ORIGINAL RESEARCH article
Front. Immunol.
Sec. Cancer Immunity and Immunotherapy
This article is part of the Research TopicCommunity Series in Biomarker Discovery and Therapeutic Innovations in Genito-Urinary Cancer Management Volume IIView all 3 articles
Pre‑treatment Cytokines Plus TPSA Predict Biochemical Progression‑Free Survival in Prostate Cancer Metastasis and Discriminate Metastatic Status: A Retrospective Study
Provisionally accepted- 1The First Affiliated Hospital of Wenzhou Medical University, Wenzhou, China
- 2Wenzhou Medical University, Wenzhou, China
Select one of your emails
You have multiple emails registered with Frontiers:
Notify me on publication
Please enter your email address:
If you already have an account, please login
You don't have a Frontiers account ? You can register here
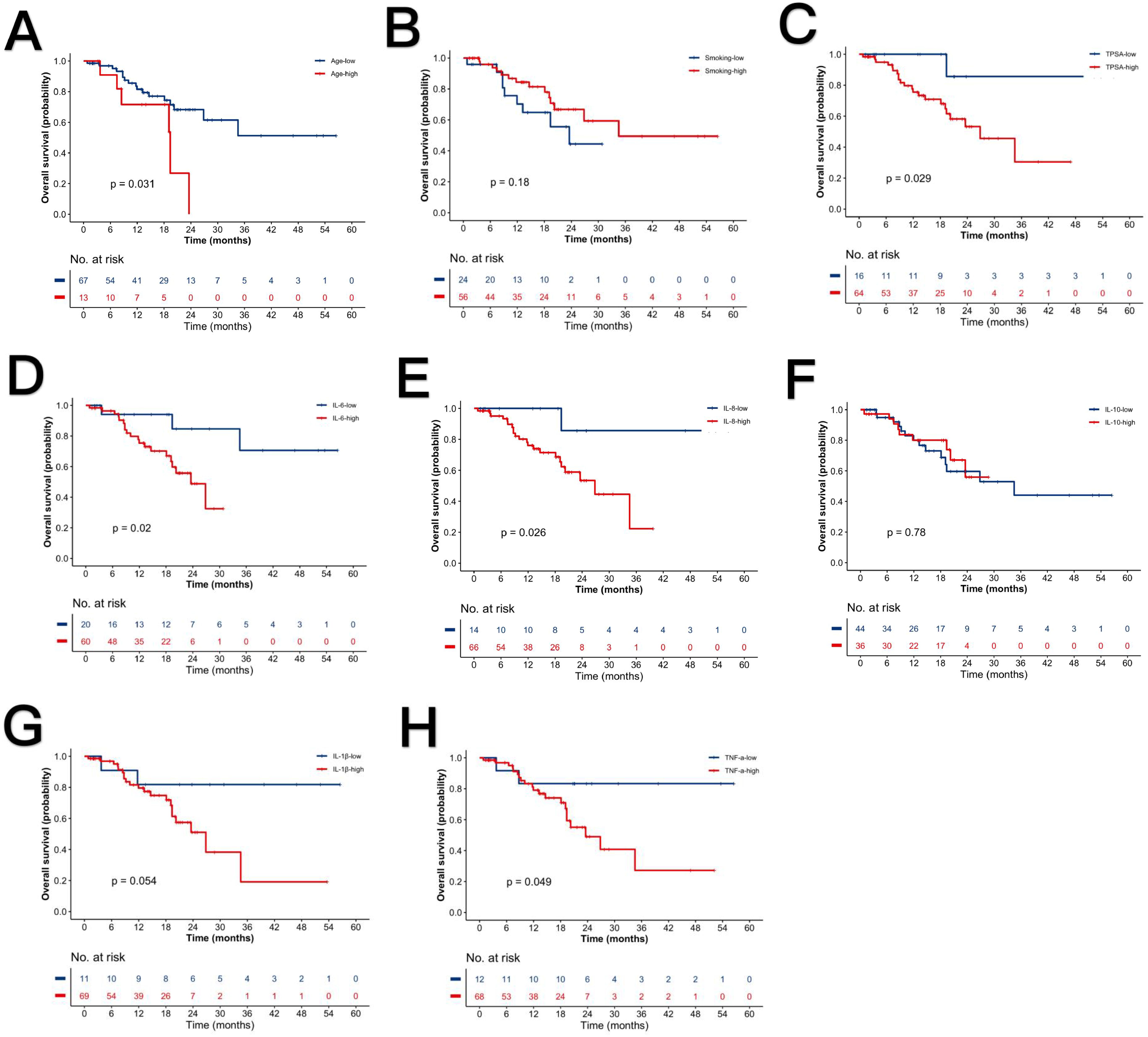
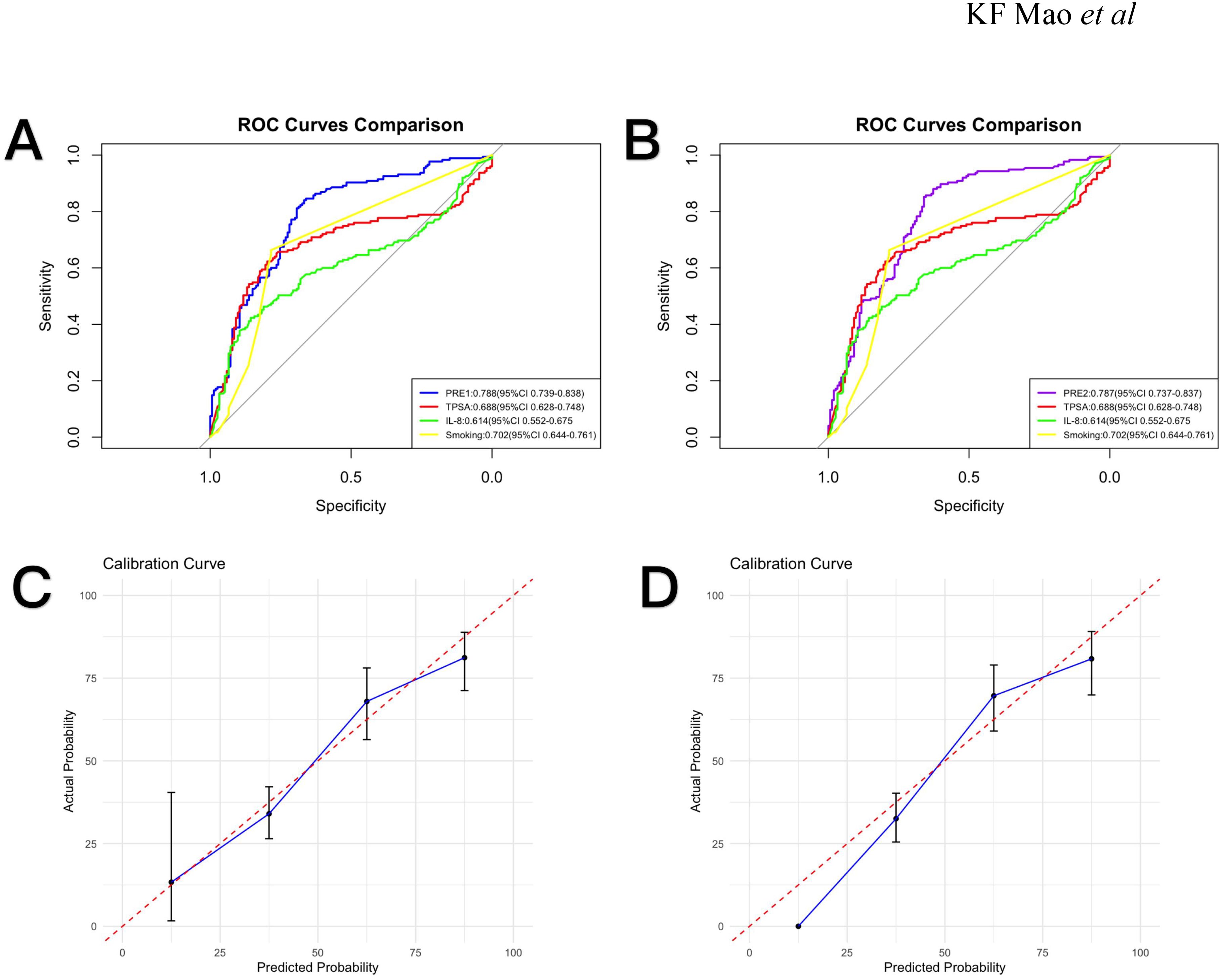
Prostate cancer (PCa) ranks as the second most common malignancy in men worldwide. While serum prostate‑specific antigen (PSA) is routinely monitored, its low specificity frequently leads to overdiagnosis. Cytokines within the tumor microenvironment (TME) demonstrate strong tumor‑progression associations, but their combined predictive utility with PSA for metastasis and chemotherapy response remains undetermined. This study investigates the combined predictive value of PSA and cytokines for PCa metastasis and treatment outcomes. This study