ORIGINAL RESEARCH article
Front. Immunol.
Sec. Microbial Immunology
Gut Microbiota-Driven Dysbiosis of the SCFA-Immune Axis in Pediatric Allergic Rhinitis-Constipation Comorbidity: Mechanisms and Synbiotic Remodeling
Provisionally accepted- 1Shantou University Medical College, Shantou, China
- 2Zhuhai Maternal and Child Health Hospital, zhuhai, China
- 3Longgang District People's Hospital of Shenzhen, Shenzhen, China
- 4Longgang District Maternity & Child Healthcare Hospital of Shenzhen City, Shenzhen, China
Select one of your emails
You have multiple emails registered with Frontiers:
Notify me on publication
Please enter your email address:
If you already have an account, please login
You don't have a Frontiers account ? You can register here
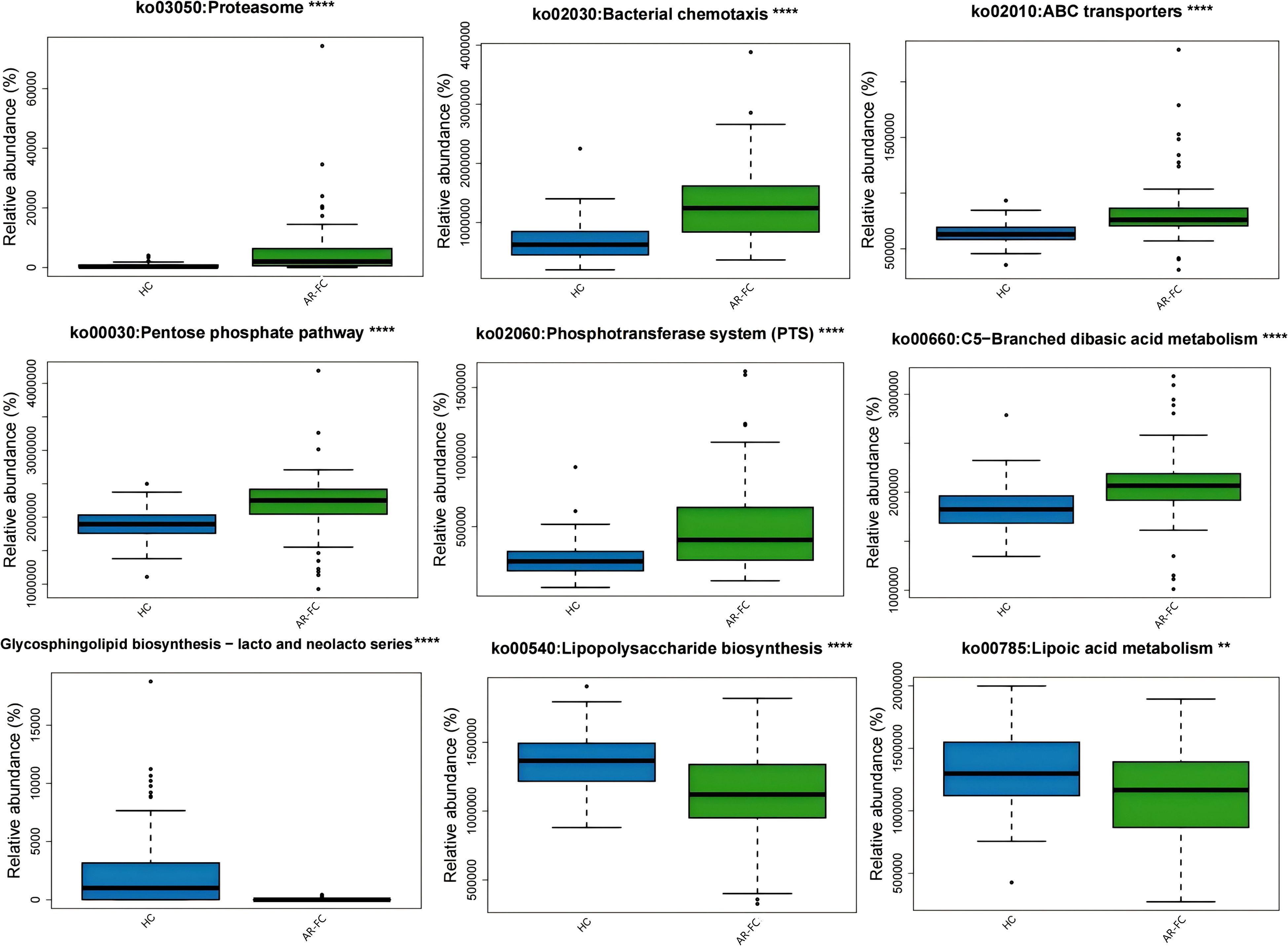
Background: The coexistence of allergic rhinitis (AR) and functional constipation (FC) in children reflects complex gut–immune interactions; however, the contribution of microbiota-derived short-chain fatty acids (SCFAs) to immune-metabolic dysregulation remains poorly defined. Methods: Fecal microbiota from 57 AR-FC children (aged 0–6 years) and 59 age-matched healthy controls (HC) were profiled using 16S rRNA gene sequencing, and functional pathways were inferred via PICRUSt2. A subset of 13 preschoolers (aged 3–7 years) underwent a 3-month synbiotic intervention (multi-strain probiotics combined with dietary fiber), with paired pre-and post-treatment samples analyzed. Results: AR-FC subjects exhibited reduced α - diversity (P = 0.003) and depletion of SCFAs-producing taxa (Faecalibacterium prausnitzii: Log2FC = −2.1, P = 0.001; Bacteroides stercoris: Log2FC = −1.8, P = 0.005). Alterations were observed in functional pathways, including upregulated proteasome activity (P = 0.01, potentially linked to antigen processing) and suppressed LPS biosynthesis (P = 0.02, suggestive of impaired innate immunity). Synbiotic administration enriched Faecalibacterium abundance (+54.8%, P < 0.05) and alleviated constipation but reduced Bifidobacterium ( −85.2%, P < 0.05), reflecting substrate competition. Following synbiotic intervention, metabolic remodeling was characterized by increased sulfur assimilation (+83.2% sulfate reduction, P = 0.04) and diminished β-lactam resistance (−35.4%, P = 0.03). Conclusion: Gut dysbiosis in AR-FC comorbidity is associated with disruption of the microbiota–SCFA–immune axis, which may correlate with mucosal barrier defects and a potential bias toward T helper 2 (Th2) polarization. Although synbiotic therapy induced taxonomic shifts and improved gastrointestinal function, our findings highlight the need for strain-specific formulations to achieve comprehensive immune and intestinal restoration.
Keywords: allergic rhinitis, Functional constipation, Gut-immune axis, Short-chain fatty acids (SCFAs), Synbiotic therapy, Dysbiosis
Received: 02 Jun 2025; Accepted: 11 Nov 2025.
Copyright: © 2025 Yang, Zhang, Ni, Lin, Wu and Congfu. This is an open-access article distributed under the terms of the Creative Commons Attribution License (CC BY). The use, distribution or reproduction in other forums is permitted, provided the original author(s) or licensor are credited and that the original publication in this journal is cited, in accordance with accepted academic practice. No use, distribution or reproduction is permitted which does not comply with these terms.
* Correspondence: Huang Congfu, 78333755@qq.com
Disclaimer: All claims expressed in this article are solely those of the authors and do not necessarily represent those of their affiliated organizations, or those of the publisher, the editors and the reviewers. Any product that may be evaluated in this article or claim that may be made by its manufacturer is not guaranteed or endorsed by the publisher.
