena and Casas, 2010). In the Iberian Peninsula, mobile pastoralism has historically been mainly related to sheep husbandry and fine wool production (Blanks, 1995; Manzano-Baena and Casas, 2010; Nieto Espinet, 2016; Tornero et al., 2018). This husbandry strategy reached its peak during the Middle Ages, with the official formation of the Honrado Concejo de la Mesta in 1273, the most prominent example of a herder organization in the Mediterranean. This powerful and wealthy syndicate supervised the seasonal altitudinal migration of thousands of herds between the Segovia highlands and the vast southern lowlands (Brun, 1996; Gómez-Pantoja, 2004; Oteros-Rozas et al., 2012). In the north-east of the Iberian Peninsula (present-day Catalonia), the organization of a large-scale seasonal altitudinal migration system of herds has medieval origins (11th−12th c.), developed by Pyrenean rural communities and major monasteries. The latter renovated the existing route network that spanned the entire territory, connecting plains, Pre-Pyrenees, and Pyrenees (Vilà i Valentí, 1991; Marti et al., 1995). This extensive network of routes follows the traces of ancient pathways, reinforced by the Roman road and bridge system (Ruiz and Ruiz, 1986; Alfaro, 2001). Indeed, under the Romans, a long-distance trade network was consolidated in the eastern Pyrenees. These trade routes were also used by the mobile flock and were not only to connect the different grazing areas, but also to maintain them under tributary control (Olesti, 2022). Although there is no direct evidence of structured seasonal altitudinal mobility during Roman times, it seems unlikely that such a profitable and widespread activity in Italy was not also practised in provinces with suitable climatic conditions, available land for livestock pasturing, and flocks (Gómez-Pantoja, 2001). Indeed, the first direct attestation of mobile pastoralism coincides with the first legal regulation of these pastoral routes with the Fuero Juzgo, the Visigothic code of laws, between the 6th and 7th centuries. This text includes regulations for the passage of livestock through open fields and public roads. This code of laws was compiled from prior Roman common law, suggesting the existence of a regulated and organized livestock seasonal mobility under Roman rule (Ruiz and Ruiz, 1986; Gómez-Pantoja, 2001, 2004; Euba, 2008; Manzano-Baena and Casas, 2010). Colominas et al. (2019) applied geometric morphometrics to the study of size and shape variability in sheep astragali from nine sites dated from the Middle Iron Age to the Early Roman period (5th century BC−3rd century AD) and located in the eastern Pyrenees (Cerdanya) and the north-eastern Iberian coast (Empordà plain). The results obtained were combined with data-sets from Number of Identified Specimens (NISP) and slaughtering patterns from traditional zooarchaeological studies. According to Colominas et al., data from the Roman period reveal that both mountainous and coastal sites exhibited similar astragali size and morphology, as well as the implementation of similar husbandry practices. This evidence would suggest the existence of a connection between the two areas, involving a shared orientation in the exploitation of sheep and possible seasonal altitudinal movements of the herds. On the other hand, during the Middle Iron Age, there was a clear distinction in size and husbandry strategies between the herds raised in the mountain sites and those bred by the Iberian communities in the lowland coast. The local character of the livestock practices and the presence of different sheep populations between the two areas during this period would suggest few livestock connections between mountain and coastal communities. Therefore, a regular livestock mobility from the lowland coast to the Pyrenees and vice versa would have occurred for the first time during the Roman period. Indeed, under Roman rule, increasing anthropogenic pressure on the local landscape would have made the migration of livestock to ecologically complementary areas necessary for their feeding (Nolla et al., 2010; Colominas et al., 2019). In two previous studies, Valenzuela-Lamas et al. (2016, 2018) carried out strontium isotopic analyses on sheep and goat teeth from the site of Turó de la Font de la Canya (Barcelona), dated between the 7th and 2nd centuries BC. The obtained strontium values are quite homogeneous and do not show any evidence of long-distance seasonal mobility, suggesting that Iron Age communities in the north-eastern Iberian Peninsula practised limited-scale husbandry.
From the Middle Iron Age until the Roman conquest, these communities were characterized by a proto-state structure. This strongly hierarchical system was organized into several centralized political entities (Gracia, 2005; Sanmartí, 2014, 2021). Within this framework, a wide array of interconnected open-air settlements with specific functions emerged: i.e., fortified centers, rural establishments, small villages, and silo fields (Gracia, 2005; Sanmartí, 2014, 2021). All these settlements were structured around the so-called first-order cities, which operated as central nuclei responsible for the control and centralization of agricultural production (Asensio et al., 1998; Bouso et al., 2000; Sanmartí, 2004, 2014; Sanmartí et al., 2019). These communities developed a predominantly agricultural economy devoted to self-sufficiency, with cereal surplus being the main exchange product (Asensio et al., 2003a; Asensio, 2013; Prats et al., 2020). Animal husbandry played a significant role and was perfectly suited to the agricultural schedule (Messana et al., 2023). It was mostly specialized in caprines, with a predominance of sheep, and counted on diversified and selective livestock strategies, catered to the necessities of each settlement (Albizuri and Nadal, 1999; Franquesa et al., 2000; Colominas, 2008, 2013; Colominas et al., 2019; Nieto Espinet et al., 2021). Previous oxygen isotope analyses have also documented that distinct breeding strategies were adopted by different Iberian communities in relation to their environmental conditions, economic needs, and political decisions (Messana et al., 2023). Sheep husbandry was, therefore, a key activity among the subsistence strategies of Iron Age communities in the north-eastern peninsula. However, there is limited information available regarding the potential mobile herding systems at short or long distances adopted by Iberian societies. To address this lacuna, in this study we apply a biogeochemical approach (isotope analysis) to investigate seasonal altitudinal mobility of herds in four Middle/Late Iron Age settlements located in the north-east of the Iberian Peninsula: Mas Castellar de Pontós, Tossal de Baltarga, Sant Esteve d'Olius, and Turó de la Rovira. Different isotopic signatures retrieved from sampled sheep individuals to trace signs of livestock mobility: sequential dental series of carbon, oxygen, and strontium analysis. These data not only offer crucial information on livestock management by Iberian communities before Roman conquest but also provide important evidence about the nature of the relationships between them.
Mobile pastoralism can be challenging to detect archaeologically because it leaves highly ephemeral traces. Stable isotope analyses have emerged as a fundamental tool for addressing this issue and allowing a characterization of husbandry strategies, including the seasonal altitudinal mobility of livestock. Indeed, the isotopic signatures incorporated into sheep molar enamel from the food and drinking water they consumed can be used to reconstruct the environmental conditions in which the animals lived and how these changed during their lives (Balasse and Ambrose, 2005; Tornero et al., 2018). Following this principle, livestock mobility can be detected by, but not only, the inverse relationship between oxygen and carbon values (δ18O and δ13C, see Section 2.3.1.) along the sequential dental series, as originally proposed in Tornero et al. (2016, 2018).
In the sequential analysis of δ18O and δ13C values, seasonal altitudinal movements of a sheep herd between pastures with different vegetation and meteoric waters are identified along the intra-tooth dental series when high δ13C values coincide with low δ18O values and vice versa (Makarewicz et al., 2017; Knockaert et al., 2018; Janzen et al., 2020; Tejedor-Rodríguez et al., 2021). Tooth enamel does not remodel once mineralized and, as a result, reflects the isotopic signatures registered during its formation. The oxygen isotope composition of enamel mineral fraction (i.e., bioapatite compound) is primarily derived from ingested water and plant consumption (Longinelli, 1984; Luz et al., 1984). These isotopic signatures are related to the meteoric water and temperature, which vary seasonally in temperate latitudes. At mid and high latitudes, higher δ18O values are indicative of the warmer season, whilst lower δ18O values occur during the coldest one (Gat, 1980). δ13C values measured in bioapatite are related to the carbon isotopic composition of the plants that were consumed (Lee-Thorp and Van der Merwe, 1987). This mainly varies according to plants' photosynthetic pathway (i.e., C3 and C4), but it can also be influenced by growing conditions and other factors (Bender, 1971; Farquhar et al., 1989). Vegetation in Western Europe is generally dominated by C3 plants, which are typical of temperate environments, while wild C4 plants are inexistent or residual, and if present, always located in lowland areas (Mateu, 1992; Tafuri et al., 2009; Pyankov et al., 2010). Generally, C3 plants grown in dry environments tend to have higher δ13C values than those adapted to humid conditions. This is due to their greater water use efficiency. Conversely, plants grown in humid environments show lower δ13C values (Farquhar et al., 1989; Friend et al., 1989; Körner et al., 1991; Kohn, 2010). Furthermore, δ13C values slightly increase along altitudinal gradients due to the decrease in CO2 pressure on δ13C (Körner et al., 1991). In addition, seasonality has a moderate influence on the δ13C values of C3 plants. Consequently, the highest values occur during the warmest and driest season, whereas the lowest values are observed during the coldest and wettest season (Smedley et al., 1991; Diefendorf et al., 2010; Hartman and Danin, 2010). Based on these premises, the negative co-variation of the δ18O and δ13C sequences along the tooth crown provides evidence for seasonal altitudinal mobility of livestock between pastures with distinct meteoric waters and vegetation. In this way, individuals grazing at higher altitudes during the summer months return a sequence with the highest δ13C values corresponding to the lowest δ18O values. By contrast, individuals grazing at lower altitudes during the winter months show a sequence with the lowest δ13C values corresponding to the highest δ18O values. In this study, the modern references presented in the works of Knockaert et al. (2018) and Tornero et al. (2018) are used as baselines for interpreting the archaeological data. Both of these cited studies were conducted in the Pyrenees Mountains, the closest elevated locations to the archaeological sites where samples were recovered. These are the only two available experimental studies in the study region.
Strontium isotope ratios can provide evidence of mobility between territories with different geological substrates. This is because the geochemical signature of strontium isotopes is directly related to the geology of the area where an animal acquires food. Radioactive rubidium (87Rb) decays into 87Sr over time and, consequently, the 87Sr/86Sr values in rock minerals vary depending on their original Rb/Sr content and geological age (Ericson, 1985; Beard and Johnson, 2000; Price et al., 2002). 87Sr/86Sr is subject to little isotopic fractionation as a result of biological processes and its isotopic signal is directly incorporated into tooth enamel during mineralisation, mainly through water and plants ingested by the individual (Ericson, 1985; Beard and Johnson, 2000; Price et al., 2002). The strontium isotope compositions of the bioapatite thus reflect the signatures of the geological area where the individual resided and fed during the process of dental enamel mineralisation (Beard and Johnson, 2000; Price et al., 2002; Madgwick et al., 2012). As a result, possible herd movement during the developmental period between two locations with a measurable strontium isotope difference can be traced (Montgomery, 2010).
In this study, for the first time, the seasonal altitudinal mobility of sheep herds in the Iberian Peninsula during protohistoric periods is investigated by examining the relationship between δ18O and δ13C values on sampled dental series of individuals analyzed. Additionally, we integrated 87Sr/86Sr measurements in the same dental series to explore the movements across different altitudinal and geological areas in more detail and test the effectiveness of combining these proxies. This approach has been successfully applied before (Balasse et al., 2002; Bentley and Knipper, 2005; Meiggs, 2009; Viner et al., 2010), especially in contexts where complex orogenic areas are absent. Moreover, relying on the results of 87Sr/86Sr analyses makes it possible to determine the cause of the increase in δ13C values in an individual during winter. This, in fact, may be produced either by a change in the pasture as a result of an altitudinal movement or by the integration of C4 plants into the diet. The presence of domesticated C4 plants such as millet (Panicum milliaceum) and foxtail millet (Setaria italica) is attested in almost all the settlements here studied (Canal, 2000, 2002; Riera et al., 2020; Colominas et al., in press). Consequently, their eventual use as livestock fodder during winter would overshadow the seasonal mobility signals displayed by the inverse relationship between the δ13C and δ18O sequences. Substantial variations in 87Sr/86Sr are explored at an intra-individual level in correspondence with the inverse relationship of the δ18O and δ13C sequences. These variations serve as evidence of a change in pasturage, indicating in-life mobility. Establishing allochthonous origins and evidence for mobility is the principal objective, rather than identifying origins. Determining origins is a complex task and would require substantial 87Sr/86Sr biosphere mapping work in this area, especially given its relative lithological complexity. However, two of the four selected sites for this study, Mas Castellar de Pontós and Sant Esteve d'Olius, are situated in geologically homogeneous zones (Solsonès and Empordà), which may facilitate the interpretation of strontium isotope data at these specific locations.
