ORIGINAL RESEARCH article
Front. Immunol.
Sec. Cancer Immunity and Immunotherapy
This article is part of the Research TopicCancer Immunity, Modern Radiotherapy and Immunotherapy: A Journey into Cancer Treatment InnovationView all 10 articles
Efficacy and Safety of Postoperative Radiotherapy in Locally Advanced Esophageal Squamous Cell Carcinoma Patients with Pathologic Incomplete Response After Neoadjuvant Immunochemotherapy: A Retrospective Cohort Study
Provisionally accepted- 1Shandong Provincial Qianfoshan Hospital Department of Radiology, Jinan, China
- 2Jining Medical University, Jining, China
- 3Shandong First Medical University Cancer Hospital, Jinan, China
Select one of your emails
You have multiple emails registered with Frontiers:
Notify me on publication
Please enter your email address:
If you already have an account, please login
You don't have a Frontiers account ? You can register here
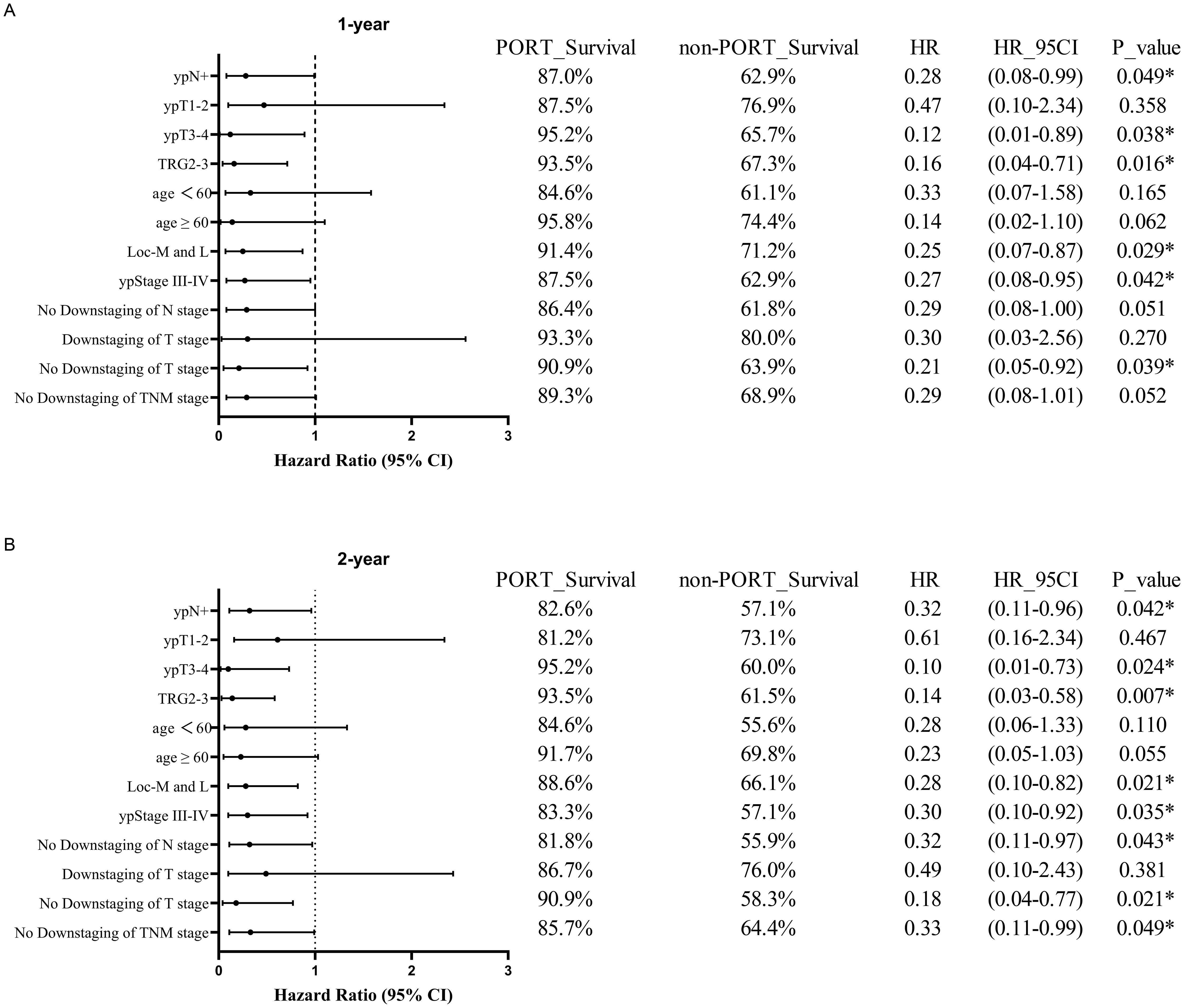
Background: Neoadjuvant immunotherapy combined with chemotherapy (NICT) has demonstrated a good pathological complete response (pCR) rate and prognosis in locally advanced esophageal squamous cell carcinoma (LA-ESCC). However, the value and safety of postoperative radiotherapy (PORT) in the group that does not achieve pCR remain unclear. Methods: This retrospective study included LA-ESCC patients with non-pCR after NICT. Propensity score matching (PSM) was used to balance baseline characteristics between the PORT and non-PORT groups. The outcomes assessed were disease-free survival (DFS), recurrence patterns, and treatment-related toxicity. Results: In the cohort of 204 enrolled patients, 50 underwent PORT, while the remaining 154 did not, with a median follow-up of 27.0 months. 32 (20.8%) of the non-PORT patients experienced recurrence events, including locoregional recurrence (10/32, 31.3%), distant metastasis (10/32, 31.3%), and mixed patterns (12/32, 37.5%), and 71.9% cases underwent disease progression within 12 months. With regard to patterns of locoregional recurrence, mediastinal lymph node metastasis represents the most prevalent failure pattern. In terms of distant metastasis, supraclavicular lymph node metastasis is the most commonly