ORIGINAL RESEARCH article
Front. Immunol.
Sec. Cancer Immunity and Immunotherapy
Prognostic Value of the MDACC–NLR Score in Extensive-Stage Small-Cell Lung Cancer Treated with First-Line Chemoimmunotherapy
Provisionally accepted- 1The Fourth Hospital of Hebei Medical University, Shijiazhuang, China
- 2Cangzhou Central Hospital, Cangzhou, China
- 3Fourth Hospital of Hebei Medical University, Shijiazhuang, China
Select one of your emails
You have multiple emails registered with Frontiers:
Notify me on publication
Please enter your email address:
If you already have an account, please login
You don't have a Frontiers account ? You can register here
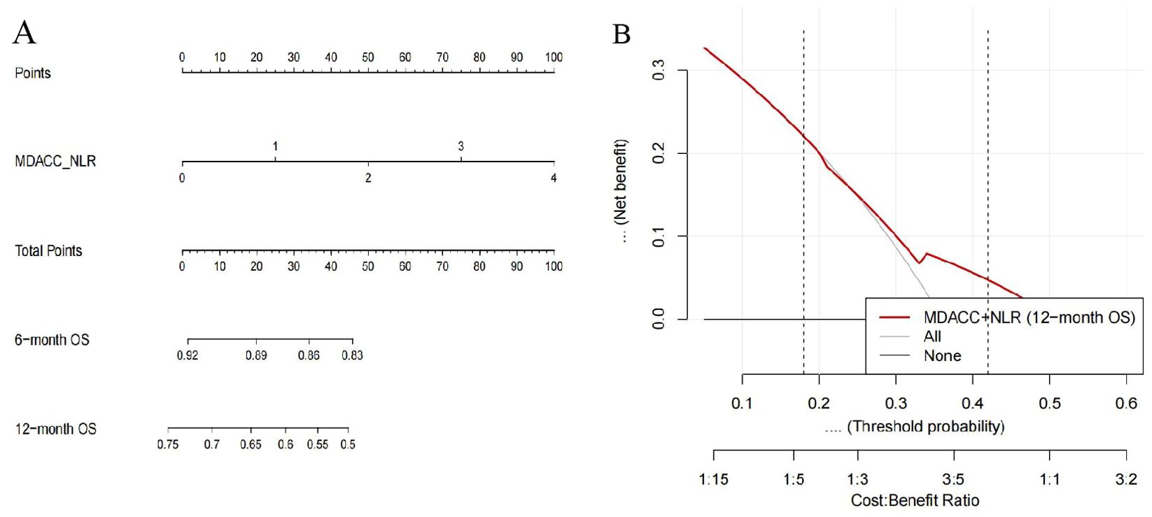
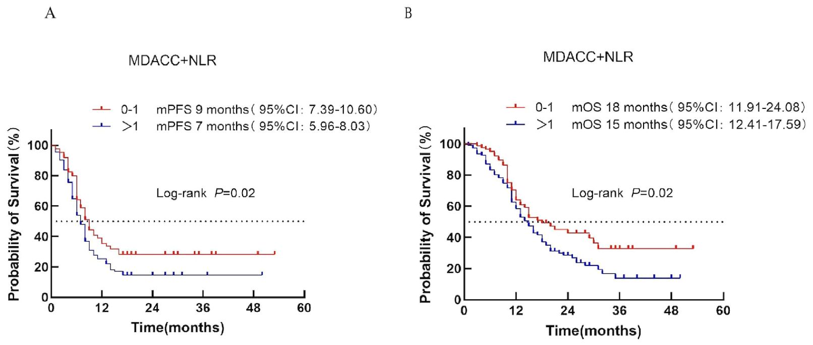
Objective: To evaluate the prognostic performance of six scoring systems in predicting outcomes of first-line chemo-immunotherapy in patients with extensive-stage small cell lung cancer (ES-SCLC), aiming to guide individualized treatment. Methods: This single-center retrospective study included 197 ES-SCLC patients treated with first-line chemo-immunotherapy. Clinical and laboratory data were collected, including baseline characteristics, treatment responses, and survival outcomes. The prognostic impact of six scoring systems (RHM, MDACC, MDACC+NLR, MDA-ICI, LIPI, GRIm) was assessed using univariate and multivariate Cox regression analyses for progression-free survival (PFS) and overall survival (OS). Kaplan–Meier analysis was conducted for risk stratification. Results: By the last follow-up (October 15, 2024), the median follow-up was 12 months, with 113 deaths (57.3%). The objective response rate was 75.6%. ECOG ≥1, lung metastasis, and liver metastasis were independent predictors of poorer PFS and OS. Among the scoring systems, only MDACC+NLR effectively stratified patients: low-risk patients had significantly longer PFS and OS (both p = 0.02). MDACC alone did not distinguish PFS among risk groups (p = 0.17) but showed significant OS differences (p = 0.02). Other systems (RHM, MDA-ICI, LIPI, GRIm) lacked significant discriminatory ability for both PFS and OS (all p > 0.05). Conclusion: ECOG ≥1, lung metastasis, and liver metastasis are adverse prognostic factors for ES-SCLC patients receiving first-line chemo-immunotherapy. The MDACC+NLR scoring system provides superior predictive value for treatment outcomes and survival, supporting its potential utility for clinical risk stratification.
Keywords: extensive-stage small cell lung cancer (ES-SCLC), chemoimmunotherapy, prognostic scoring model, MDACC-NLR, Survival Prediction
Received: 07 Aug 2025; Accepted: 23 Oct 2025.
Copyright: © 2025 Li, Li, Liu, Wang, Jin, Liu, Liu, Zhang, Wang, Fan, Feng, Han, Zuo and Wang. This is an open-access article distributed under the terms of the Creative Commons Attribution License (CC BY). The use, distribution or reproduction in other forums is permitted, provided the original author(s) or licensor are credited and that the original publication in this journal is cited, in accordance with accepted academic practice. No use, distribution or reproduction is permitted which does not comply with these terms.
* Correspondence: Yudong Wang, wyd_999@hebmu.edu.cn
Disclaimer: All claims expressed in this article are solely those of the authors and do not necessarily represent those of their affiliated organizations, or those of the publisher, the editors and the reviewers. Any product that may be evaluated in this article or claim that may be made by its manufacturer is not guaranteed or endorsed by the publisher.
