ORIGINAL RESEARCH article
Front. Immunol.
Sec. Vaccines and Molecular Therapeutics
This article is part of the Research TopicInnovative Immunological Strategies for Overcoming Antimicrobial Resistance and Enhancing Vaccine DevelopmentView all 7 articles
Harnessing mRNA technology against Fasciola hepatica: Immunological insights from a Fatty Acid Binding Protein vaccine
Provisionally accepted- 1University of Salamanca, Salamanca, Spain
- 2Infectious and Tropical Diseases Research Group (e-INTRO), University of Salamanca, Salamanca, Spain
- 3Instituto de Investigacion Biomedica de Salamanca, Salamanca, Spain
- 4Centro de Investigación de Enfermedades Tropicales de la Universidad de Salamanca (CIETUS), Salamanca, Spain
- 5Cancer Research Center (IBMCC, USAL-CSIC), Salamanca, Spain
- 6Department of Medicine, Universidad de Salamanca, Salamanca, Spain
- 7Cytometery Service (Nucleus), USAL, Salamanca, Spain
- 8Centro de Investigacion Biomedica en Red de Cancer, Madrid, Spain
- 9Department of Microbiology, Immunology and Cancer Biology, University of Virginia, Charlottesville, United States
- 10Universidad de Salamanca, Salamanca, Spain
- 11Cytognos SL, a BD Biosciences Company, Salamanca, Spain
Select one of your emails
You have multiple emails registered with Frontiers:
Notify me on publication
Please enter your email address:
If you already have an account, please login
You don't have a Frontiers account ? You can register here
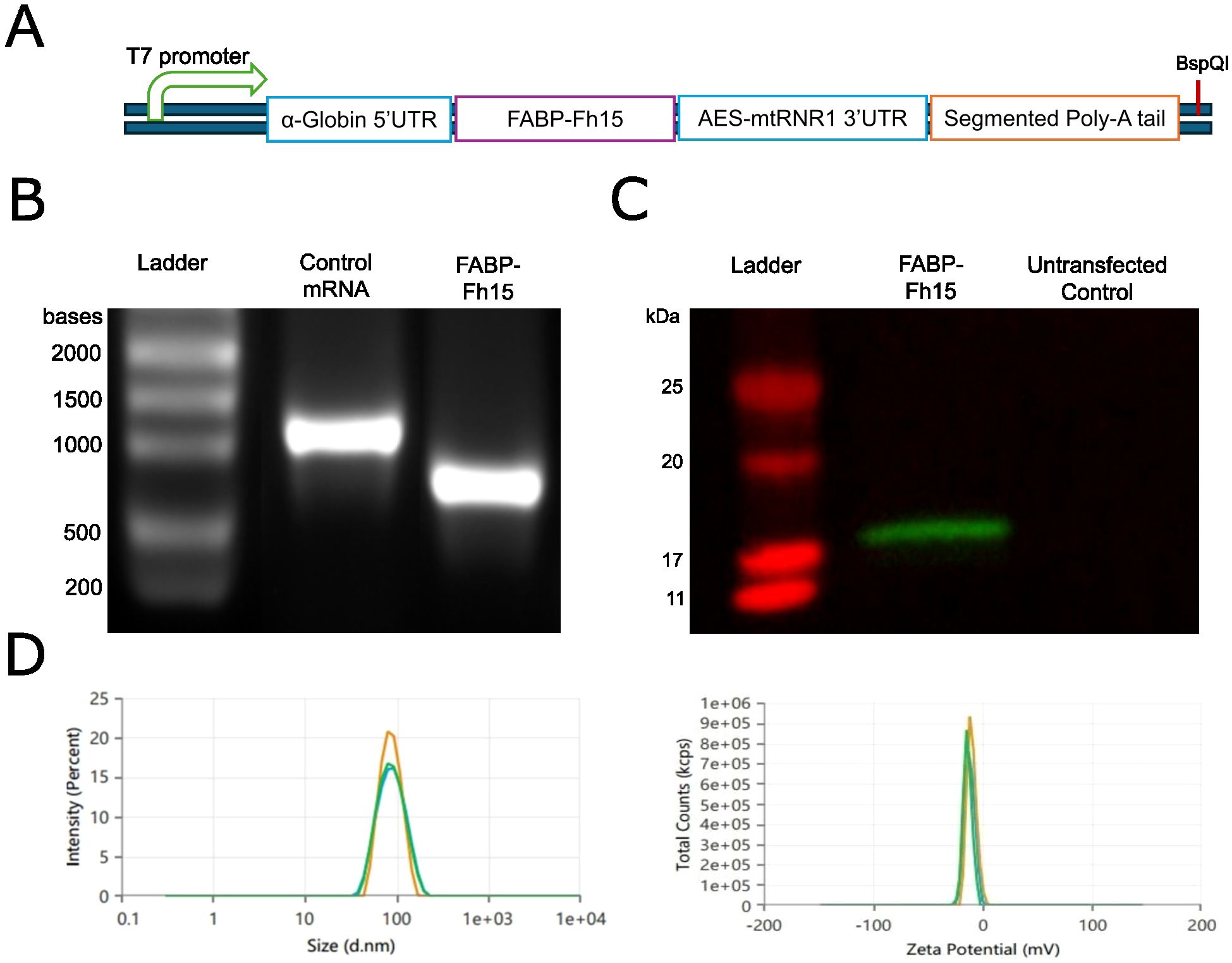