2. Material and methods
2.1. Archaeological sites and geological settings
The sheep molars selected for this study derive from four extensively studied sites with contemporary and well-dated occupations in the 3rd century BC. No major vegetation changes have been documented in the north-east of the Iberian Peninsula during this period (Burjachs et al., 2000). The four settlements are located in distinct ecological and cultural areas of present-day Catalonia, within Cenozoic sedimentary basins (Voerkelius et al., 2010; Institut Cartogràfic i Geològic de Catalunya, 2023). The latter are formed from the erosive products of earlier terrains. The four sites are open-air settlements situated along three of the main and oldest traditional pastoral routes that converge in the eastern Pyrenees (Figure 1). For this reason, they are particularly well suited to evidence herd movements from winter pastures in the lowlands to summer pastures in the highlands.
Figure 1

Location of the four archaeological sites included in this study along three of the main and oldest traditional pastoral routes in Catalonia: (1) Mas Castellar de Pontós, (2) Tossal de Baltarga, (3) Sant Esteve d'Olius, and (4) Turó de la Rovira (Google Earth Pro modified; scheme from Miralles and Tutusaus i Graus, 2006 modified).
Mas Castellar de Pontós is situated in the Empordà region (Girona, maximum altitude: 154 m a.s.l.; Figure 2), a vast and fertile plain in the northern pre-coastal area, in the territory of the Indigeti. It is located approximately 17 km equidistance from the Greek colonies of Rhode and Emporion. The site is founded on Miocene and Pliocene conglomerates, with sandstones and shales (Institut Cartogràfic i Geològic de Catalunya, 2023). Based on analogous lithologies from the UK, the geological formation of the area suggests that individuals grazing locally would likely exhibit strontium values close to 0.7092 (Evans et al., 2010). Mas Castellar de Pontós was occupied during a wide chronological frame, ranging from the late 7th century to the early 2nd century B.C. (Adroher and Pons, 2002; Pons et al., 2010). Between 250 and 180 B.C. it was occupied as a specialized agricultural settlement, with an associated extensive silo field (Pons et al., 2010). Under the governance of a rural aristocracy, Mas Castellar de Pontós played a crucial role as a commercial enclave for cereal production and served as a major reserve center for the entire Emporion area (Bouso et al., 2000; Fuertes et al., 2002). The sheep remains analyzed were recovered from one of the houses and from two silos.
Figure 2

Plans of the four archaeological sites: (1) Mas Castellar de Pontós (Garcia-Dalmau C., modified), (2) Tossal de Baltarga (Oller et al., 2021, modified), (3) Sant Esteve d'Olius (Morer de Llorens et al., 2016, modified) and (4) Turó de la Rovira (Giner Iranzo D., modified).
Tossal de Baltarga (Bellver de Cerdanya, 1166 m a.s.l.; Figure 2) is a high mountain Ceretan settlement in the eastern Catalan Pyrenees. The area is mainly dominated by Devonian limestones (Institut Cartogràfic i Geològic de Catalunya, 2023), which are expected to display a strontium signature ranging between 0.708 and 0.709 (Evans et al., 2010). The primary purpose of the settlement was to exercise territorial control over the communication routes that crossed this area. Chronologically, the site has revealed three different phases ranging from the Late Bronze Age to the Republican Roman period (Morera, 2017). During the Iberian phase (4th−3rd century BC), the settlement featured several residential and working buildings (Morera, 2017; Colominas et al., in press). The site, which had a certain social and economic relevance within the Ceretan population, was destroyed by fire toward the end of the 3rd century BC (Morera, 2017). Consequently, the individuals studied here are contemporary, victims of the same violent event. Preliminary results of micromorphological analyses carried out on soils from one of the buildings reveal the presence of an organic-rich deposit, primarily composed of herbivore dung. While these results do not provide information on herd mobility, the study is valuable for reconstructing both the spatial organization within the building and the dietary regimes of the animal stabled there (Colominas et al., in press).
Sant Esteve d'Olius (Solsonès, 664 m a.s.l.; Figure 2) is a village in the Pre-Pyrenees area, in the fertile Lacetan plain. It occupies the highest point of a small promontory, bordered by the river Cardener, the main communication link with the coast (Asensio et al., 2003b). Geologically, the site comprises Oligocene marls, limestones, and sandstones (Institut Cartogràfic i Geològic de Catalunya, 2023). The presence of marls, and thus carbonate, suggests strontium values around 0.709 (Evans et al., 2010). During the Iberian phase (3rd century BC), the settlement was fortified and specialized in the storage and management of cereal surpluses, with silo fields and residential buildings (Asensio et al., 2003b; Chorén and Calduch, 2006; López, 2009). The sheep molars analyzed in this study were collected from seven distinct silos.
The Laietan site of Turó de la Rovira (mid-3rd century BC - late 3rd/early 2nd century BC) is located near the central Mediterranean coast. It is a fortified settlement situated on top of the homonymous plain in Barcelona (Barcelonès, 262 m a.s.l.; Figure 2; Colominas i Roca, 1954; Giner, 2018). The settlement lies on a complex and patchy area characterized by Silurian-Danovan nodular limestones and sericitic slates, and Silurian ampelitic slates, phyllites and sericites (Institut Cartogràfic i Geològic de Catalunya, 2023). These older rock formations can display a range of strontium values between 0.711 and 0.713, suggesting the potential for higher local biosphere values compared to the other three sites (Evans et al., 2010). Bounded by a wall, the site features a moat on the south-eastern side, two silo fields concentrated on both sides of the village, and residential buildings on the southern slope (Giner, 2018). The settlement occupied a dominant position over the surrounding minor centers (Giner, 2018). Sheep remains come from silos with similar chronology and whose content of archaeocarpological remains is homogeneous (Riera et al., 2020).
2.2. Materials
A total of 31 lower molars (18 second molars and 13 third molars) belonging to 22 sheep (Ovis aries Linnaeus, 1758) were selected for sequential oxygen and carbon isotope analyses; among these, 12 teeth (seven second molars and five third molars) from seven individuals were chosen for strontium isotope analysis. Ten second molars and seven third molars were recovered from mandibles, while the remaining were isolated teeth. All molars show entirely or almost fully formed crowns and early wear stages. The results of sequential oxygen and carbon isotope analyses of three second molars (BTB 3249, BTB 3270, BTB 3271) and one third molar (BTB 3270) here included were previously used for a study about the Tossal de Baltarga site (Colominas et al., in press). Table 1 provides descriptive information (side, wear stage, estimated age of death, and type of analysis) about the teeth analyzed for this study.
Table 1
| M 2 | M 3 | ||||
|---|---|---|---|---|---|
| Teeth ID | Side | Wear stage | Age estimation | Wear stage | Age estimation |
| MC 11144 | L | F | 2–6 years | na | na |
| MC 12023 | L | E | 2–3 years | na | na |
| MC 20102 | L | E | 2–3 years | na | na |
| MC 20160* | R | E | 2–3 years | F | 3–4 years |
| MC 20165 | R | F | 3–4 years | F | 3–4 years |
| MC 11132 | R | na | na | G | 4–6 years |
| MC 11134 | L | na | na | G | 4–6 years |
| MC 11138 | L | na | na | G | 4–6 years |
| BTB 3249 | R | E | 2–3 years | na | na |
| BTB 3270* | R | F | 3–4 years | F | 3–4 years |
| BTB 3271 | L | D | 21–24 months | na | na |
| BTB 3031 | L | na | na | F | 3–4 years |
| O 174* | L | E | 2–3 years | na | na |
| O 205* | R | E | 2–3 years | E | 2–3 years |
| O 318 | R | G | 4–5 years | G | 4–5 years |
| O 348 | R | F | 4–6 years | na | na |
| O 478 | L | E | 2–3 years | E | 2–3 years |
| O 482 | R | F | 4–6 years | na | na |
| O 484* | R | F | 4–6 years | na | na |
| TR 725* | R | F | 3–4 years | F | 3–4 years |
| TR 763 | L | F | 3–4 years | F | 3–4 years |
| TR 831* | L | E | 2–3 years | E | 2–3 years |
Sampled specimens (ID) from the four archaeological sites included in this study: Mas Castellar de Pontós (MC), Tossal de Baltarga (BTB), Sant Esteve d'Olius (O), and Turó de la Rovira (TR); side (L, left; R, right), wear stages and estimated age of death according to Payne (1973); na, not analysed.
The asterisk mark (*) indicates the molars sampled for strontium isotope analysis.
2.3. Methods
2.3.1. Sequential oxygen and carbon isotope analyses
Following the cleaning of the selected teeth's surface by abrasion with a tungsten drill, enamel bands were sequentially sampled using a diamond bit. Sampling was performed on the distal lobe of M2 and the central lobe of M3, always on the buccal surface. All specimens were progressively taken at 1-2 mm intervals along the whole crown height, from the apex to the enamel root junction (ERJ); starting from the latter, the positions of the samples-bands were measured.
A total of 473 powdered enamel samples (weighing between 2.5 and 13.7 mg) were drilled and chemically treated at the Biomolecular Laboratory of the Institut Català de Paleoecologia Humana i Evolució Social (IPHES-CERCA), following the protocol described in Balasse et al. (2002) and modified by Tornero et al. (2013). In order to eliminate contamination from exogenous carbonates, samples were pre-treated for 4h in 0.1 M acetic acid [CH3COOH] (0.1 ml solution/mg of sample), rinsed five times in distilled water and dried in an oven at 70°C for 48 h.
Pre-treated samples weighting ~600 μg were measured using an automated carbonate preparation device (KIEL-III) interfaced to a Finnigan MAT 252 isotope ratio mass spectrometer (IRMS) at the Environmental Isotope Laboratory (Dept. of Geosciences), University of Arizona (USA), with scientific supervision from Dr. David Dettman. Powdered samples were reacted with dehydrated phosphoric acid under vacuum at 70°C. The accuracy and precision of measurements were checked and calibrated using NBS-19 and NBS-18 international standards. A mean analytical precision within each run and from replicate measurements of standards during analysis was ±0.10‰ for δ18O and ±0.08‰ for δ13C (1σ). Isotope composition is reported in δ notation and expressed per mil (‰), stating the deviation of the isotope ratio from the V-PDB (Vienna-Pee Dee Belemnite) standard for both carbon and oxygen values (McKinney et al., 1950; Gross, 2017).
2.3.2. Strontium isotope analysis
Twelve teeth from seven individuals were sampled for strontium isotope analyses (selected teeth are reported in Table 1). To assess the compatibility and effectiveness of the two combined methods, samples were collected from three individuals whose molars exhibit altitudinal mobility according to their δ18O and δ13C values, as well as from four sedentary individuals. Sampling for strontium isotope analysis was performed close to the point of maximum and minimum events record in the oxygen series. Enamel samples were treated at the British Geological Survey–BGS (UK), with technical support from Doris Wagner. After cleaning each tooth surface using a tungsten carbide dental bur, an enamel sample was cut using a flexible diamond edged rotary dental saw. Sampling was performed on the buccal side, on the anterior lobe of M2 and M3, except in two cases (TR M2 831, TR M2 725) on the distal lobe of M2, on the lingual surface and in one case (TR M3 725) on the central lobe of M3, on the lingual side. A minimum of one and a maximum of three samples per tooth were cut. All sample surfaces were mechanically cleaned with a diamond bur to remove adhering dentine. The resulting sample was transferred to a clean (class 100, laminar flow) working area for further preparation. The sample was first cleaned ultrasonically in high purity water to remove dust, rinsed twice, and then soaked for an hour at 60°C, rinsed twice, then dried and weighed into pre-cleaned Teflon beakers. The sample was mixed with 84Sr tracer solution and dissolved in Teflon distilled 8M HNO3 and converted to chloride form using 6M HCl. Strontium was collected using Eichrom AG50 X8 resin columns. Strontium was loaded onto a single Re Filament following the method of Birck (1986) and the isotope composition and strontium concentrations were determined by Thermal Ionization Mass spectroscopy (TIMS) using a Thermo Triton multi-collector mass spectrometer. The international standard for 87Sr/86Sr, NBS987, gave a value of 0.710258 ± 0.000020 (2SD, n = 8) during the analysis of these samples. This is within uncertainty of the accepted value of 0.710250 and hence the data are uncorrected relative to the standard. The procedural blanks were between 40–80 picograms (pg).
