ORIGINAL RESEARCH article
Front. Immunol.
Sec. Cancer Immunity and Immunotherapy
Vinegar intake in patients undergoing responders to immune checkpoint inhibitor therapy: food frequency questionnaire study
Provisionally accepted- 1Showa University, Shinagawa, Japan
- 2Showa Daigaku Byoin, Shinagawa, Japan
Select one of your emails
You have multiple emails registered with Frontiers:
Notify me on publication
Please enter your email address:
If you already have an account, please login
You don't have a Frontiers account ? You can register here
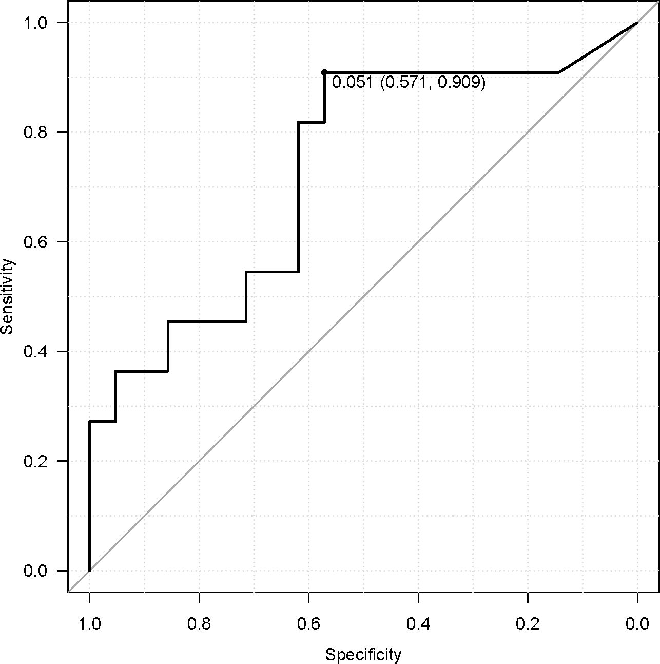
Introduction: The gut microbiome is increasingly recognized as a key modulator of immune checkpoint inhibitor (ICI) efficacy. Dietary factors, particularly fibers, may influence the microbiome and thus affect the ICI response. Although Western studies have suggested a link between high fiber intake and better outcomes, this relationship remains unclear in Japanese populations with different dietary habits. This study investigated dietary components associated with ICI response in Japanese patients with cancer. Methods: In total, 32 patients with carcinomas treated with ICIs were enrolled. Nutritional customs before ICI infusion were analyzed using a food frequency questionnaire. Results: Among the 331 dietary items, only vinegar (acetic acid) intake showed an independent association with the treatment response. Higher vinegar consumption correlated with significantly lower odds of nonresponse (P = 0.017). In contrast, total and fermentable dietary fiber intake showed no significant association with ICI efficacy or survival outcomes. This is a provisional file, not the final typeset article Conclusions: Higher vinegar intake is associated with better may enhance the ICI response in Japanese patients, whereas fiber has a limited effect. Thus, tailored Tailored dietary strategies are needed for optimal outcomes.
Keywords: vinegar, Acetic Acid, Immune checkpoint inhibitor, nutrition, Food Frequency Questionnaire
Received: 03 Jun 2025; Accepted: 24 Nov 2025.
Copyright: © 2025 Ariizumi, Shimazui, Ogawa, Kaneki, Saito, Mura, Suzuki, Tsurui, Iriguchi, Ishiguro, Hirasawa, Shimokawa, Ohkuma, Kubota, HORIIKE, Wada, YOSHIMURA, Murakami and Tsunoda. This is an open-access article distributed under the terms of the Creative Commons Attribution License (CC BY). The use, distribution or reproduction in other forums is permitted, provided the original author(s) or licensor are credited and that the original publication in this journal is cited, in accordance with accepted academic practice. No use, distribution or reproduction is permitted which does not comply with these terms.
* Correspondence: Hirotsugu Ariizumi
Disclaimer: All claims expressed in this article are solely those of the authors and do not necessarily represent those of their affiliated organizations, or those of the publisher, the editors and the reviewers. Any product that may be evaluated in this article or claim that may be made by its manufacturer is not guaranteed or endorsed by the publisher.
