ORIGINAL RESEARCH article
Front. Immunol.
Sec. Cancer Immunity and Immunotherapy
This article is part of the Research TopicCommunity Series in Methods in Cancer Immunity and Immunotherapy: Volume IIView all 14 articles
Two vs three cycles of neoadjuvant immunochemotherapy for resectable non-small-cell lung cancer: A Real-World Population-Based Study
Provisionally accepted- Department of Thoracic Surgery, Tangdu Hospital, Fourth Military Medical University, Xian, China
Select one of your emails
You have multiple emails registered with Frontiers:
Notify me on publication
Please enter your email address:
If you already have an account, please login
You don't have a Frontiers account ? You can register here
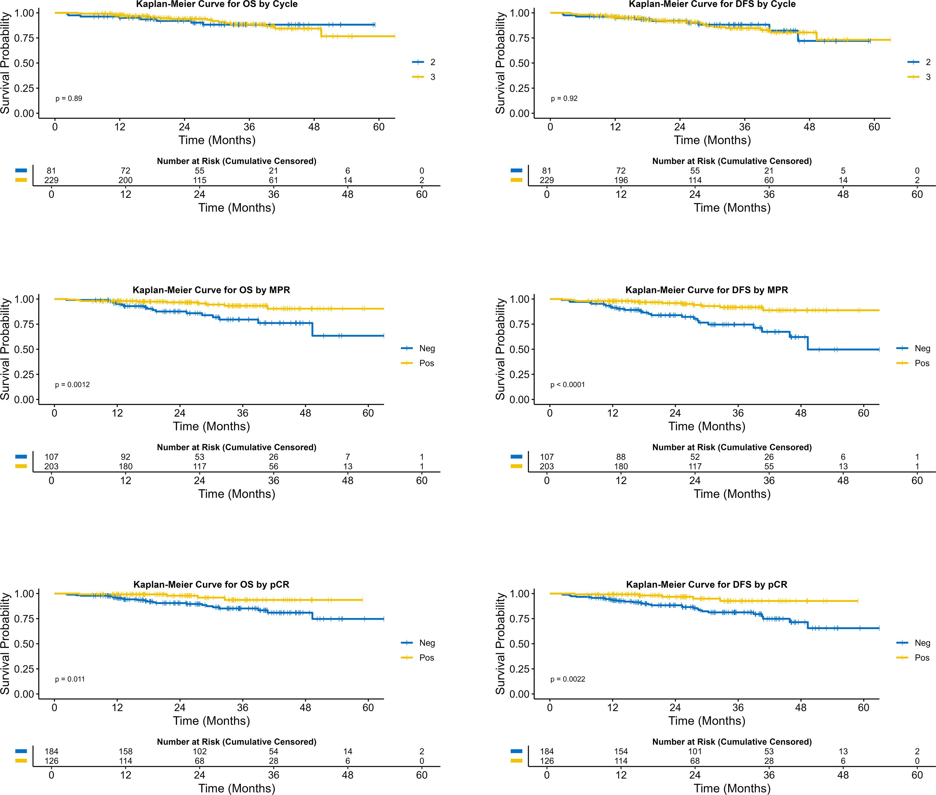
Objective: Investigation of the Impact of Neoadjuvant Immunochemotherapy Cycles on Pathological Response, Perioperative Safety, and Survival Outcomes in Patients with Resectable Non-Small Cell Lung Cancer (NSCLC). Methods: This study utilized real-world data, focusing on patients with stage IIA-IIIB non-small cell lung cancer (NSCLC) who underwent neoadjuvant immunochemotherapy followed by surgical resection. Subjects were stratified into groups based on whether they received two or three cycles of neoadjuvant therapy. Propensity score matching (PSM) and inverse probability weighting (IPW) analyses were utilized to adjust for covariates, thereby balancing seven clinically relevant variables, including demographic factors, and tumor characteristics, to ensure baseline comparability. Following the application of PSM and IPW, comparisons were conducted between the two-cycle and three-cycle groups in terms of pathological response indicators [pathological complete response (pCR) and major pathological remission (MPR)], perioperative safety metrics, and survival outcomes [overall survival (OS) and disease-free survival (DFS)]. Results: pCR rates were comparable between the three-cycle and two-cycle groups both before adjustment (40.2% vs 42.0%; OR=0.93, P=0.777) and after PSM (48.1% vs 42.0%; OR=1.28, P=0.430) or IPW (42.0% vs 43.7%; OR=0.93, P=0.801). Similarly, MPR rates showed no significant differences (pre-adjustment: 63.8% vs 70.4%, P=0.283; PSM: 66.7% vs 70.4%, P=0.612; IPW: 64.6% vs 69.5%, P=0.440). Perioperative safety profiles were comparable. After median follow-ups of 25.3 (three-cycle) and 31.3 (two-cycle) months, three-year DFS (84.6% vs 88.2%; HR=1.04, P=0.921) and OS (88.6% vs 88.2%; HR=0.94, P=0.892) were not significantly different. Achieving MPR or pCR was independently associated with significantly improved DFS (MPR: HR=0.25, P<0.001; pCR: HR=0.25, P=0.005) and OS (MPR: HR=0.30, P=0.002; pCR: HR=0.28, P=0.018) compared to non-responders. Conclusion: Our analysis demonstrated comparable pathological responses (pCR/MPR) between 2-cycle and 3-cycle neoadjuvant immunochemotherapy.
Keywords: Immunotherapy, Neoadjuvant immunochemotherapy (NICT), NSCLC, Cycle, Duration (time), Neoadjuvant Therapy
Received: 27 Jun 2025; Accepted: 29 Oct 2025.
Copyright: © 2025 Xiu, Yao, Sun, Xu, Wang, Duan and Yan. This is an open-access article distributed under the terms of the Creative Commons Attribution License (CC BY). The use, distribution or reproduction in other forums is permitted, provided the original author(s) or licensor are credited and that the original publication in this journal is cited, in accordance with accepted academic practice. No use, distribution or reproduction is permitted which does not comply with these terms.
* Correspondence: 
Hongtao  Duan, 646014852@qq.com
Xiaolong  Yan, yanxiaolong@fmmu.edu.cn
Disclaimer: All claims expressed in this article are solely those of the authors and do not necessarily represent those of their affiliated organizations, or those of the publisher, the editors and the reviewers. Any product that may be evaluated in this article or claim that may be made by its manufacturer is not guaranteed or endorsed by the publisher.