3. Results
3.1. Oxygen and carbon isotope values
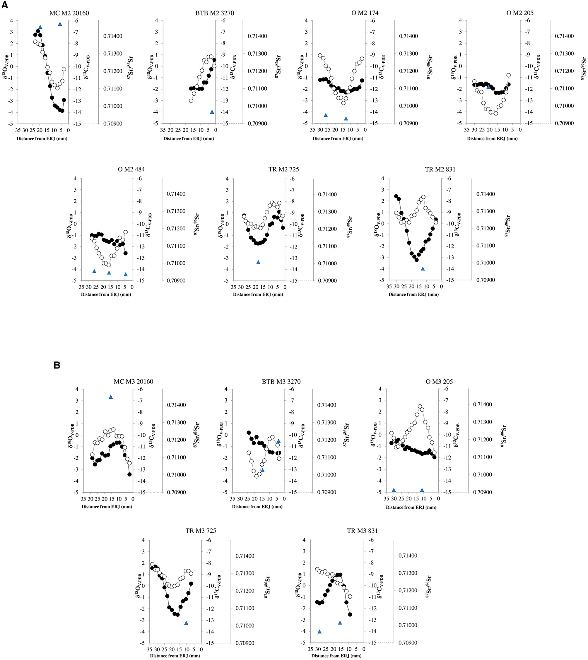
Results of the intra-tooth sequences of δ18O and δ13C values are summarized in Table 2 and fully presented in Figure 3 and Supplementary Table 1. The δ18O values from all samples range from 2.6‰ to −4.6‰, with a mean of 0.4 ± 1.6‰ (1SD); the δ13C values from all samples range from −6.9‰ to −13.9‰, with a mean of −11.3 ± 1.0‰. Mean δ18O value within each specimen varies from 1.6‰ to −2.9‰, maximum values range from 2.6‰ to −1‰, and minimum values range from 1.0‰ to −4.6‰; mean δ13C value within each specimen varies from −10.5‰ to −13.0‰, maximum values range from −6.9‰ to −12.3‰, and minimum values range from −11.3‰ to −13.9‰.
Table 2
| Teeth | n | δ18OV − PDB‰ | δ13CV − PDB‰ | ||||||
|---|---|---|---|---|---|---|---|---|---|
| Mean | Range | Max. | Min. | Mean | Range | Max. | Min. | ||
| MC M2 11144 | 16 | 0.2 | 2.8 | 1.8 | −1.0 | −11.8 | −5.5 | −8.2 | −13.7 |
| MC M2 12023 | 19 | −0.6 | 3.9 | 1.6 | −2.3 | −11.8 | −3.8 | −9.8 | −13.6 |
| MC M2 20102 | 14 | 1.6 | 1.1 | 2.1 | 1.0 | −10.8 | −5.0 | −7.5 | −12.4 |
| MC M2 20160 | 13 | 0.0 | 4.1 | 2.2 | −1.9 | −10.9 | −7.0 | −6.9 | −13.9 |
| MC M2 20165 | 14 | 1.0 | 3.2 | 2.6 | −0.6 | −11.9 | −1.8 | −11.0 | −12.7 |
| MC M3 11132 | 14 | 0.0 | 2.3 | 1.0 | −1.2 | −11.9 | −2.1 | −10.8 | −12.9 |
| MC M3 11134 | 13 | −0.1 | 2.8 | 1.2 | −1.5 | −11.1 | −3.2 | −9.2 | −12.3 |
| MC M3 11138 | 17 | 0.2 | 2.7 | 1.4 | −1.3 | −10.9 | −3.1 | −9.5 | −12.6 |
| MC M3 20160 | 15 | −0.6 | 2.9 | 0.5 | −2.4 | −11.7 | −2.8 | −10.6 | −13.4 |
| MC M3 20165 | 15 | −0.3 | 2.6 | 0.9 | −1.6 | −11.3 | −3.2 | −9.1 | −12.3 |
| BTB M2 3249 | 16 | −1.8 | 6.0 | 1.4 | −4.6 | −11.2 | −1.6 | −10.5 | −12.1 |
| BTB M2 3270 | 10 | −0.6 | 3.9 | 0.9 | −3.0 | −11.3 | −2.5 | −9.4 | −12.0 |
| BTB M2 3271 | 13 | −2.2 | 5.1 | 0.6 | −4.5 | −12.1 | −1.0 | −11.5 | −12.5 |
| BTB M3 3031 | 16 | −1.3 | 4.6 | 1.1 | −3.5 | −11.2 | −1.3 | −10.6 | −11.8 |
| BTB M3 3270 | 12 | −2.0 | 7.0 | 3.4 | −3.6 | −10.9 | −1.8 | −9.8 | −11.6 |
| O M2 174 | 18 | −1.1 | 4.2 | 1.0 | −3.2 | −11.8 | −1.2 | −11.1 | −12.3 |
| O M2 205 | 15 | −2.9 | 3.3 | −0.8 | −4.1 | −11.9 | −0.8 | −11.5 | −12.3 |
| O M2 318 | 13 | −1.0 | 3.4 | 0.3 | −3.0 | −10.9 | −0.8 | −10.5 | −11.3 |
| O M2 348 | 15 | −2.0 | 2.9 | −1.0 | −3.9 | −11.7 | −1.9 | −10.9 | −12.8 |
| O M2 478 | 16 | −0.8 | 3.9 | 0.9 | −3.0 | −10.7 | −2.1 | −9.7 | −11.8 |
| O M2 482 | 16 | −1.3 | 4.0 | 0.8 | −3.2 | −13.0 | −1.0 | −12.3 | −13.3 |
| O M2 484 | 14 | −2.3 | 2.9 | −0.7 | −3.6 | −11.5 | −1.7 | −10.9 | −12.6 |
| O M3 205 | 19 | 0.2 | 4.0 | 2.5 | −1.6 | −11.2 | −1.6 | −10.3 | −12.0 |
| O M3 318 | 20 | −0.6 | 4.3 | 1.9 | −2.4 | −10.8 | −1.2 | −10.2 | −11.4 |
| O M3 478 | 14 | 0.0 | 5.2 | 2.1 | −3.1 | −10.6 | −1.8 | −9.8 | −11.6 |
| TR M2 725 | 18 | 0.6 | 2.2 | 1.9 | −0.4 | −10.5 | −2.8 | −8.9 | −11.7 |
| TR M2 763 | 17 | 0.9 | 2.6 | 2.2 | −0.4 | −11.6 | −3.0 | −9.7 | −12.7 |
| TR M2 831 | 17 | 0.9 | 2.3 | 2.4 | 0.1 | −11.0 | −5.6 | −7.6 | −13.2 |
| TR M3 725 | 16 | 0.8 | 2.0 | 1.9 | −0.1 | −10.5 | −4.2 | −8.3 | −12.5 |
| TR M3 763 | 15 | 1.3 | 2.5 | 2.6 | 0.1 | −11.7 | −3.0 | −10.3 | −13.2 |
| TR M3 831 | 13 | 0.6 | 2.4 | 1.4 | −1.0 | −10.5 | −3.5 | −9.1 | −12.5 |
Summarized δ18OV − PDB and δ13CV − PDB values measured on bioapatite samples from the lower second (M2) and third (M3) archaeological sheep molars: mean, range, maximum (max), and minimum (min) isotopic values.
Figure 3

Distribution of δ18OV − PDB(A) and δ13CV − PDB(B) values measured on enamel bioapatite of sheep lower second (M2; in blue) and third (M3; in yellow) molars from the four archaeological sites included in this study; the red rectangles group pairs of M2 and M3.
3.2. Oxygen and carbon isotope sequential series
All δ18O and δ13C sequential series are presented in Supplementary Figure 1.
At Mas Castellar de Pontós, both the δ18O and δ13C sequences exhibit great intra-tooth variation, with a sinusoidal pattern and clear maximum and minimum events, reflecting the seasonal cycle. The oxygen sequence of individual MC 20102′s second molar represents the only exception, showing a narrow amplitude. The carbon sequence, on the other hand, appears in line with the others. All individuals show parallel δ18O and δ13C sequences, with a positive correlation.
In general, all δ18O sequences from Tossal de Baltarga, which exhibit the lowest values among those recorded in this study (Figure 3), show a sinusoidal pattern with clear maximum and minimum events and high intra-tooth variation along the crown. On the other hand, δ13C sequences show low intra-tooth variation. The only exception is individual BTB 3270, whose oxygen sequence is incomplete due to wear and cannot reflect a full seasonal sequence. Instead, the carbon isotope sequence shows an increase in amplitude toward the end of the second molar and a progressive decrease on the third molar. The same individual displays parallel oxygen and carbon isotope sequences in the second molar and an inverse relationship between the two in the third molar. All the other individuals from Baltarga show a parallel relationship between the two isotopic sequences. However, the last part of the crown of the second molar of individual BTB 3271 may suggest the same dynamic as that displayed by individual BTB 3270. Nevertheless, the absence of M3 values makes it impossible to verify the presence of the same pattern as in individual BTB 3270.
At Sant Esteve d'Olius, the oxygen sequences show great variation along teeth crowns, following a sinusoidal pattern; the carbon sequences, instead, exhibit a narrower amplitude of variation. All individuals show parallel δ18O and δ13C sequences, with the exception of individual O 205, which displays a parallel sequence along the second molar and an inverse one along the third molar.
The three individuals from Turó de la Rovira show inter-tooth variation in the δ18O and δ13C sequences. These follow a sinusoidal pattern, with clear maximum and minimum peak events, which are absent in the third molar of individual TR 831 due to the young age and, consequently, the incomplete mineralisation of the crown. The oxygen values of these individuals are the highest among those recorded in all the teeth of the studied sites, as well as those with a lower amplitude (Figure 3). Two individuals, TR 725 and TR 763, show a positive correlation between the oxygen and carbon sequences in both M2 and M3. A different pattern is recorded in the M2 and M3 of individual TR 831, which shows an inverse relationship between the two sequences.
3.3. Strontium isotopic ratios
The 87Sr/86Sr isotopic ratios and Sr concentrations (ppm) from the twelve teeth are shown in Table 3 and Figure 4. Overall, strontium concentrations in sheep tooth enamel ranged between 59 and 365 ppm, with strontium isotope ratios ranging from 0.70914 to 0.71471.
Table 3
| Sample ID | Tooth surface | Tooth lobe | 87Sr/86Sr | ppm |
|---|---|---|---|---|
| MC M2 20160.1 | Buccal | Anterior | 0.71454 | 365 |
| MC M2 20160.2 | Buccal | Anterior | 0.71471 | 329 |
| MC M3 20160 | Buccal | Anterior | 0.71447 | 300 |
| BTB M2 3270.1 | Buccal | Anterior | 0.70967 | 116 |
| BTB M3 3270.1 | Buccal | Anterior | 0.71026 | 103 |
| BTB M3 3270.2 | Buccal | Anterior | 0.71194 | 59 |
| O M2 174.1 | Buccal | Anterior | 0.70947 | 285 |
| O M2 174.2 | Buccal | Anterior | 0.70928 | 269 |
| O M2 205 | Buccal | Anterior | 0.71019 | 161 |
| O M3 205.1 | Buccal | Anterior | 0.70914 | 276 |
| O M3 205.2 | Buccal | Anterior | 0.70914 | 199 |
| O M2 484.1 | Buccal | Anterior | 0.70955 | 279 |
| O M2 484.2 | Buccal | Anterior | 0.70947 | 240 |
| O M2 484.3 | Buccal | Anterior | 0.70937 | 240 |
| TR M2 725 | Lingual | Distal | 0.71008 | 128 |
| TR M3 725 | Lingual | Middle | 0.71016 | 107 |
| TR M2 831 | Lingual | Distal | 0.70967 | 115 |
| TR M3 831.1 | Buccal | Anterior | 0.70965 | 124 |
| TR M3 831.2 | Buccal | Anterior | 0.71016 | 123 |
87Sr/86Sr ratios and strontium concentration (ppm) from the lower second (M2) and third (M3) archaeological sheep molars; the surface and lobe of the tooth where the sampling was carried out are indicated.
Figure 4

δ18OV − PDB (white dots) and δ13CV − PDB (black dots) sequences and 87Sr/86Sr values (blue triangles) measured on the dental enamel of the second [M2; (A)] and third [M3; (B)] lower molars of selected individuals.