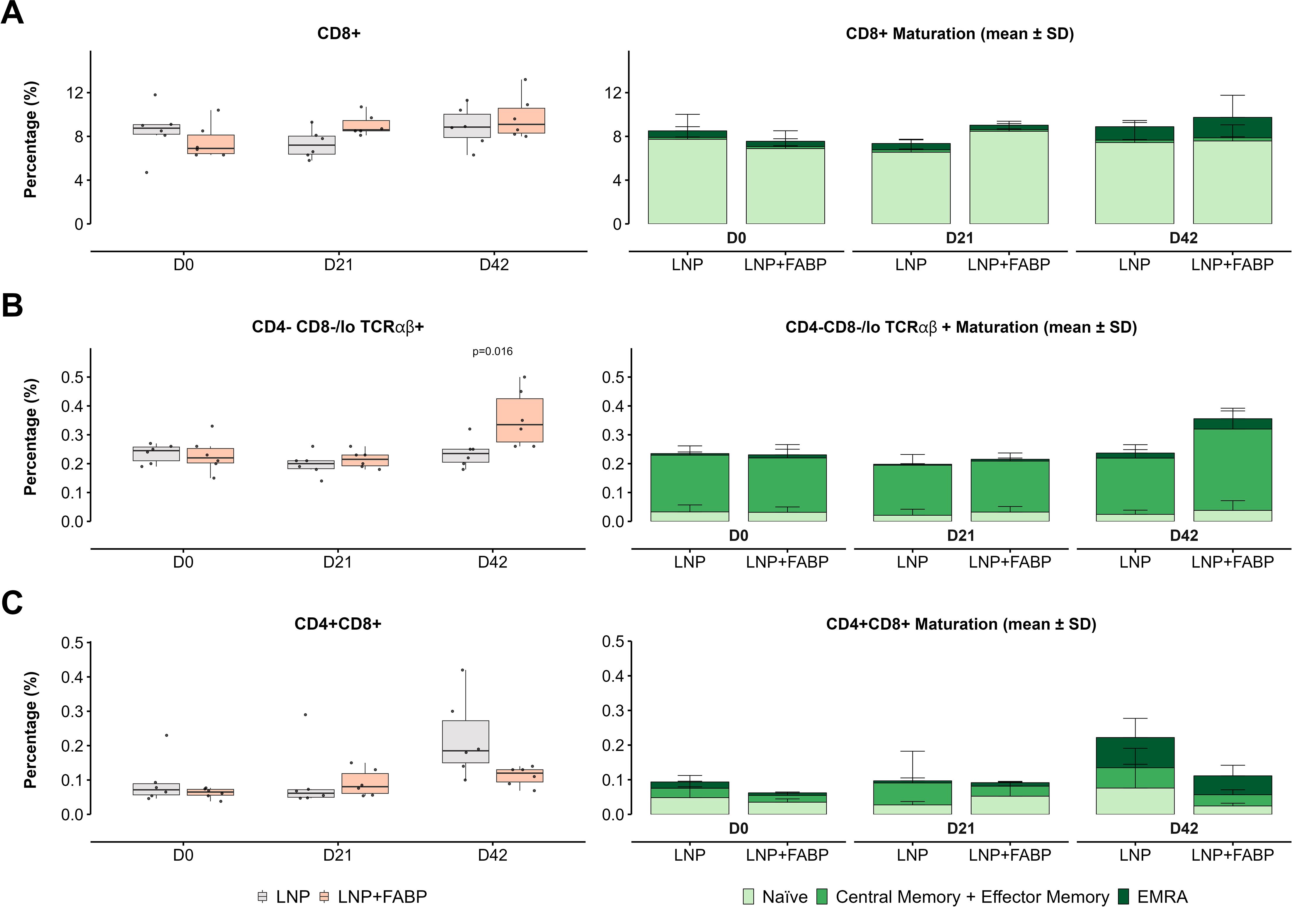
mRNA platforms offer a promising strategy to overcome limitations in helminth vaccinology. We used the helminth Fasciola hepatica, which is a major veterinary and zoonotic pathogen for which no licensed vaccine exists, as a test case. We engineered a codon-optimized mRNA encoding the F. hepatica fatty-acid–binding protein (FABP), verified its expression in HEK293T cells, and formulated it in SM-102 lipid nanoparticles (LNPs). BALB/c mice received a prime-boost immunization (3 weeks apart) followed by longitudinal blood and terminal spleen immune profiling by spectral flow cytometry. Immunization induced rapid innate immune activation with marked neutrophil expansion and monocyte maturation, while reducing circulating mature NK cells, consistent with recruitment to lymphoid tissues. Adaptive responses included increased circulating CD8⁺ T cells dominated by EMRA effectors, expansion of TCRαβ+ double-negative T cells with memory/effector phenotypes, and a reduction in peripherally induced CD25-regulatory T cells. CD4⁺ T-helper cells showed a shift toward memory/effector subsets, and antigen-specific Th1 and Th2 responses in the spleen were detected only in vaccinated mice. B-cell analysis revealed accelerated maturation of B2 cells with expansion of marginal-zone, follicular, and germinal-center compartments, higher frequencies of class-switched (IgM-) plasma cells, and exclusive detection of anti-FABP IgG in the