aimed to quantify cross‑sectional differences in pre‑treatment cytokine levels based on metastatic status, assess their prognostic value for biochemical progression‑free survival in metastatic patients, and characterize cytokine profiles from baseline to biochemical recurrence.We retrospectively analyzed 328 PCa patients (175 metastatic, 153 non‑metastatic), collecting data on age, smoking history, Gleason score, total PSA (TPSA), and cytokines. Metastasis‑associated factors were identified by Spearman correlation and logistic regression. Predictive models were evaluated using ROC curves/AUC analysis. Prognostic models were evaluated using ROC curves/AUC analysis. Multi index combination was used to find the best prediction efficiency group. Multi index combination was used to find the best prognostic group.Survival analysis employed Kaplan‑Meier methodology, while Cox regression assessed post‑chemotherapy PSA rebound predictors. We find that smoking, TPSA, and IL‑8 emerged as independent metastasis risk factors. Predictive Prognostic indices PRE1 (smoking, TPSA, IL‑8) and PRE2 (all significant factors) achieved AUCs of 0.788 and 0.787 respectively, with PRE1 demonstrating superior calibration. The AUC of TPSA+IL‑6+IL‑8+IL‑10 four factor combination was 0.753, and the prediction efficiency was the best, and this combination yielded high prognostic performance, and the proportion of metastasis group was significantly higher than that of non‑metastasis group. Univariate Cox analysis associated age, TPSA, IL‑6, IL‑8, and TNF‑α with PSA rebound, though multivariate analysis identified no independent predictors. These results underscore the immunological relevance of specific cytokines in PCa progression and their potential as complementary biomarkers to PSA for improving risk stratification.
Keywords: prostate cancer, metastasis, Cytokines, Serum biomarkers, chemotherapy response, predictive prognostic modeling
Received: 15 Aug 2025; Accepted: 14 Nov 2025.
Copyright: © 2025 Mao, Sun, Sun, Sun, Wu, Cai and Zhou. This is an open-access article distributed under the terms of the Creative Commons Attribution License (CC BY). The use, distribution or reproduction in other forums is permitted, provided the original author(s) or licensor are credited and that the original publication in this journal is cited, in accordance with accepted academic practice. No use, distribution or reproduction is permitted which does not comply with these terms.
* Correspondence: Chao-Feng Zhou, zcfnba2008@163.com
Disclaimer: All claims expressed in this article are solely those of the authors and do not necessarily represent those of their affiliated organizations, or those of the publisher, the editors and the reviewers. Any product that may be evaluated in this article or claim that may be made by its manufacturer is not guaranteed or endorsed by the publisher.