At Mas Castellar de Pontós, the two samples taken from the M2 of individual 20160 and the sample from the corresponding M3 have a strontium concentration between 300 and 365 ppm and a narrow 87Sr/86Sr range (between 0.71447 and 0.71471).
The three samples collected from individual 3270 of Tossal de Baltarga (one sample from the M2 and two from the M3) exhibit a strontium concentration between 59 and 116 ppm and a wide variation in the 87Sr/86Sr ratios between 0.70967 and 0.71194.
At Sant Esteve d'Olius, eight samples were taken from three individuals (O 174, O 205, O 484) and their strontium concentration ranged between 161 and 285 ppm. Seven out of the eight samples cluster closely (between 0.70914 and 0.70955). The sample taken from the M2 of individual O 205 differs, with an 87Sr/86Sr ratio of 0.71019. This indicates a significant variation in the 87Sr/86Sr ratios between M2 and M3 of this individual.
The five samples collected from two individuals from Turó de la Rovira (TR 725 and TR 831) exhibit strontium concentration between 107 and 128 ppm, with 87Sr/86Sr ratios ranging from 0.70965 to 0.71016. Individual TR 725 displays a very narrow range of values between 0.71008 and 0.71016, whilst individual TR 831 shows variation in the 87Sr/86Sr ratios, ranging from 0.70965 to 0.71016.
4. Discussion
4.1. Altitudinal mobility during the 3rd c. BC in the north-eastern Iberian Peninsula
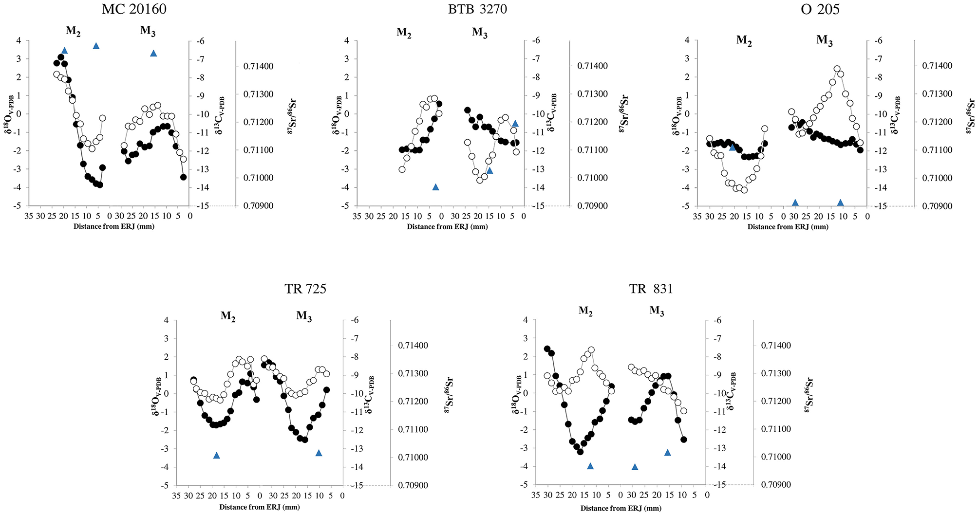
Mas Castellar de Pontós is the only one of the four sites analyzed that does not feature individuals practising altitudinal mobility. Previous studies have provided a picture of a complex herding system within the rural establishment. A bi-modulated reproduction pattern, with births occurring from late winter to late spring and in autumn (Messana et al., 2023), as well as a prevalence of adult and old individuals (Colominas, 2008, 2013), suggest intensive exploitation of secondary products (i.e., milk and wool) throughout the year. The mild and humid climate (Pons et al., 2010; González-Sampériz et al., 2017) and the availability of crop residues resulting from the presence of both winter and spring cultivations provided the inhabitants of Mas Castellar de Pontós with all the conditions necessary to breed and sustain the flocks all year round. Indeed, the δ13C values of the individuals from the rural settlement are the highest among all the samples analyzed in this study. This suggests the consumption of C3 plants supplemented with C4 plants, likely the spring cereals cultivated in the settlement. However, further investigations are required to thoroughly explore this possibility. Ongoing isotopic analysis, including not only faunal remains but also plants, human remains, and soils from the site, will provide a more comprehensive picture of the dietary practices within the settlement. At Mas Castellar de Pontós, therefore, there was no environmental or economic necessity for seasonal altitudinal mobility, as the management and exploitation of the herd were suited to a sedentary herding system. The three 87Sr/86Sr values displayed by individual 20160 (0.71447, 0.71454, 0.71471) are not significantly different from one another, consistent with the individual remaining in the same area throughout its tooth-crown formation (Figure 5). Therefore, both isotopic proxies indicate a sedentary mobility pattern. On the other hand, the high strontium values observed are not consistent with the local geology based on the information derived from the geological map of the Alt Empordà. However, it must be kept in mind that the absence of a bioavailable strontium baseline for this area limits the interpretation of these data. In the same way, this limitation also affects any prediction about the biosphere strontium signal around the settlement. Future studies focused on providing a first baseline of bioavailable strontium in the area are therefore necessary in order to continue and deepen the interpretation of the data.
Figure 5

Sequential δ18OV − PDB (white dots) and δ13CV − PDB (black dots) values and 87Sr/86Sr values (blue triangles) from the second (M2) and third (M3) lower molars of the selected individuals.
At Tossal de Baltarga, individuals BTB 3249 and BTB 3271 show a very narrow amplitude during all the carbon sequences, suggesting limited to no changes in consumed plant resources during their first year of life. The same dynamic is recorded in individual BTB 3031 during its second year of life. Therefore, it is likely that these individuals fed in the same place, the Cerdanya mountain valley, exploiting local resources. The positive correlation of their δ18O and δ13C sequences confirms the sedentary pattern. Individual BTB 3270 displays, however, a different scenario. In fact, in its second year of life, there is a simultaneous increase in carbon isotope values and a decrease in oxygen isotope values, resulting in an inverse relationship between the two sequences. The increase in carbon isotope values reflects the consumption of carbon-enriched plants in a drier environment, suggesting a change in diet due to altitudinal mobility. The data indicate that individual BTB 3270, during its second year of life, joined the practice of vertical mobility after summer by descending to lowland locations. After its second winter, there is a new change of altitude and a return to the original location, within an annual vertical movement. The low oxygen isotope values observed in sheep specimens from Tossal de Baltarga, located on the western Spanish Pyrenees, are consistent with a high-altitude environment, as reported by Knockaert et al. (2018) for the Western French Pyrenees. The wear stage of individual BTB 3270′s M2 does not allow for the visualization of its first summer oxygen values, and the young ages of individuals BTB 3249 and BTB 3271 (21–24 months and 2–3 years, respectively) precludes reconstructing their second summer. Nevertheless, it cannot be excluded that individuals BTB 3249 and BTB 3271 followed a similar mobility pattern as individual BTB 3270, as suggested by the similarity of the δ18O and δ13C sequences of their second molars. The limited time frame of births at the site, from late winter to mid-spring (Messana et al., 2023), supports the idea that the three individuals may have experienced similar environmental conditions and mobility patterns. However, the absence of the respective third molars and the incomplete mineralisation of the final part of the crowns limit the confidence of this hypothesis. The M3 of the individual BTB 3031 shows higher oxygen and lower carbon isotope values compared to the M3 of the individual BTB 3270. Moreover, the two sequences are parallel and therefore do not show signs of altitude mobility. Three samples were collected from the individual BTB 3270 for strontium isotope analysis (one from the M2 and two from the M3). The three 87Sr/86Sr values (0.70967, 0.71026, 0.71194) vary substantially from each other, indicating a probable change of pasture during the first 2 years of life (Figure 5). Once again, the strontium isotope analysis results support what was inferred from the relationship between the δ18O and δ13C sequences, in this case an inverse one. The predicted 87Sr/86Sr values for the surrounding area of Tossal de Baltarga range between 0.708 and 0.709, in line with the value recorded by individual BTB 3270 during its first summer spent in the settlement area. The other two values diverge from the expected local range. The second value shows the isotopic signal recorded during the individual's second winter spent in the lowlands. Whereas the third value, covering the third summer, probably reflects the signal recorded during the return journey to Cerdanya.
Almost all the individuals from Sant Esteve d'Olius exhibit a sedentary behaviour. Individual O 205 is the only exception, since it moved from a different location to Olius during its third winter. The δ18O values observed in the M2 during the second winter are significantly lower than those recorded in the M3 over the following two winters. Furthermore, the δ18O and δ13C sequences switch from being parallel in the M2 to being inverse in the M3. Therefore, Individual O 205 made a unidirectional movement toward Olius, where it remained for the rest of its life, and not a seasonal one. Moreover, the low δ18O values suggest that the individual came from higher altitudes. Supporting this hypothesis, such low oxygen isotope values are not reported among the other individuals from the site. Individual O 348 may follow the same pattern as individual O 205, as evidenced by the fact that the M2 exhibits lower δ18O values than the other individuals. However, the absence of the M3 makes it impossible to track the eventual change in altitude. Three individuals were sampled for strontium analyses: O 174, O 205, and O 484. The 87Sr/86Sr values from the M2s of individuals O 174 (0.70947, 0.70928) and O 484 (0.70955, 0.70947, 0.70937), and those from the M3 of individual O 205 (0.70914, 0.70914) are very similar to each other and consistent with those expected for this area, supporting their sedentary behaviour. In contrast, the 87Sr/86Sr value from the M2 of individual O 205 is significantly different (0.71019; Figure 5). This variation would confirm the δ18O and δ13C results and thus indicate a unidirectional movement of individual O 205 toward Olius in its third year of age. Further confirmation is provided by the highly homogeneous lithology of the Solsonès region, as reflected by the extremely similar strontium isotope values observed in the analyzed individuals. The only value that diverges is precisely the one recorded in the M2 of individual O 205, indicating its exogenous origin.
Out of the three individuals from Turó de la Rovira, only one, TR 831, shows a mobility pattern. After its first winter, an increase in oxygen values coincides with a decrease in carbon isotope values, indicating a movement toward a wetter environment and resulting in a change in diet. After the second summer, a new change in pasture occurs, reflected by a decrease in oxygen isotope values and a simultaneous increase in carbon isotope values. Individual TR 831, therefore, spent its second summer in a wetter area, before returning to Turó de la Rovira and staying there during its second winter. However, the recorded oxygen values are not compatible with high-altitude environments (Knockaert et al., 2018). It is therefore likely that the one practised at Turó de la Rovira was a type of short-range seasonal mobility, with a not very high altitudinal gradient. Individuals TR 725 and TR 831 were sampled for strontium analyses. The 87Sr/86Sr value from the M2 and the M3 of individual TR 725 (0.71008 and 0.71016), sampling at the oxygen winter and summer peaks respectively, are extremely similar to each other and consistent with the expected values surrounding the settlement, supporting the sedentary behavior of the individual (Figure 5). The 87Sr/86Sr value from the M3 of individual TR 831 (0.71016), sampling at the oxygen peak of the second winter, is in line with the values of the previous individual, providing further evidence for a return to Turó de la Rovira during the second winter. In contrast, the two 87Sr/86Sr values obtained from the samples taken at the oxygen peak of the second summer in M2 and M3 show different results compared to the previous values (0.70967, 0.70965; Figure 5), and lower than the expected range. Therefore, strontium isotope analysis results support the seasonal vertical mobility performed by individual TR 831.
4.2. Iberian livestock mobility strategies
The data evidence the use of different livestock mobility strategies by Iberian communities: seasonal altitudinal mobility between two different ecosystems, unidirectional mobility, and short-range seasonal mobility along a low altitudinal gradient. Adopting a model of seasonal altitudinal mobility of herds must be sustainable and motivated by specific environmental and/or economic reasons. Indeed, this type of pastoralism implies a specialization of livestock breeding and comprehensive knowledge of both the surrounding environment and the availability of natural resources. It also required the free movement of flocks ensured by prior communication with the relevant populations, the ability to manage any disruptions that may occur during flock displacements, such as diseases and injuries, and the possibility of commercial opportunities (Brun, 1996; Euba, 2008; Oteros-Rozas et al., 2012). In settlements such as Mas Castellar de Pontós, where the herding system shows complex organization, the availability of fodder could be ensured throughout the year, and neither the environment nor commercial and exchange interests may induce mobility, sheep husbandry remains sedentary.