observed mode. By PSM analysis, DFS was improved for the patients receiving PORT (HR, 0.40; 95% CI, 0.17-0.93; P = 0.025). Subgroup analyses revealed a significant increase in both 1-and 2-year DFS rates in patients with ypN+, ypT3-4, yp Stage III-IVA, tumor regression grade (TRG) 2-3, non-downstaging of T stage or middle/lower thoracic esophageal tumors. In patients with non-downstaging of N or TNM status, there is a notable enhancement in the 2-year DFS rate. Treatment-related adverse events (TRAEs) were predominantly grade 1-2 in the PORT group, with radiation esophagitis and myelosuppression being the most frequently observed. Conclusion: Mediastinal and supraclavicular lymph node metastasis remains the primary cause of treatment failure in LA-ESCC patients with non-pCR after NICT and without PORT. PORT significantly improves DFS in patients with high-risk clinicopathological features or poor response to NICT, and demonstrates a favorable safety profile, indicating an effective adjuvant treatment strategy for improving prognosis.
Keywords: esophageal squamous cell carcinoma, Recurrence, neoadjuvant immunotherapy, Postoperative radiotherapy, Treatment-related adverse events
Received: 05 Jul 2025; Accepted: 31 Oct 2025.
Copyright: © 2025 Mu, Ding, Qiao, Wu, Bao, Hu, Zhang, Liang, Deng, Zhang, Zhang, Zhang, Liu, Xie, An and Hao. This is an open-access article distributed under the terms of the Creative Commons Attribution License (CC BY). The use, distribution or reproduction in other forums is permitted, provided the original author(s) or licensor are credited and that the original publication in this journal is cited, in accordance with accepted academic practice. No use, distribution or reproduction is permitted which does not comply with these terms.
* Correspondence:
Yiming Mu, 15668047571@163.com
Yingying Zhang, zyyebcn@163.com
Disclaimer: All claims expressed in this article are solely those of the authors and do not necessarily represent those of their affiliated organizations, or those of the publisher, the editors and the reviewers. Any product that may be evaluated in this article or claim that may be made by its manufacturer is not guaranteed or endorsed by the publisher.
