ORIGINAL RESEARCH article
Front. Immunol.
Sec. Cancer Immunity and Immunotherapy
This article is part of the Research TopicPrecision Medicine and Targeted Therapies in Gastrointestinal and Genitourinary Solid TumorsView all 20 articles
Skeletal muscle index combined with IgM predicts prognosis in gastric cancer patients who underwent surgery
Provisionally accepted- Third Affiliated Hospital of Harbin Medical University, Harbin, China
Select one of your emails
You have multiple emails registered with Frontiers:
Notify me on publication
Please enter your email address:
If you already have an account, please login
You don't have a Frontiers account ? You can register here
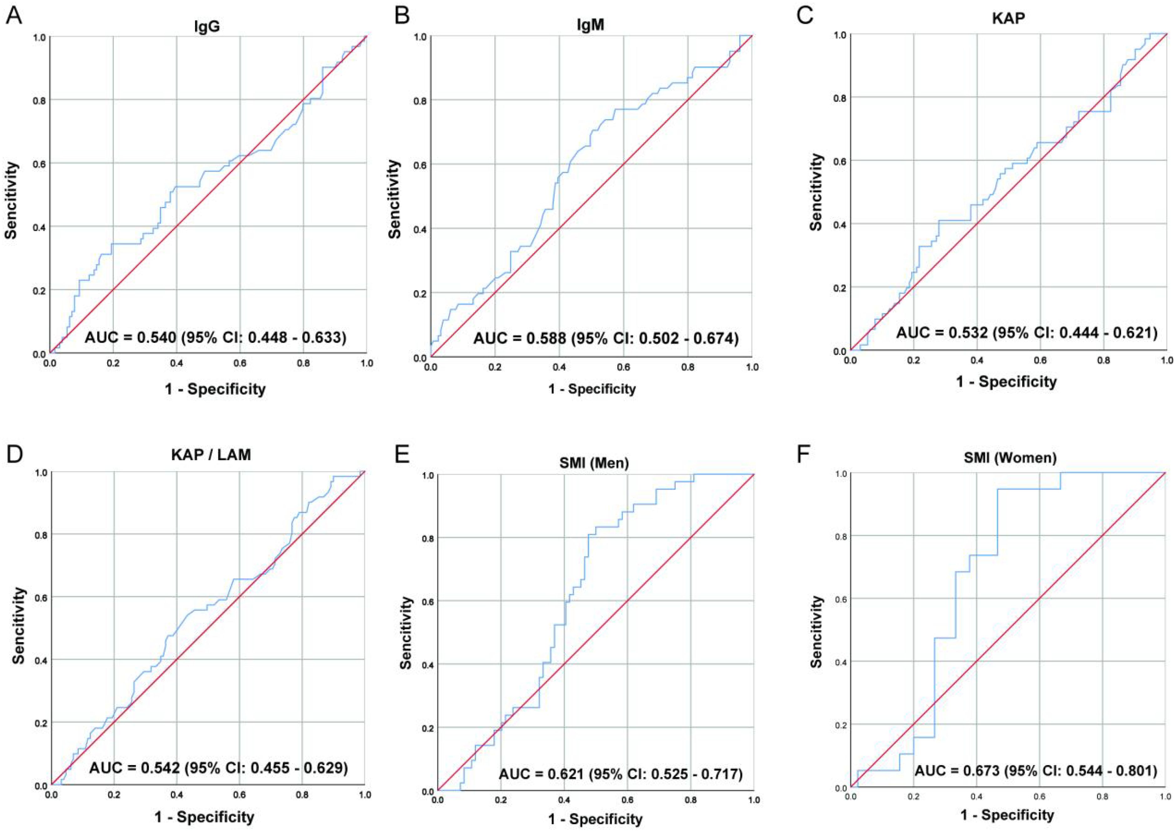
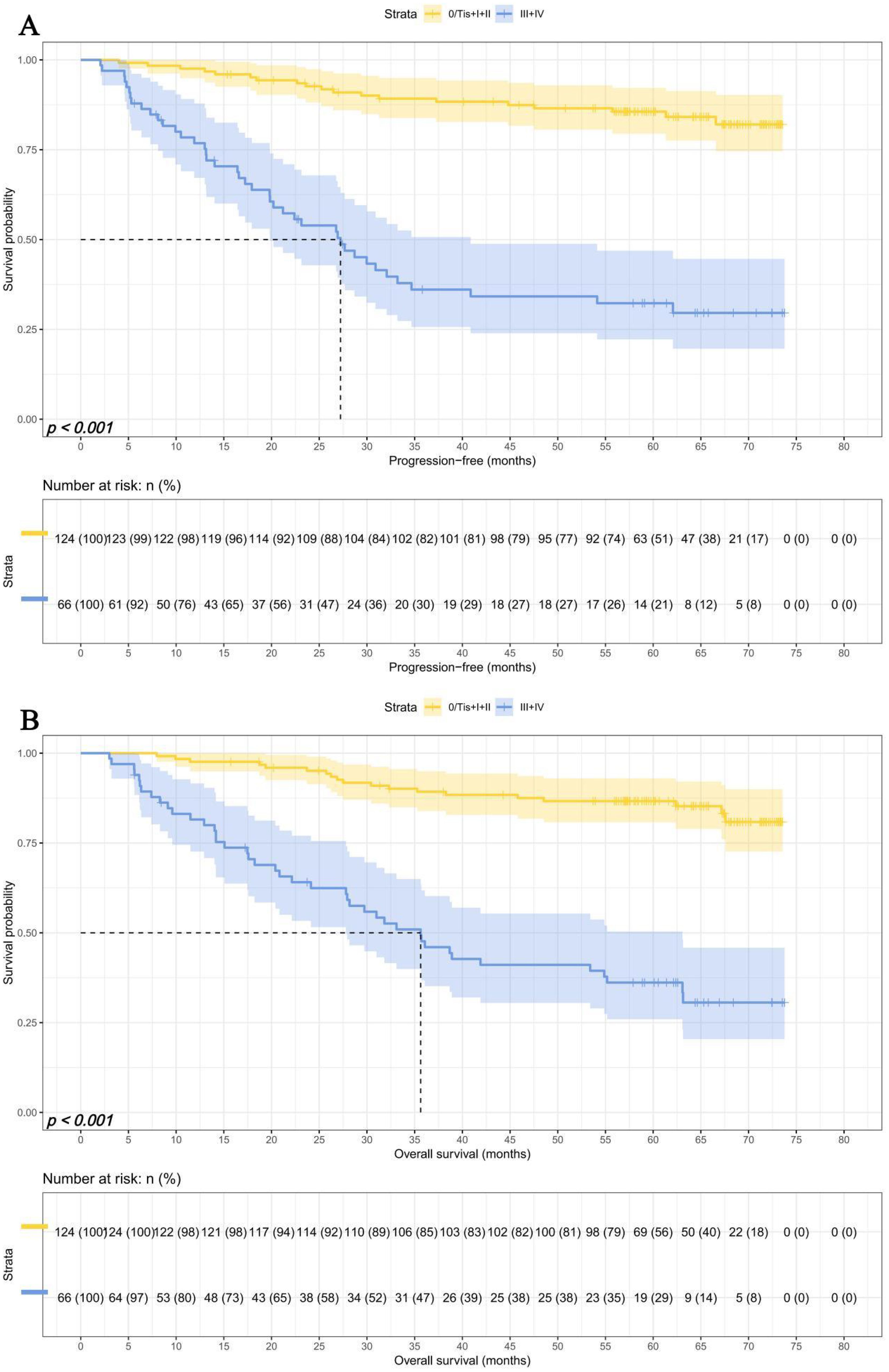
Background: The purpose of this study is to investigate the combination of skeletal muscle index (SMI) and immunoglobulin M (IgM) to form the SMI-IgM score to predict the prognosis of patients who underwent surgery for gastric cancer. Patients and Methods: In this study, 190 patients operated for gastric cancer from July 2016 to December 2017 were collected. According to the optimal critical values of skeletal muscle index and immunoglobulin M, all patients were divided into three groups. We used Kaplan-Meier survival curves and log-rank test to assess the differences in progression-free survival time (PFS) and overall survival time (OS) between the 3 groups of patients. Independent predictors were identified using Cox regression, and nomogram plots were produced to predict confounded 1-, 3-, and 5-year survival rates based on independent predictors. Results: There were 68 patients (35.8%) in the