ORIGINAL RESEARCH article
Front. Immunol.
Sec. Inflammation
This article is part of the Research TopicInflammation, Immunity, and Cancer: New Pathways Towards Therapeutic InnovationView all 15 articles
Unraveling the anti-inflammatory effects of Mediterranean Diet in patients with cancer remission
Provisionally accepted- 1Department of Translational Medical Sciences, School of Medicine and Surgery, University of Naples Federico II, Naples, Italy
- 2Azienda Sanitaria Locale Napoli 3 Sud, Naples, Italy
- 3Universiteit Maastricht Cognitive Neuropsychiatry and Clinical Neuroscience Division, Maastricht, Netherlands
- 4Institute of Endotypes in Oncology, Metabolism and Immunology “G. Salvatore” – National Research Council (IEOMI-CNR), Naples, Italy, Naples, Italy
Select one of your emails
You have multiple emails registered with Frontiers:
Notify me on publication
Please enter your email address:
If you already have an account, please login
You don't have a Frontiers account ? You can register here
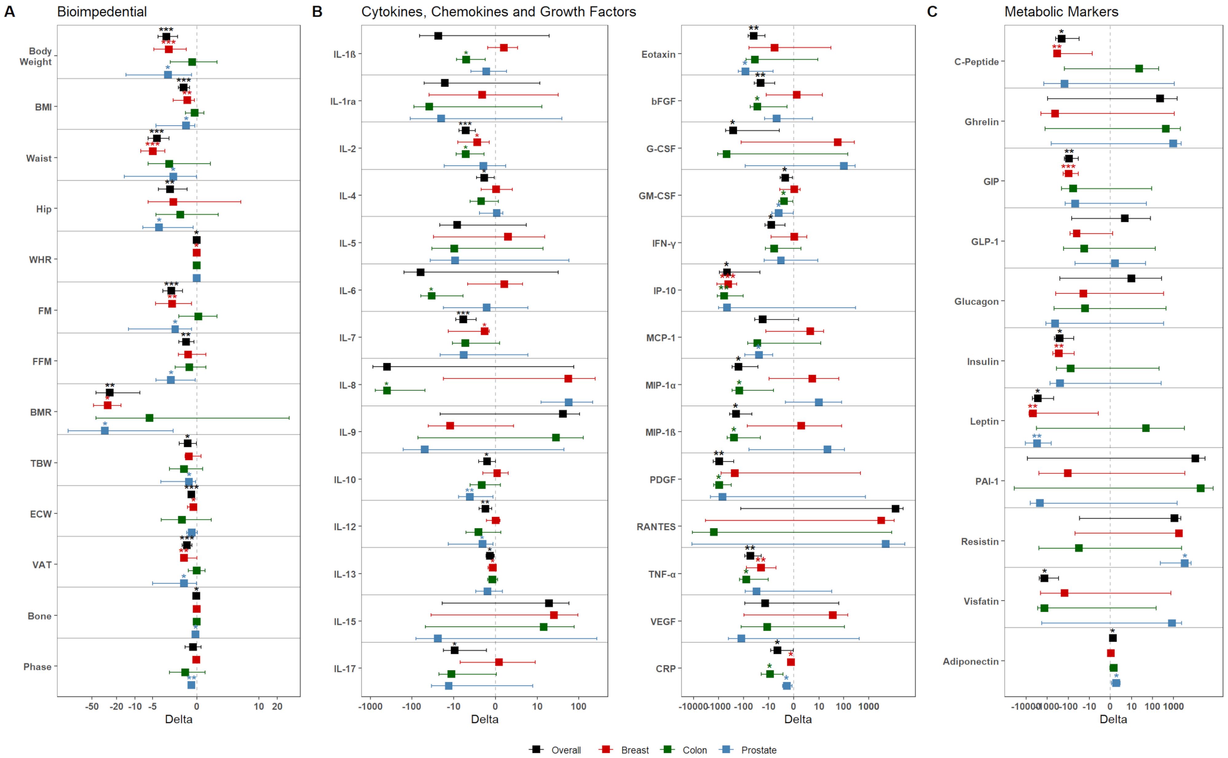
Introduction: Cancer survivors display impaired quality of life and increased risk to develop cardiometabolic comorbidities. Low-grade chronic inflammation (LGCI) plays a crucial role in cancer progression and in cardiometabolic diseases. Although the Mediterranean Diet is widely recognized for its beneficial effects on body composition and systemic inflammation, direct evidence of its impact on cancer survivors remains limited. This study aimed to explore the associations between inflammatory biomarkers, metabolic status, and Mediterranean diet adherence, evaluating the effectiveness of a personalized dietary intervention. Methods: A total of 132 patients with cancer remission were enrolled; anamnestic, anthropometric, bioimpedential, clinical, and nutritional data were collected. Serum concentrations of cytokines, chemokines, growth factors, and metabolic markers were measured at baseline and at a six-month follow-up. Results: Baseline analysis revealed distinct clusters linking inflammatory status, clinical variables, and metabolic profiles, confirming associations between systemic inflammation and body composition features, without clear separation among cancer types. After dietary intervention, a significant reduction in specific inflammatory and metabolic biomarkers was observed, with distinct effects depending on tumor type. For instance, Leptin and Insulin levels decreased, particularly in Breast cancer patients, whereas Colorectal cancer patients exhibited a reduction in pro-inflammatory cytokines such as IL-1β, IL-6, IL-8, and TNF-α, even in the absence of weight loss and bioimpedential feature changes. Retrospective analysis further highlighted that nutritionally modified molecules were associated with metabolic and inflammatory risk factors at baseline. Discussion: Despite the lack of a control group and the high attrition rate may represent limitations for this observational pilot study, we have provided evidence that nutritional intervention could be a promising complementary strategy in oncological management by modulating key inflammatory and metabolic pathways involved in tumor pathophysiology and comorbidities.
Keywords: LGCI, Cytokines, mediterranean diet, Cancer, lifestyle
Received: 15 Jul 2025; Accepted: 13 Nov 2025.
Copyright: © 2025 Di Tolla, Libutti, D'Onofrio, Riccio, Cabaro, Longo, Parascandolo, Ferraro, Formisano, D'Esposito and Formisano. This is an open-access article distributed under the terms of the Creative Commons Attribution License (CC BY). The use, distribution or reproduction in other forums is permitted, provided the original author(s) or licensor are credited and that the original publication in this journal is cited, in accordance with accepted academic practice. No use, distribution or reproduction is permitted which does not comply with these terms.
* Correspondence:
Vittoria D'Esposito, vittoria.desposito@unina.it
Pietro Formisano, fpietro@unina.it
Disclaimer: All claims expressed in this article are solely those of the authors and do not necessarily represent those of their affiliated organizations, or those of the publisher, the editors and the reviewers. Any product that may be evaluated in this article or claim that may be made by its manufacturer is not guaranteed or endorsed by the publisher.
