ORIGINAL RESEARCH article
Front. Immunol.
Sec. Autoimmune and Autoinflammatory Disorders: Autoinflammatory Disorders
Exploring the Role of NOD2 Variants in Pediatric Undifferentiated Recurrent Fever: A Clinical and Functional Perspective
Provisionally accepted- 1Department of Pediatric Rheumatology, Ege Universitesi Tip Fakultesi, Izmir, Türkiye
 - 2Department of Medical Biology, Ege Universitesi Tip Fakultesi, Izmir, Türkiye
 - 3Department of Pediatric Immunology, Ege Universitesi Tip Fakultesi, Izmir, Türkiye
 - 4Department of Pediatric Rheumatology and Department of Pediatric Immunology, Ege Universitesi Tip Fakultesi, Izmir, Türkiye
 - 5Department of Pediatric Rheumatology and Molecular Genetics Laboratory, Ege Universitesi Tip Fakultesi, Izmir, Türkiye
 
Select one of your emails
You have multiple emails registered with Frontiers:
Notify me on publication
Please enter your email address:
If you already have an account, please login
You don't have a Frontiers account ? You can register here
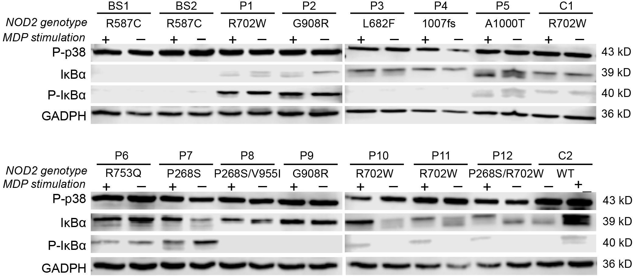
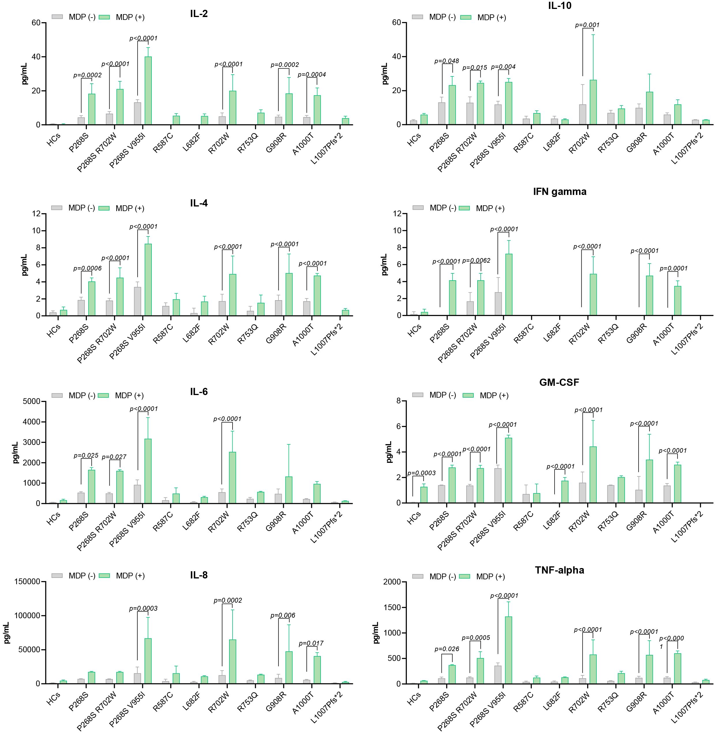
Syndrome of Undifferentiated Recurrent Fever (SURF) is an autoinflammatory disorder with onset in childhood, marked by recurrent episodes of fever without an established molecular diagnosis. Although NOD2 gene variants that are generally considered non-pathogenic are often identified in these patients, their contribution to disease development is still not well understood. This study aimed to assess the clinical characteristics, long-term progression, and functional implications of NOD2 variants in a group of twelve children diagnosed with SURF, along with two Blau syndrome cases and two healthy controls. Clinical information was gathered at presentation and during follow-up. Peripheral blood mononuclear cells were examined for cytokine secretion and NF-κB pathway activation, both at baseline and following muramyl dipeptide stimulation, using multiplex cytokine analysis, Western blot, and ELISA. The median follow-up period was 3.75 years, with most children developing symptoms before 10 years of age. Abdominal pain and limb pain were the most frequent complaints. All patients were treated with colchicine, and selected cases required corticosteroids or disease-modifying antirheumatic drugs. Elevated levels of proinflammatory cytokines, including IL-2, TNF-α, IL-6, and IL-8, were observed in SURF patients. Our functional studies suggested that variants like R702W, G908R, P268S/V955I, and R702W/P268S might have triggered stronger inflammatory responses, whereas L682F, L1007fs, and R587C might have been linked to diminished cytokine production and lower NF-κB activity. Certain variants, such as A1000T and P268S, appeared to show baseline NF-κB activation with moderate inflammatory activity. These results emphasize the clinical and functional diversity of NOD2 variants in SURF and may point to a possible genotype–phenotype relationship that could aid in understanding disease pathways and refining diagnostic approaches.
Keywords: Nod2, autoinfammatory disease, Recurrent fever, pediatric, Mutation, Undifferentiated fever, Autoinflammation, Cytokines
Received: 01 Jul 2025; Accepted: 03 Nov 2025.
Copyright: © 2025 TASKIN, Kamiloğlu, Bara, Akyol, Aydin, Aytac, Karaca, Aksu, Berdeli, Bozok and Kütükçüler. This is an open-access article distributed under the terms of the Creative Commons Attribution License (CC BY). The use, distribution or reproduction in other forums is permitted, provided the original author(s) or licensor are credited and that the original publication in this journal is cited, in accordance with accepted academic practice. No use, distribution or reproduction is permitted which does not comply with these terms.
* Correspondence: RAZIYE BURCU  TASKIN, rzyburcuguven@hotmail.com
Disclaimer: All claims expressed in this article are solely those of the authors and do not necessarily represent those of their affiliated organizations, or those of the publisher, the editors and the reviewers. Any product that may be evaluated in this article or claim that may be made by its manufacturer is not guaranteed or endorsed by the publisher.