The sheepherders of Tossal de Baltarga were faced with different necessities and had to devise more ingenious responses. Their livestock strategies had to adapt to the harsh Pyrenean winter, with reduced vegetation covered by snow during cold season of the year. A first response to the environmental restrictions was the anthropogenic manipulation of the lambing period, with a reduced duration (2.5 months) and natural births in late winter/mid-spring (Messana et al., 2023). In this way, the care labor for pregnant ewes and newborns was minimized, and the latter did not have to face the classic cold winter temperatures in high mountain locations. An additional strategy adopted by shepherds was to integrate part of the herd in the practice of seasonal vertical mobility to lowland pastures, where they would spend overwinter. Between the end of the Bronze Age and the Early Iron Age, there was a decrease in vegetation cover in the high mountain areas of the Pyrenees. This seems to be linked to an increase in husbandry and agriculture in these areas (Euba, 2008; Morera, 2017; Olesti and Mercadal, 2017). It was suggested that the vertical seasonal movements undertaken by flocks took place between the Cerdanya plain, frequented during winter, and the high mountain areas, exploited in the summer (Euba, 2008; Knockaert, 2017; Morera, 2017; Olesti and Mercadal, 2017). In the study carried out by Knockaert et al. (2018), δ18O and δ13C sequences from two Middle and Late Bronze Age sites were analyzed: Llo, located in the Cerdanya high mountain area (1630 m a.s.l.), and Portal-Vielh, situated on the eastern coast of present-day France (0 m a.s.l.). The data obtained from the isotope analyses revealed a sedentary pattern for the coastal herd and a variety of patterns in the sequences of the high-mountain individuals, including two sequences with an inverse relationship. This great diversity of profiles is interpreted by the authors as the adoption of different husbandry strategies to cope with a mountainous environment characterized by significant inter-annual climatic variations. Seasonal altitudinal mobility could be one of these strategies, although none of the individuals analyzed in the study exhibit profiles similar to those measured in modern references from lowlands areas, which were used by the authors as baselines. Seasonal movements of the herd toward lower altitudes would, therefore, be excluded, suggesting the exploitation of medium and high mountain areas and a full adaptation to the mountain environment during this period. From the 5th century BC, the Ceretans centralized their settlements in the middle and lower Cerdanya and focused on agricultural production (Olesti and Mercadal, 2017). Furthermore, a new territorial pattern is witnessed in Cerdanya, with oppidum-type settlements (Morera, 2017; Olesti and Mercadal, 2017). In this context, the one reported at Tossal de Baltarga is the first evidence of vertical descendant mobility from the Ceretan region to the lowlands. As previously reported, individual BTB 3270 displays clear signs of mobility, and individuals BTB 3249 and BTB 3271 seem to follow the same pattern. All three individuals came from the same building (G). On the other hand, individual BTB 3031, coming from a different building, shows sedentary behaviour. Bearing in mind the small number of individuals recovered from the Iberian phase of the settlement, the available data suggest great flexibility in husbandry practices at Tossal de Baltarga, where only part of the flock spends the summer at lower altitudes. Is this selective mobility the result of the independent movement of individual family groups to the lowlands, or is it a planned strategy by the entire Tossal de Baltarga community? The presence of several buildings with specialized production areas in the settlement, along with the discovery of luxury objects and a horse, suggest the existence of an elite class (Morera, 2017; Olesti et al., 2018; Tàrraga, 2020), that could be the responsible for the herd. The seasonal altitudinal movement carried out by individuals from building G could be part of a complementary, diversified strategy, in which part of the flock remained in the Ceretan territory while part moved to the valley. The displacement of just a part of the flock could have resulted from a reduction in pasture availability during the winter, or from the decision to maintain part of the flock at Tossal de Baltarga for domestic consumption. Furthermore, it cannot be ruled out that this altitudinal movement was not exclusively related to a seasonal complementarity between pastures, but could also have been part of a commercial exchange relationship with lowland populations. Finally, it cannot be excluded that multiple small flocks from different settlements in the Ceretan area were combined into a single large flock that moved toward the lowlands. This scenario would suggest a collaborative approach among the Ceretan communities, where they coordinated their herding activities to optimize resources and maximize efficiency.
The presence of one individual at Sant Esteve d'Olius with external provenance to Solsonès, along with the potential occurrence of a second one, points to unidirectional type of mobility, distinct from the seasonal pattern observed in the previous case. Sheep from high-altitude areas, most likely the Pyrenees, might have arrived at the site for commercial purposes involving product exchange. This could have allowed Lacetan shepherds to diversify and/or renew their livestock by engaging in exchanges with populations from higher mountain regions. Solsonès is renowned for its production and trade of rock salt, which is necessary not only for preserving meat or cheese production but also for feeding livestock (Olesti and Mercadal, 2017). Sheep, in fact, need salt as an essential nutrient, and rock salt, with its higher sodium chloride content and purity compared to sea salt, is often preferred (Titler and Curry, 2011; Luna Loayza, 2013; Manrique, 2017; Marcos Pinto, 2019). Furthermore, it is also easily transported as blocks (Weller, 2004; Olesti and Mercadal, 2017). The earliest evidence of rock salt exploitation in the Muntanya de Sal of Cardona, just over 20 km from Sant Esteve d'Olius, dates back to the Middle Neolithic (Weller, 2002; Weller and Fíguls, 2007; Fíguls et al., 2013). During Roman times, salt was established as a state monopoly and subjected to specific taxation (Olesti and Mercadal, 2017; Olesti, 2022). Furthermore, the existence of a control point in the Cardona production area dating back to the 2nd–1st centuries BC is known (Olesti and Mercadal, 2017). The rock salt extracted from Cardona was transported to Gaul and Italy via a route that traversed Solsonès, Alt Urgell, and Cerdanya before reaching the present-day French territory (Obiols et al., 2009). Livestock directed toward the summer pastures of the Pyrenees would have followed the same path (Obiols et al., 2009; Olesti, 2022). During medieval times, it was the so-called strata Kardonensis, a key route for the supply of rock salt, that connected Solsonès to the Eastern Pyrenees (Olesti and Mercadal, 2017; Olesti, 2020). In modern documents, this route appears under the name camí Cardoner or camí saliner de Cardona and was used until the first half of the 20th century (Obiols et al., 2009; Guardia and Obiols, 2014). Therefore, the Solsonès-Cerdanya axis is well-documented over the centuries. At Sant Esteve d'Olius, the presence of at least two individuals from high-altitude areas is attested, while at Tossal de Baltarga at least one individual moves seasonally toward the lowlands. In these cases, the exact location of the origin or destination cannot be determined. Nevertheless, the hypothesis that the movements recorded in the two settlements through this study are interconnected as part of a commercial relationship between the mountainous Ceretan region and the rich pre-Pyrenean Iberian zone should not be dismissed. The high-mountain resources (wood, summer pastures, livestock) were likely of interest to the pre-Pyrenean centers, just as those of the Solsonès (salt, pastures for wintering, Mediterranean imports) would have been appealing to the Ceretans (Olesti and Mercadal, 2017).
At Turó de la Rovira, a few kilometers from the Mediterranean coast, seasonal mobility occurs along a low altitudinal gradient. The Mediterranean basin is characterized by a tendency to dryness during summer, resulting in limited fodder resources (Jalut et al., 2009; Reiser and Kutiel, 2010; Turco et al., 2017). The evidence for seasonal vertical mobility at Turó de la Rovira is therefore not surprising. However, only one of the three individuals analyzed moves and spends its second summer in wetter pastures. This individual is also the only one to be born in summer, unlike the other two individuals who were born in spring (Messana et al., 2023). This suggests that despite the potential challenges of limited water and food resources during the summer, the sedentary portion of the herd was able to survive in the settlement. A previous study on the reproductive strategies adopted at Turó de la Rovira showed the presence of a single group of births, but with a longer lambing period than the natural one and the product of anthropogenic scheduling (Messana et al., 2023). In fact, births occur throughout a period of 3.5 months, from winter to early summer. Various hypotheses have been suggested to interpret this birth management. It could be the result of planning within the agro-pastoral calendar or a process of arranging for a ‘de-seasoning' of the herd in the autumn or the result of a ‘catch-up mating' set up to compensate for the low spring fertility. Therefore, the data on livestock mobility strategies presented in this study reinforce the idea of a differentiated flock management strategy, while pointing toward a division of the herd into two distinct groups. Thus, part of the flock remained in Turó de la Rovira, while other individuals, starting from the second year of life, joined the practice of seasonal altitudinal mobility. The decision not to move the entire herd may have been aimed at reducing the farmers' workload during the intense summer months of agricultural activity (Cleary, 1986). Supporting this hypothesis, carpological data reveals a predominant cultivation of wheat and barley, along with the presence of millet and, in minor quantities, legumes, grapes, and figs (Riera et al., 2020). Furthermore, the migration of only a portion of the flock could depend on the limited availability of pasture during the dry summer season or, as suggested in the case of Tossal de Baltarga, on the intention of maintaining part of the herd in the settlement for domestic consumption. Finally, short-range livestock mobility generally involves small flocks (Brun, 1996). The nearby coastal massif of the Garraf (Baix Llobregat, Barcelona) can be hypothesized as the destination for the seasonal movements from Turò de la Rovira. The presence of several pastoral enclosures dated to the Iberian period (6th-1st century BC) provides evidence of the passage and housing of livestock in this area (Cebrià et al., 2003; Ejarque and Orengo, 2009). Moreover, anthrocological data from the Late Bronze to Early Iron Age indicate a reduction of the vegetation on the massif as a result of anthropogenic pressure (Ros Mora, 1992; Riera et al., 2007). The already mentioned study by Valenzuela-Lamas et al. (2018) provides a first baseline of bioavailable strontium for the area around the Iberian site of Turó de la Font de la Canya (Avinyonet del Penedés, Barcelona), located on a small coastal promontory between the Penedés plain and the Garraf Massif. The 87Sr/86Sr values recorded by individual TR 831 during the second summer spent away from Turó de la Rovira are lower than the expected local ones and could be compatible with a movement toward the Vallès-Penedès depression and the Garraf massif.
5. Conclusion
Based on the results of this study, new insights into the mobile herding systems adopted by Middle/Late Iron Age communities in the north-eastern Iberian Peninsula are proposed. The integration of strontium, carbon, and oxygen isotope analyses on sheep from four distinct sites has demonstrated the complexity of animal husbandry practices and the adaptability in mobile livestock strategies employed by Iberian populations. During the Iron Age, Iberian herders possessed extensive knowledge and expertise in sheep breeding, management, and exploitation and could overcome challenges posed by harsh mountain winters and arid lowland summers. The adoption or not of a mobile strategy was therefore strictly linked to the specific necessities of each settlement, and probably dictated by herd management and economic reasons. As a result, the four sites examined in this study provided four different husbandry models: Mas Castellar de Pontós displays a sedentary herding system; at Tossal de Baltarga, the only high-altitude settlement, part of the herd practised seasonal altitudinal mobility between two complementary ecosystems; a unidirectional type of mobility is detected at Sant Esteve d'Olius, with the aggregation of sheep with external provenance into the flock; lastly, at Turó de la Rovira, a portion of the herd practised seasonal mobility along a low altitudinal gradient.
Tossal de Baltarga presents the first evidence of seasonal altitudinal movements between the lowlands and the Pyrenees, prior to the Roman conquest. Moreover, the presence of at least one individual from high altitude areas, most likely the Pyrenees, at Sant Esteve d'Olius, suggests similar behaviour. These data, therefore, pave the way for the image of a more integrated and connected Ibero-Pyrenean world with its contemporary lowland (and highland) communities. Furthermore, mobile pastoralism not only requires but also creates social interactions and connections between various regions and communities. The Iberian societies of the 3rd c. BC must therefore have established a robust network of social and economic relations on which a mobile farming system relied. The latter could count on the state entities that emerged and consolidated during the Iron Age, which provide the necessary economic and socio-political framework. What is clear, however, is that this animal mobility was not general and that was likely practised only when necessary and/or economically profitable. In this regard, we want to highlight the results obtained in Messana et al. (2023), which also show diversified sheep reproductive patterns and distinct demographic management in the four settlements under study here. Although a major number of sites are required for analysis in the following studies, our data suggest that livestock mobility strategies in each settlement were determined by their own environmental conditions, economic needs, and political decisions. Extending the research to the Roman period is required in order to properly investigate if animal mobility patterns increase during this period as other archaeological evidences seem to show. Additionally, we consider it imperative to enlarge the investigation to other Iron Age Catalan settlements. This broader approach would allow for a multi-site analysis and verify the potential to formulate a more complete model of livestock strategies.