mRNA-LNP group. These results demonstrate that an mRNA-LNP vaccine encoding F. hepatica FABPs elicits innate immune activation, cytotoxic and helper T-cell immunity, and class-switched humoral responses in mice, supporting its potential as a candidate for F. hepatica vaccination in a future challenge experiment against the infection.
Keywords: Fasciola hepatica, parasite, trematode, mRNA vaccine, Cytometry, Fabp
Received: 27 Aug 2025; Accepted: 31 Oct 2025.
Copyright: © 2025 Sánchez-Montejo, Teodosio, Strilets, Lopez-Aban, Manzano Román, Pozo, Martín, Silos, Trujillo, García-Blanco, Santiago and Muro. This is an open-access article distributed under the terms of the Creative Commons Attribution License (CC BY). The use, distribution or reproduction in other forums is permitted, provided the original author(s) or licensor are credited and that the original publication in this journal is cited, in accordance with accepted academic practice. No use, distribution or reproduction is permitted which does not comply with these terms.
* Correspondence:
Belén Vicente Santiago, belvi25@usal.es
Antonio Muro, ama@usal.es
Disclaimer: All claims expressed in this article are solely those of the authors and do not necessarily represent those of their affiliated organizations, or those of the publisher, the editors and the reviewers. Any product that may be evaluated in this article or claim that may be made by its manufacturer is not guaranteed or endorsed by the publisher.
