ORIGINAL RESEARCH article
Front. Immunol.
Sec. Cancer Immunity and Immunotherapy
LASSO-Empowered Nomogram Integrating Nutritional-Inflammatory-Tumor Characteristics Predicts Immunotherapy Outcomes in Advanced HCC: Large retrospective cohort
Provisionally accepted- The First Affiliated Hospital of Sun Yat-sen University, Guangzhou, China
Select one of your emails
You have multiple emails registered with Frontiers:
Notify me on publication
Please enter your email address:
If you already have an account, please login
You don't have a Frontiers account ? You can register here
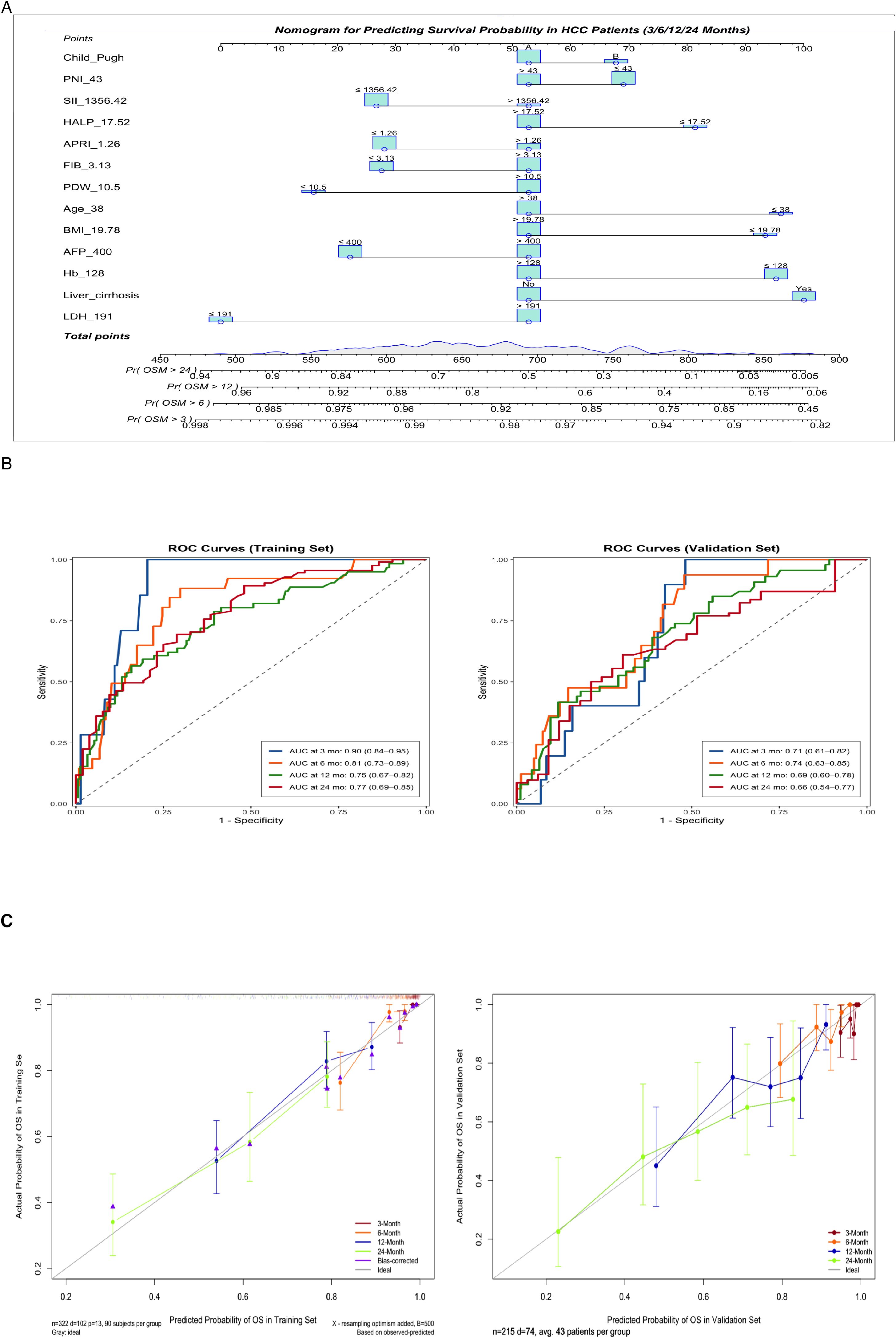
Abstract Background & Aims Immune checkpoint inhibitors (ICIs) show heterogeneous efficacy in advanced hepatocellular carcinoma (HCC), but existing biomarkers are invasive and costly. We aimed to develop a noninvasive prognostic model using routine clinical parameters. Materials and methods This retrospective study included 537 advanced HCC patients treated with PD-1/PD-L1 inhibitors, randomly divided into training (n=322) and validation (n=215) cohorts. Continuous variables were dichotomized using R packages. Univariate Cox regression followed by LASSO regression with 10-fold cross-validation selected predictive features for nomogram construction. Model performance was assessed via time-dependent receiver operating characteristic (ROC) curves, calibration plots, and decision curve analysis (DCA). Cox proportional hazards models identified independent prognostic factors. Results Baseline characteristics were balanced between training and validation cohorts (P>0.05). The LASSO-derived nomogram incorporated 13 risk factors, which encompass multiple dimensions such as tumor characteristics, nutritional status, and inflammation. The model demonstrated robust discrimination, with the area under the curve (AUC) values exceeding 0.75 for 3-, 6-, 12-, and 24-month overall survival (OS). Calibration curves demonstrated a strong concordance between the predicted survival probabilities and the actual observations, and DCA revealed that the nomogram could increase net benefit. Additionally, the nomogram successfully stratified patients into low-risk and high-risk groups based on OS risk, with significant survival differences observed between the two groups in both the training and validation cohorts (all p < 0.001). Conclusions This validated nomogram integrating inflammatory, nutritional, and tumor characteristics provides a cost-effective tool for prognostic stratification in advanced HCC patients undergoing immunotherapy, potentially guiding personalized
Keywords: Hepatocellular Carcinoma, Immunotherapy, nomogram, LASSO regression, Prognostic biomarkers
Received: 23 May 2025; Accepted: 11 Nov 2025.
Copyright: © 2025 Hu, Xu, Li, Chen and Peng. This is an open-access article distributed under the terms of the Creative Commons Attribution License (CC BY). The use, distribution or reproduction in other forums is permitted, provided the original author(s) or licensor are credited and that the original publication in this journal is cited, in accordance with accepted academic practice. No use, distribution or reproduction is permitted which does not comply with these terms.
* Correspondence:
Wei Chen, chenw57@mail.sysu.edu.cn
Zhenwei Peng, pzhenw@mail.sysu.edu.cn
Disclaimer: All claims expressed in this article are solely those of the authors and do not necessarily represent those of their affiliated organizations, or those of the publisher, the editors and the reviewers. Any product that may be evaluated in this article or claim that may be made by its manufacturer is not guaranteed or endorsed by the publisher.