In addition to providing a more comprehensive understanding of livestock management by north-eastern Iberian communities, this study provides significant methodological insights. Indeed, it proves the effectiveness of integrating data obtained from sequential analysis of carbon and oxygen values with strontium isotope ratios. In fact, a correspondence and complementarity exist between the results obtained through the inverse relationship between δ18O and δ13C and those derived from 87Sr/86Sr ratios. Thus in individuals in which the parallel sequences of δ18O and δ13C indicate a sedentary behaviour, the values of 87Sr/86Sr exhibit no significant differences. On the other hand, in individuals displaying an inverse relationship between the two sequences, the 87Sr/86Sr values vary significantly between them, confirming a movement between different geological areas. Nevertheless, it must be kept in mind that if altitudinal movement occurs between areas with the same lithological composition, it will not be detected by strontium analysis alone. To effectively trace movement along different altitudinal and geological zones and explore the locations of origin and destination in deeper detail, a multi-isotope analysis approach is essential. In conclusion, the results presented in this article add new and fundamental information on livestock management and, in particular, mobile herding strategies adopted by Iberian communities during the Middle/Late Iron Age. Furthermore, they highlight the huge potential provided by multi-isotope analyses when it comes to trace evidence of livestock movements along different altitudinal and geological areas.
Statements
Data availability statement
The original contributions presented in the study are included in the article/Supplementary material, further inquiries can be directed to the corresponding authors.
Ethics statement
Ethical approval was not required for the study involving animals in accordance with the local legislation and institutional requirements because the manuscript contains studies of archaeological faunal remains. In the Acknowledgments, it is stated that the directors of the four sites granted permission for the analysis and study of the materials. In Material and methods there is a clear description of the sampling procedures carried out on the remains.
Author contributions
CM wrote the main manuscript, prepared figures, processed the data, and selected and prepared the samples for oxygen and carbon isotope analysis and prepared the samples for strontium isotope analysis. CT, RM, AL, JE, and LC reviewed the manuscript. CM, CT, LC, and RM have acquired the funding. CM and CT selected the samples for strontium isotope analysis. RM supported the samples preparation for strontium isotope analysis. JE undertook all 87Sr/86Sr isotope mass spectrometry. All authors contributed to the article and approved the submitted version.
Funding
This research was part of a PhD project with the financial support of Secretaria d'Universitats i Recerca de la Generalitat de Catalunya and European Social Fund (ESF) Investing in your future (2022 FI_B2 00070). CT was supported by the Spanish Ministry of Science and Innovation through the Ramon y Cajal program (RYC2020- 029404-I). LC was supported by a Ramón y Cajal contract (RYC2019-026732-I-AEI/10.13039/501100011033). Furthermore, this work was part of the research group SGR-1040 recognized and funded by the AGAUR. The Institut Català de Paleoecologia Humana i Evolució Social (IPHES-CERCA) has received financial support from the Spanish Ministry of Science and Innovation through the María de Maeztu program for Units of Excellence (CEX2019-000945-M). Oxygen and carbon analyses for this study received financial support from the following research projects: El nucli arqueològic de Mas Castellar (Pontós). L'entorn emporità i el rerapaís en època protohistòrica. Quadriennals de recerca en matèria d'arqueologia i paleontología; Prehistòria y transhumància a l'Alt Ripollès. Fundación Palarq, convocatòria Palarq Analíticas 2019/2020; Eco-Social behavior of the Sierra de Atapuerca Hominins during Quaternary, V (PGC2018-093925-B-C32), Ministerio de Ciencia, Innovación y Universidades (Spanish Government); Middle Iron Age livestock practices in the north-east of Iberian Peninsula: a biogeochemical approach. Fundación Palarq, convocatòria Palarq Analíticas 2022/2023. Strontium analyses received financial support from the project When did transhumance start in Iberia? Reconciling δ18O, δ13C and87Sr/86Sr isotope approaches to study sheep mobility awarded by the National Environmental Isotope Facility (NEIF) to RM.
Acknowledgments
For the concession of the material, we thank David Asensio, Daniel Giner, Oriol Olesti, Joan Oller, and Enriqueta Pons. Finally, we thank Maria Dolors Guillén Espínola (IPHES-CERCA, supported by the Spanish Ministry of Science and Innovation through the María de Maeztu excellence accreditation CEX2019-000945-M) for the technical support in the photographic documentation of the material analyzed.
Conflict of interest
The authors declare that the research was conducted in the absence of any commercial or financial relationships that could be construed as a potential conflict of interest. The author(s) RM and LC declared that they were an editorial board member of Frontiers, at the time of submission. This had no impact on the peer review process and the final decision.
Publisher’s note
All claims expressed in this article are solely those of the authors and do not necessarily represent those of their affiliated organizations, or those of the publisher, the editors and the reviewers. Any product that may be evaluated in this article, or claim that may be made by its manufacturer, is not guaranteed or endorsed by the publisher.
Supplementary material
The Supplementary Material for this article can be found online at: https://www.frontiersin.org/articles/10.3389/fearc.2023.1245725/full#supplementary-material
References
1
Adroher A. Pons E. (2002). “Els treballs arqueològics”, in Mas Castellar de Pontós (Alt Empordà). Un complex arqueològic d'època ibèrica (Excavacions 1990-1998), ed. E. Pons (Girona, Sèrie Monogràfica 21. Museu d'Arqueologia de Catalunya),17–33.
2
Albizuri S. Nadal J. (1999). Aprovechamiento y producción animal en época ibérica. Consideraciones generales económicas. Limes. Revista d'arqueologia 6–7, 41–52.
3
Alfaro C. (2001). “Vías pecuarias y romanización en la Península Ibérica”, in Los rebaños de Gerión. Pastores y trashumancia en Iberia antigua y medieval 73, ed. C. de Velázquez (Madrid: Collection de la Casa de Velázquez 73),215–232.
4
Asensio D. (2013). El poblament rural en les comunitats ibèriques del nord-est de la Península Ibèrica entre els segles VI i III aC. Documents d'archéologie méridionale36, 321–328. 10.4000/dam.2438
5
Asensio D. Belarte F. Sanmart,í J. Santacana J. (1998). Paisatges ibèrics: tipus d'assentaments i formes d'ocupació del territori a la costa central de Catalunya durant el període ibèric ple. Saguntum: Papeles del Laboratorio de Arqueología de Valencia-Extra1, 373–385.
6
Asensio D. Cardona R. Ferrer C. Morer de Llorens J. Pou J. (2003b). Jaciment ibèric de Sant Esteve d'Olius (Olius, Solsonès): un centre d'acumulació d'exedent agrícola del segle III aC a la Lacetània. Oppidum: revista cultural del Solsonès2, 94–103.
7
Asensio D. Francès J. Pons E. (2003a). Les implicacions econòmiques i socials de la concentració de reserves de cereals a la Catalunya costanera en època ibèrica. Rev. Prehist. Protohist. 14, 125–140.
8
Balasse M. Ambrose S. H. (2005). Mobilité altitudinale des pasteurs néolithiques dans la vallée du Rift (Kenya): premiers indices de l'analyse du δ13C de l'émail dentaire du cheptel domestique. Anthropozoologica40, 147–166.
9
Balasse M. Ambrose S. H. Smith A. B. Price T. D. (2002). The seasonal mobility model for prehistoric herders in the south-western Cape of South Africa assessed by isotopic analysis of sheep tooth enamel. J. Archaeol. Sci.29, 917–932. 10.1006/jasc.2001.0787
10
Beard B. L. Johnson C. M. (2000). Strontium isotope composition of skeletal material can determine the birth place and geographic mobility of humans and animals. J. Forensic Sci.45, 1049–1061. 10.1520/JFS14829J
11
Bender M. M. (1971). Variations in the 13C/12C ratios of plants in relation to the pathway of photosynthetic carbon dioxide fixation. Phytochemistry10, 1239–1244. 10.1016/S0031-9422(00)84324-1
12
Bentley R. A. Knipper C. (2005). Geographical patterns in biologically available strontium, carbon and oxygen isotope signatures in prehistoric SW Germany. Archaeometry47, 629–644. 10.1111/j.1475-4754.2005.00223.x
13
Birck J. L. (1986). Precision K-Rb-Sr isotopic analysis: application to Rb-Sr chronology. Chem. Geol.56, 73–83. 10.1016/0009-2541(86)90111-7
14
Blanks D. R. (1995). Transhumance in the middle ages: the eastern Pyrenees. J. Peasant Stud.23, 64–87. 10.1080/03066159508438600
15
Bouso M. Fernández M. J. Gago N. Pons E. (2000). La producción agrícola y la transformación y conservación de cereales en Mas Castellar-Pontós. III Reunió sobre Economia en el Món Ibèric. Sagvntvm-Plav Extra 3, 115−123.
16
Brun J. P. (1996). La grande transhumance à l'époque romaine. À propos des recherches sur la Crau d'Arles. Anthropozoologica24, 31–44.
17
Burjachs F. Blech M. Marzoli D. Juli,à R. (2000). “Evolución del paisaje vegetal en relación con el uso del territorio en la Edad del Hierro en el NE de la Península Ibérica”, in Els productes alimentaris d'origen vegetal a l'edat del ferro a Europa occidental: de la producció al consum, ed. R. Buxó and E. Pons (Girona: Departament de Cultura, Generalitat de Catalunya), 31–42.
18
Canal D. (2000). Dieta vegetal y explotación agraria en el mundo ibérico a través del análisis de semillas y frutos: el Mas Castellar de Pontós. Sagvntvm-Plav Extra3, 125–131.
19
Canal D. (2002). “L'explotació dels recursos vegetals: les anàlisis carpològiques”, in: Mas Castellar de Pontós (Alt Empordà). Un complex arqueològic d'època ibèrica (Excavacions 1990-1998), ed. E. Pons (Girona: Sèrie Monogràfica 21. Museu d'Arqueologia de Catalunya) 443–476.
20
Cebrià A. Esteve X. Mestres J. (2003). Enclosures a la serra del garraf des de la protohistòria a la baixa antiguitat. Recintes d'estabulaciô vinculats a camins ramaders, in: Territoris antics a la Mediterrània i a la Cossetània oriental (actes del Simposi Internacional d'Arqueologia del Baix Penedès), ed. J. Guitart, J. M. Palet, and M. Prevosti (Generalitat de Catalunya: Departament de Cultura, Barcelona), 313–316.
21
Chorén J. Calduch N. (2006). L'assentament ibèric de Sant Esteve d'Olius (Olius, Solsonès): intervenció a la muralla i al camí d'accés. Primera fase de l'adequació del camp de sitges fortificat del segle II aC. Oppidum. Revista Cultural del Solsonès5, 22–33.
22
Cleary M. C. (1986). Patterns of transhumance in Languedoc. Geography71, 25–33.
23
Colominas i Roca J. (1954). Poblado ibérico del Turó de la Rovira.Empúries: revista de món clàssic i antiguitat tardana, 203–214.
24
Colominas L. (2008). Els animals en el conjunt de les pràctiques socials desenvolupades a l'establiment rural de Mas Castellar (Pontòs, Girona). Cypsela: revista de prehistòria i protohistòria17, 219–232.
25
Colominas L. (2013). “Arqueozoología y Romanización. Producción, distribución y consumo de animales en elnoreste de la península ibérica entre los siglos V ane- V dne,” in British Archaeological Reports British Series 2480.Oxford: Archaeopress.
26
Colominas L. Evin A. Burch J. Campmaj,ó P. Casas J. Castanyer P. et al . (2019). Behind the steps of ancient sheep mobility in Iberia: new insights from a geometric morphometric approach. Archaeol. Anthropol. Sci.11, 4971–4982. 10.1007/s12520-019-00837-0
27
Colominas L. Portillo M. Sisa-López de Pablo J. Berrocal A. Gallego-Valle A. López-Bultó O. (in press). Livestock management at the Late Iron Age site of Baltarga (eastern Pyrenees): an integrated bio-geoarchaeological approach. Archaeol. Anthropol. Sci.
28
Davies E. (1941). The patterns of transhumance in Europe. Geography26, 155–168.