SMI-IgM 1 group, 85 patients (44.7%) in the SMI-IgM 2 group, and 37 patients (19.5%) in the SMI-IgM 3 group. Patients in the SMI-IgM 1 group had worse PFS (HR = 0.345, 95% CI: 0.226-0.525, p < 0.001) and OS (HR = 0.345, 95% CI: 0.227-0.525, p < 0.001). The multifactorial analysis showed that SMI-IgM score was an independent predictor of PFS and OS in patients. The calibration curves show better predictive efficacy of the column charts in years 3 and 5. Conclusion: The SMI-IgM score could well respond to the nutritional and immune status of the body, and could be used as a new predictor for patients undergoing surgery for gastric cancer.
Keywords: Skeletal muscle index, IgM, gastric cancer, Surgery, prognosis
Received: 11 Jun 2025; Accepted: 10 Nov 2025.
Copyright: © 2025 Xu, Xing, Du, Zhao, Deng, Song, Xue and Song. This is an open-access article distributed under the terms of the Creative Commons Attribution License (CC BY). The use, distribution or reproduction in other forums is permitted, provided the original author(s) or licensor are credited and that the original publication in this journal is cited, in accordance with accepted academic practice. No use, distribution or reproduction is permitted which does not comply with these terms.
* Correspondence: Hongjiang Song, 600911@hrbmu.edu.cn
Disclaimer: All claims expressed in this article are solely those of the authors and do not necessarily represent those of their affiliated organizations, or those of the publisher, the editors and the reviewers. Any product that may be evaluated in this article or claim that may be made by its manufacturer is not guaranteed or endorsed by the publisher.
