ORIGINAL RESEARCH article
Front. Immunol.
Sec. Immunological Tolerance and Regulation
Immunophenotyping of Septic Shock Patients with Endotheliopathy: Focus on Monocyte Subtypes and Immune regulatory molecules
Provisionally accepted- 1University of Copenhagen, Copenhagen, Denmark
- 2Department of Anesthesia and Intensive Care, Copenhagen University Hospital - North Zealand, Hilleroed, Denmark
- 3Capital Region Blood Bank, Sect. for Transfusion Medicine, Department of Clinical Immunology, Copenhagen University Hospital - Rigshospitalet, Copenhagen, Denmark
- 4Department of Anesthesia, Surgery and Trauma Center, Copenhagen University Hospital, Copenhagen, Denmark
Select one of your emails
You have multiple emails registered with Frontiers:
Notify me on publication
Please enter your email address:
If you already have an account, please login
You don't have a Frontiers account ? You can register here
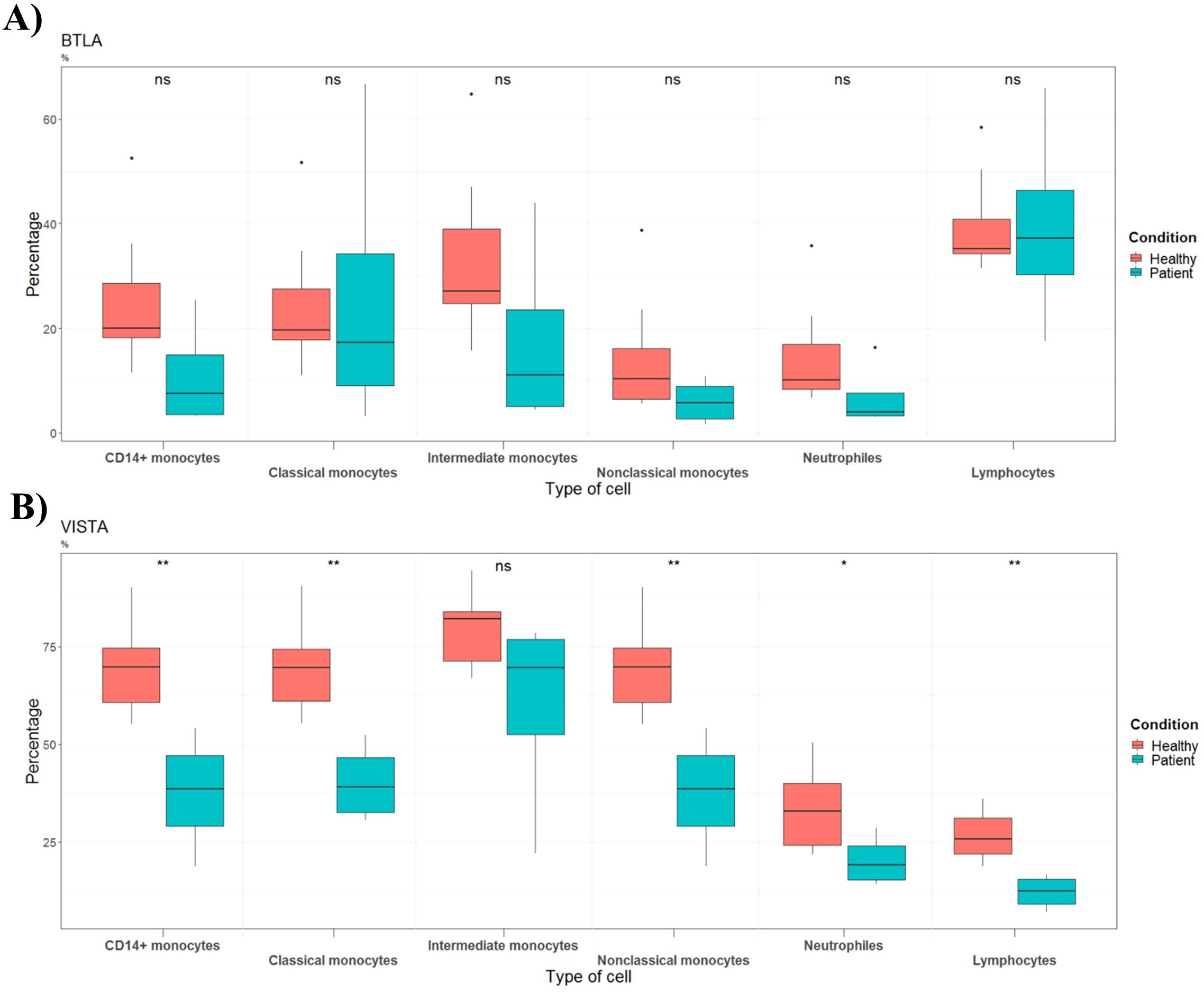
Septic shock is characterized by dysregulation of the host response to infection which results in life-threatening organ dysfunction that can be partly attributed to immune alterations and endothelial dysfunction (endotheliopathy). This lethal condition is dynamic, complex, and heterogeneous. Thus, an exploratory broad phenotypic and functional analysis of circulating immune cells and mediators were carried out to better understand the role of the immune system in a subgroup of septic shock patients with endotheliopathy defined by increased levels of soluble thrombomodulin (sTM). In this regard, especially the immune status of monocyte subtypes (classical, intermediate, and nonclassical) was investigated for surface thrombomodulin (TM), MHC class II molecules (HLA-DR, -DQ, and - DP) and immunomodulatory surface receptors (TREM-1, CD137, VISTA, HVEM and BTLA). Our comprehensive immunophenotypic analysis on a septic shock cohort with endotheliopathy identified distinct immune perturbation patterns that potentially can lead to novel treatment avenues in the management of this life-threatening condition.
Keywords: septic shock, Monocytes, immune checkpoint molecules, Immunophenotyping, Endothelium, Cytokine storm, Flow Cytometry, immune dysfunction
Received: 30 Jun 2025; Accepted: 20 Nov 2025.
Copyright: © 2025 Al-Haidar, Schønemann-Lund, Gybel-Brask, Stensballe, Andresen, Johansson, Bestle and Skov. This is an open-access article distributed under the terms of the Creative Commons Attribution License (CC BY). The use, distribution or reproduction in other forums is permitted, provided the original author(s) or licensor are credited and that the original publication in this journal is cited, in accordance with accepted academic practice. No use, distribution or reproduction is permitted which does not comply with these terms.
* Correspondence: Soren Skov, sosk@sund.ku.dk
Disclaimer: All claims expressed in this article are solely those of the authors and do not necessarily represent those of their affiliated organizations, or those of the publisher, the editors and the reviewers. Any product that may be evaluated in this article or claim that may be made by its manufacturer is not guaranteed or endorsed by the publisher.