29
Diefendorf A. F. Mueller K. E. Wing S. L. Koch P. L. Freeman K. H. (2010). Global patterns in leaf 13C discrimination and implications for studies of past and future climate. Proc. Nat. Acad. Sci.107, 5738–5743. 10.1073/pnas.0910513107
30
Ejarque A. Orengo H. A. (2009). Legacies of change: The shaping of cultural landscapes in a marginal Mediterranean mountain range, the Garraf Massif, North-Eastern Spain. Oxford J. Archaeol.28, 425–440. 10.1111/j.1468-0092.2009.00336.x
31
Ericson J. E. (1985). Strontium isotope characterization in the study of prehistoric human ecology. J. Hum. Evol.14, 503–514. 10.1016/S0047-2484(85)80029-4
32
Euba I. (2008). Análisis antracológico de estructuras altimontanas en el Valle de La Vansa-Sierra del Cadi (Alt Urgell) y en el Valle del Matriu (Andorra): explotación de recursos forestales del Neolítico a la época moderna. Tarragona: Institut Català d'Arqueologia Clàssica; Universitat Rovira i Virgili.
33
Evans J. A. Montgomery J. Wildman G. Boulton N. (2010). Spatial variations in biosphere Sr-87/Sr-86 in Britain. J. Geol. Soc. London. 167, 1–4. 10.1144/0016-76492009-090
34
Farquhar G. D. Ehleringer J. R. Hubick K. T. (1989). Carbon isotope discrimination and photosynthesis. Annu. Rev. Plant Biol.40, 503–537. 10.1146/annurev.pp.40.060189.002443
35
Fíguls A. Weller O. Grandia F. Bonache J. González J. Lanaspa R. M. (2013). La primera explotación minera de la sal gema: La Vall Salina de Cardona (Cataluña, España). Chungará (Arica)45, 177–195. 10.4067/S0717-73562013000100009
36
Franquesa D. Oltra J. Piña A. Pons E. Saña M. Verdún E. (2000). La ramaderia en les societats ibèriques del NE de la Península Ibèrica: diversificació i especialització. III Reunió sobre Economia en el Món Ibèric. Sagvntvm-Plav Extra3, 153–161.
37
Friend A. D. Woodward F. I. Switsur V. R. (1989). Field measurements of photosynthesis, stomatal conductance, leaf nitrogen and δ13C along altitudinal gradients in Scotland. Funct. Ecol.3, 117–122. 10.2307/2389682
38
Fuertes M. Gonzalo C. González H. López A. Pons E. Rodrigo E. et al . (2002). “L'establiment rural”, in Mas Castellar de Pontós (Alt Empordà). Un complex arqueològic d'època ibèrica (Excavacions 1990-1998), ed. E. Pons (Girona: Sèrie Monogràfica 21. Museu d'Arqueologia de Catalunya) 17–33.
39
Gat J. R. (1980). “The isotopes of hydrogen and oxygen in precipitation”, in Handbook of Environmental Isotope Geochemistry. The Terrestrial Environment 1, eds. P. Fritz and J. C. Fontes (Amsterdam: Elsevier), 21–42. 10.1016/B978-0-444-41780-0.50007-9
40
Georgoudi S. (1974). Quelques problèmes de la transhumance dans la Grèce ancienne. Revue des études grecques87, 155–185. 10.3406/reg.1974.1246
41
Giner D. (2018). La darrera intervenció arqueològica al poblat Ibèric del Turó de la Rovira de Barcelona. Quarhis: Quaderns d'Arqueologia i Història de la Ciutat de Barcelona, 38–63.
42
Gómez-Ibañez D. A. (1977). Energy, economics, and the decline of transhumance. Geogr. Rev.67, 284–298. 10.2307/213723
43
Gómez-Pantoja J. (2001). “Pastio agrestis. Pastoralismo en Hispania romana”, in Los rebaños de Gerión. Pastores y trashumancia en Iberia antigua y medieval, ed. C. de Velázquez (Madrid: Collection de la Casa de Velázquez 73), 177–213.
44
Gómez-Pantoja J. (2004). “Pecora consectari: transhumance in Roman Spain”, in Pecus: man and animal in antiquity, ed. B. Santillo Frizell (New York City: The Swedish Institute), 94–102.
45
González-Sampériz P. Aranbarri J. Pérez-Sanz A. Gil-Romera G. Moreno A. Leunda M. et al . (2017). Environmental and climate change in the southern Central Pyrenees since the Last Glacial Maximum: a view from the lake records. Catena149, 668–688. 10.1016/j.catena.2016.07.041
46
Gracia F. (2005). “El món ibèric al nord-est peninsular: panorama acutal de la recerca”, in Món ibèric als Països Catalans: XIII Col·loqui Internacional d'Arqueologia de Puigcerdà. Homenatge a Josep Barberà i Farràs, ed. J. Buch (Puigcerdà: 14 i 15 de novembre de 2003. Institut d'Estudis Ceretans)203–216.
47
Gross J. H. (2017). “Isotopic composition and accurate mass”, in Mass Spectrometry: A Textbook. Cham, Switzerland: Springer International Publishing AG, 85–150.
48
Guardia C. Obiols L. (2014). Pel camí cardoner de la serra del cadí. Treballs de la Societat Catalana de Geografia78, 177–180.
49
Hartman G. Danin A. (2010). Isotopic values of plants in relation to water availability in the Eastern Mediterranean region. Oecologia162, 837–852. 10.1007/s00442-009-1514-7
50
Institut Cartogràfic i Geològic de Catalunya (2023). Available online at: https://www.icgc.cat/Administracio-i-empresa/Descarregues/Cartografia-geologica-i-geotematica/Cartografia-geologica/Mapa-geologic-comarcal-1-50.000/Mapa-geologic-comarcal-de-Catalunya-1-50.000 (accessed June 14, 2023).
51
Jalut G. Dedoubat J. J. Fontugne M. Otto T. (2009). Holocene circum-Mediterranean vegetation changes: climate forcing and human impact. Quat. Int.200, 4–18. 10.1016/j.quaint.2008.03.012
52
Janzen A. Balasse M. Ambrose S. H. (2020). Early pastoral mobility and seasonality in Kenya assessed through stable isotope analysis. J. Archaeol. Sci.117, 105099. 10.1016/j.jas.2020.105099
53
Knockaert J. (2017). Economie animale et gestion des troupeaux dans les Pyrénées méditerranéennes durant l'âge du Bronze (2300-700 av. J.-C.): approche archéozoologique et contribution des analyses isotopiques de l'émail dentaire (δ18O et δ13C) [PhD thesis]. Paris: Museum National D'Histoire Naturelle.
54
Knockaert J. Balasse M. Rendu C. Burens A. Campmajo P. Carozza L. et al . (2018). Mountain adaptation of caprine herding in the eastern Pyrenees during the Bronze Age: A stable oxygen and carbon isotope analysis of teeth. Quat. Int.484, 60–74. 10.1016/j.quaint.2017.05.029
55
Kohn M. J. (2010). Carbon isotope compositions of terrestrial C3 plants as indicators of (paleo) ecology and (paleo) climate. Proc. Nat. Acad. Sci.107, 19691–19695. 10.1073/pnas.1004933107
56
Körner C. Farquhar G. D. Wong S. C. (1991). Carbon isotope discrimination by plants follows latitudinal and altitudinal trends. Oecologia88, 30–40. 10.1007/BF00328400
57
Lee-Thorp J. A. Van der Merwe N. (1987). Carbon isotope analysis of fossil bone apatite. S. Afr. J. Sci.83, 712–715.
58
Longinelli A. (1984). Oxygen isotopes in mammal bone phosphate: a new tool for paleohydrological and paleoclimatological research?Geochim. Cosmochim. Acta48, 385–390. 10.1016/0016-7037(84)90259-X
59
López L. (2009). Arqueobotànica de l'ordi vestit (Hordeum vulgare L.): el graner fortificat de Sant Esteve d'Olius (Olius, Solsonès) (s. III ane). Cypsela: revista de prehistòria i protohistòria17, 201–218.
60
Luna Loayza V. A. (2013). Sales mineralizadas para alimento vacuno a partir de la sal de roca [TFG dissertation]. La Paz: Universidad Mayor de San Andrés.
61
Luz B. Kolodny Y. Horowiyz M. (1984). Fractionation of oxygen isotopes between mammalian bone-phosphate and environmental drinking water. Geochim. Cosmochim. Acta48, 1689–1693. 10.1016/0016-7037(84)90338-7
62
Madgwick R. Mulville J. Evans J. (2012). Investigating diagenesis and the suitability of porcine enamel for strontium (87Sr/86Sr) isotope analysis. J. Anal. At. Spectrom.27, 733–742. 10.1039/c2ja10356g
63
Makarewicz C. A. Arbuckle B. S. Öztan A. (2017). Vertical transhumance of sheep and goats identified by intra-tooth sequential carbon (δ13C) and oxygen (δ18O) isotopic analyses: evidence from Chalcolithic Köşk Höyük, central Turkey. J. Archaeol. Sci.86, 68–80. 10.1016/j.jas.2017.01.003
64
Manrique J. T. (2017). La explotación de la sal en el sistema ibérico central durante el I milenio a.C [PhD thesis].Zaragoza: Universidad de Zaragoza.
65
Manzano-Baena P. Casas R. (2010). Past, present and future of transhumancia in Spain: Nomadism in a developed country. Pastoralism1, 73–90. 10.6084/m9.figshare.12253130
66
Marcos Pinto P. A. (2019). Salinas de Sal-gema de Rio Maior. Contribuição do Arquiteto Paisagista Para a Divulgação, Valorização e Requalificação de uma Paisagem Cultural Única. [TFM dissertation].Lisbon: Universidade de Lisboa.
67
Marti F. X. S. Roigé X. Contreras J. Ros I. (1995). “Cuadernos de la transhumancia - n°13: Pirineo Catalán,” in Cuadernos de la Trashumancia, ed ICONA (Madrid).
68
Mateu A. I. (1992). A revised list of the European C4 plants. Photosynthetica (Praha)26, 323–331.
69
McKinney C. R. McCrea J. M. Epstein S. Allen H. A. Urey H. C. (1950). Improvements in mass spectrometers for the measurement of small differences in isotope abundance ratios. Rev. Scient. Instrum.21, 724–730. 10.1063/1.1745698
70
Meiggs D. C. (2009). Investigation of neolithic herding practices by multiple isotope analysis: a case study at PPNB Gritille, southeastern Turkey (Ph.D. thesis). Madison: University of Wisconsin-Madison (USA).
71
Messana C. Tornero C. Colominas L. (2023). Choose what suits you the best: reproductive patterns and livestock management in the Iron Age Iberian Peninsula (3rd c. BC). Archaeol. Anthropol. 15, 56. 10.1007/s12520-023-01752-1
72
Miralles F. Tutusaus i Graus J. (2006). Mil anys pels camins del'herba: el llegat d'un món que s' acaba. Barcelona: Editorial Efadós.
73
Montgomery J. (2010). Passports from the past: investigating human dispersals using strontium isotope analysis of tooth enamel. Ann. Hum. Biol.37, 325–346. 10.3109/03014461003649297
74
Morer de Llorens J. Asensio D. Cardona R. Pou Vallès J. Cantero F. J. Castillo L. et al . (2016). El Centre d'Estudis Lacetans fa 20 anys. Una entitat dedicada a la recerca arqueològica a l'entorn del Solsonès. Tribuna D'arqueologia 2016-2017, 63–83.
75
Morera J. (2017). Territori i poblament de Cerdanya a l'Antiguitat: la iberització i la romanització de la vall cerdana. [PhD thesis].Barcelona: Universitat Autònoma de Barcelona.
76
Nieto Espinet A. (2016). Seguint les traces de la transhumància. Aproximació teòrica a partir dels resultats arqueozoològics de la fortalesa dels Vilars (Arbeca, Garrigues). Revista d'arqueologia de Ponent2016, 11–34. 10.21001/rap.2016.26.1
77
Nieto Espinet A. Huet T. Trentacoste A. Guimarães S. Orengo H. Valenzuela S. (2021). Resilience and livestock adaptations to demographic growth and technological change: A diachronic perspective from the Late Bronze Age to Late Antiquity in NE Iberia. PLoS ONE16, e0246201. 10.1371/journal.pone.0246201
78
Nolla J. M. Palahí L. Vivo J. (2010). De l'oppidum a la ciuitas: la romanització inicial de la Indigècia.Girona: Institut de Recerca Històrica de la Universitat de Girona.
79
Obiols L. Mata J. M. Restrep C. Pasques J. (2009). Las rutas de la sal: el” camí Cardoner”, vía de distribución de la sal de las minas de Cardona hacia el sur de Francia. Rutas Minerales en Iberoamérica 2009, 77−83.
80
Olesti O. (2020). El Pirineu Oriental en el marc de la Segona Guerra Púnica (218-202 ane): una nova perspectiva. Treballs d'arqueologia24, 7–40. 10.5565/rev/tda.120
81
Olesti O. (2022). “Iulia Libica y la explotación de los territorios Pirenaicos Orientales (s. I-III dne)”, in Small Towns, una realidad urbana en la Hispania romana. Mérida: Instituto de Arqueología de Mérida (MYTRA 10), 581–590.
82
Olesti O. Mercadal O. (2017). L'explotació dels territoris pirinencs orientals en època antiga (s. VI-I ane). Treballs d'arqueologia21, 9–47. 10.5565/rev/tda.69
83
Olesti O. Morera J. Oller J. Mercadal O. (2018). Paisatge i territori a la Cerdanya antiga: novetats arqueològiques al Castellot de Bolvir i el Tossal de Baltarga. Tribuna d'Arqueologia (2015-2016) 2015, 132−156.
84
Oller J. Olesti O. Morera J. Platz-Horster G. (2021). Three Roman Republican seal-rings discovered in the Eastern Pyrenees and their significance. Eur. J. Archaeol.24, 457–476. 10.1017/eaa.2021.5
85
Oteros-Rozas E. González J. A. Martin-Lopez B. López C. A. Montes C. (2012). “Ecosystem services and social-ecological resilience in transhumance cultural landscapes: learning from the past, looking for a future”, in Resilience and the cultural landscape: understanding and managing change in human-shaped environments, eds. T. Plieninger and C. Bieling (Cambridge: Cambridge University Press), 242–260.
86
Oteros-Rozas E. Ontillera-Sánchez R. Sanosa P. Gómez-Baggethun E. Reyes-García V. González J. A. (2013). Traditional ecological knowledge among transhumant pastoralists in Mediterranean Spain. Ecol. Soc.18, 3. 10.5751/ES-05597-180333
87
Payne S. (1973). Kill-off patterns in sheep and goats. The mandibles from Aşvan Kale. Anatolian Stud.23, 281–303. 10.2307/3642547
88
Pons E. Asensio D. Fuertes M. Bouso M. (2010). “El yacimiento del Mas Castellar de Pontós (Alt Empordà, Girona): un núcleo indígena en la órbita de la colonia focea de Emporion”, in Grecs et indigènes de la Catalogne à la mer Noire, ed. H. Tréziny (Aix-en-Provence: BIAMA 3, Centre Camille Jullian),105–118.
89
Prats G. Antolín F. Alonso N. (2020). From the earliest farmers to the first urban centres: a socio-economic analysis of underground storage practices in north-eastern Iberia. Antiquity94, 653–668. 10.15184/aqy.2019.153
90
Price T. D. Burton J. H. Bentley R. A. (2002). The characterization of biologically available strontium isotope ratios for the study of prehistoric migration. Archaeometry44, 117–135. 10.1111/1475-4754.00047
91
Pyankov V. I. Ziegler H. Akhani H. Deigele C. Luettge U. (2010). European plants with C4 photosynthesis: geographical and taxonomic distribution and relations to climate parameters. Botan. J. Linnean Soc.163, 283–304. 10.1111/j.1095-8339.2010.01062.x
92
Reiser H. Kutiel H. (2010). Rainfall uncertainty in the Mediterranean: dryness distribution. Theor. Appl. Climatol.100, 123–135. 10.1007/s00704-009-0163-4
93
Riera S. Esteve X. Nadal J. (2007). “Systèmes d'exploitation et anthropisation du paysage méditerranéen du Néolithique ancien au premier âge du Fer: le cas de la dépression de Penedès (nord-est de la péninsule ibérique),” in Environnements et cultures à l'âge du Bronze en Europe Occidentale, ed CTHS (Paris), 121–141.
94
Riera S. Nadal J. Livarda A. Bouchard-Perron J.-A. López O. Roselló E. et al . (2020). “Estudi bioarqueològic de la intervenció arqueològica al Turó de la Rovira: configuració paisatgística i explotació dels recursos naturals”, in Anuari d'arqueologia i patrimoni de Barcelona 2018, ed. A.de Barcelona, Institut de Cultura, Servei d'Arqueologia de Barcelona (Barcelona: Museu d'Historia de Barcelona), 352–376.
95
Ros Mora M. T. (1992). Les apports de l'anthracologie à l'étude du paléoenvironnement végétal en Catalogne (Espagne), Bulletin de la Société Botanique de France. Actualités Botaniques139, 483–493. 10.1080/01811789.1992.10827122
96
Ruiz M. Ruiz J. P. (1986). Ecological history of transhumance in Spain. Biol. Conserv.37, 73–86. 10.1016/0006-3207(86)90035-2
97
Sanmartí J. (2004). From local groups to early states: the development of complexity in protohistoric Catalonia. Pyrenae35, 7–41.
98
Sanmartí J. (2014). L'Estat del coneixement sobre la cultura ibèrica a Catalunya. Butlletí de la Societat Catalana d'Estudis Històrics25, 227–260. 10.2436/20.1001.01.131
99
Sanmartí J. (2021). “Breu història de la investigació”, in L'enigma iber: arqueologia d'una civilització, ed. M. d'Arqueologia de Catalunya (Barcelona: Departament de Cultura. Generalitat de Catalunya) 23–30.
100
Sanmartí J. Belarte M. C. Noguera J. Asensio D. Jornet R. Morer J. (2019). “A city-state system in the pre-Roman western Mediterranean: the Iberian cities of eastern Catalonia”, in Urbanization in Iberia and Mediterranean Gaul in the first millennium BC, eds. M. C. Belarte, J. Noguera, R. Plana-Mallart, and J. Sanmartí (Tarragona: Institut Català d'Arqueologia Clàssica - ICAC) 91–108.
101
Smedley M. P. Dawson T. E. Comstock J. P. Donovan L. A. Sherrill D. E. Cook C. S. et al . (1991). Seasonal carbon isotope discrimination in a grassland community. Oecologia85, 314–320. 10.1007/BF00320605
102
Tafuri M. A. Craig O. E. Canci A. (2009). Stable isotope evidence for the consumption of millet and other plants in Bronze Age Italy. Am. J. Phys. Anthrop.139, 146–153. 10.1002/ajpa.20955
103
Tàrraga P. (2020). Estudi del conjunt ceràmic del recinte G del jaciment Tossal de Baltarga (Bellver de Cerdanya). [TFG dissertation].Barcelona: Universitat Autònoma de Barcelona.
104
Tejedor-Rodríguez C. Moreno-García M. Tornero C. Hoffmann A. García-Martínez de Lagrán Í. Arcusa-Magallón H. et al . (2021). Investigating Neolithic caprine husbandry in the Central Pyrenees: Insights from a multi-proxy study at Els Trocs cave (Bisaurri, Spain). PLoS ONE 16, e0244139. 10.1371/journal.pone.0244139
105
Titler R. V. Curry P. (2011). Chemical Analysis of Major Constituents and Trace Contaminants of Rock Salt. Harrisburg: Pennsylvania Department of Environmental Protection.
106
Tornero C. Aguilera M. Ferrio J. P. Arcusa H. Moreno-García M. Garcia-Reig S. et al . (2018). Vertical sheep mobility along the altitudinal gradient through stable isotope analyses in tooth molar bioapatite, meteoric water and pastures: a reference from the Ebro valley to the Central Pyrenees. Quat. Int.484, 94–106. 10.1016/j.quaint.2016.11.042
107
Tornero C. Bălăşescu A. Ughetto-Monfrin J. Voinea V. Balasse M. (2013). Seasonality and season of birth in early Eneolithic sheep from Cheia (Romania): methodological advances and implications for animal economy. J. Archaeol. Sci.40, 4039–4055. 10.1016/j.jas.2013.05.013
108
Tornero C. Balasse M. Bălăşescu A. Chataigner C. Gasparyan B. Montoya C. (2016). The altitudinal mobility of wild sheep at the Epigravettian site of Kalavan 1 (Lesser Caucasus, Armenia): evidence from a sequential isotopic analysis in tooth enamel. J. Hum. Evol.97, 27–36. 10.1016/j.jhevol.2016.05.001
109
Turco M. von Hardenberg J. AghaKouchak A. Llasat M. C. Provenzale A. Trigo R. M. (2017). On the key role of droughts in the dynamics of summer fires in Mediterranean Europe. Sci. Rep.7, 1–10. 10.1038/s41598-017-00116-9
110
Valenzuela-Lamas S. Jiménez-Manchón S. Evans J. López D. Jornet R. Albarella U. (2016). Analysis of seasonal mobility of sheep in Iron Age Catalonia (north-eastern Spain) based on strontium and oxygen isotope analysis from tooth enamel: first results. J. Archaeol. Sci.6, 828–836. 10.1016/j.jasrep.2015.08.042
111
Valenzuela-Lamas S. Orengo H. A. Bosch D. Pellegrini M. Halstead P. Nieto-Espinet A. et al . (2018). Shipping amphorae and shipping sheep? Livestock mobility in the north-east Iberian peninsula during the Iron Age based on strontium isotopic analyses of sheep and goat tooth enamel. PloS ONE13, e0205283. 10.1371/journal.pone.0205283
112
Vilà i Valentí J. (1991). Evolució històrica de la transhumància a Catalunya. Treballs de la Societat Catalana de Geografia25, 63–72.
113
Viner S. Evans J. Albarella U. Pearson M. P. (2010). Cattle mobility in prehistoric Britain: strontium isotope analysis of cattle teeth from Durrington Walls (Wiltshire, Britain). J. Archaeol. Sci.37, 2812–2820. 10.1016/j.jas.2010.06.017
114
Voerkelius S. Lorenz G. D. Rummel S. Quétel C. R. Heiss G. Baxter M. et al . (2010). Strontium isotopic signatures of natural mineral waters, the reference to a simple geological map and its potential for authentication of food. Food Chem.118, 933–940. 10.1016/j.foodchem.2009.04.125
115
Weller O. (2002). The earliest rock salt exploitation in Europe: a salt mountain in the Spanish Neolithic. Antiquity76, 317–318. 10.1017/S0003598X0009030X
116
Weller O. (2004). Los orígenes de la producción de sal: evidencias, funciones y valor en el Neolítico europeo. Pyrenae35, 93–116.
117
Weller O. Fíguls A. (2007). L'intercanvi com a dinamitzador econòmic del Neolític mitjà a Catalunya i la primera explotació minera de sal gemma d'Europa: la vall Salina de Cardona (Barcelona). Cota zero: revista d'arqueologia i ciència22, 101–111.
Summary
Keywords
seasonal livestock mobility, stable isotopes, carbon and oxygen, strontium, Middle/Late Iron Age, NE Iberian Peninsula, animal husbandry strategy
Citation
Messana C, Tornero C, Madgwick R, Lamb AL, Evans J and Colominas L (2023) Between valleys, plateaus, and mountains: unveiling livestock altitudinal mobility in the Iron Age Iberian Peninsula (3rd c. BC) through a multi-isotope approach. Front. Environ. Archaeol. 2:1245725. doi: 10.3389/fearc.2023.1245725
Received
23 June 2023
Accepted
30 August 2023
Published
03 October 2023
Volume
2 - 2023
Edited by
Canan Cakirlar, University of Groningen, Netherlands
Reviewed by
David Kaniewski, Université Toulouse III - Paul Sabatier, France; David Meiggs, Rochester Institute of Technology (RIT), United States
Updates
Copyright
© 2023 Messana, Tornero, Madgwick, Lamb, Evans and Colominas.
This is an open-access article distributed under the terms of the Creative Commons Attribution License (CC BY). The use, distribution or reproduction in other forums is permitted, provided the original author(s) and the copyright owner(s) are credited and that the original publication in this journal is cited, in accordance with accepted academic practice. No use, distribution or reproduction is permitted which does not comply with these terms.
*Correspondence: Chiara Messana cmessana@iphes.catCarlos Tornero Carlos.Tornero@uab.cat
Disclaimer
All claims expressed in this article are solely those of the authors and do not necessarily represent those of their affiliated organizations, or those of the publisher, the editors and the reviewers. Any product that may be evaluated in this article or claim that may be made by its manufacturer is not guaranteed or endorsed by the publisher.