ORIGINAL RESEARCH article
Front. Immunol.
Sec. Cancer Immunity and Immunotherapy
Minimally expanded breast cancer tumor-infiltrating-lymphocytes provide guidance for therapeutic selection
Provisionally accepted- 1Immunology Unit, Department of Cell Biology, Physiology, and Immunology, Institut de Biotecnologia i Biomedicina (IBB), Universitat Autonoma de Barcelona, Barcelona, Spain
- 2Pathology, Hospital Quironsalud Barcelona, Barcelona, Spain
- 3Pathology Department, Hospital Universitari Vall d'Hebron, Barcelona, Spain
- 4Deparment of Morphological Sciences, Universitat Autonoma de Barcelona, Barcelona, Spain
- 5International Breast Cancer Center, Barcelona, Spain
- 6Medica Scientia Innovation Research SL, Barcelona, Spain
- 7Department of Medicine, Faculty of Biomedical and Health Sciences, Universidad Europea de Madrid SLU, Madrid, Spain
- 8IOB Madrid Institute of Oncology, Hospital Beata Maria Ana de Jesus, Madrid, Spain
- 9Biosensing and Bioanalysis Group, Institut de Biotecnologia i Biomedicina, Universitat Autonoma de Barcelona Departament de Quimica, Bellaterra, Spain
Select one of your emails
You have multiple emails registered with Frontiers:
Notify me on publication
Please enter your email address:
If you already have an account, please login
You don't have a Frontiers account ? You can register here
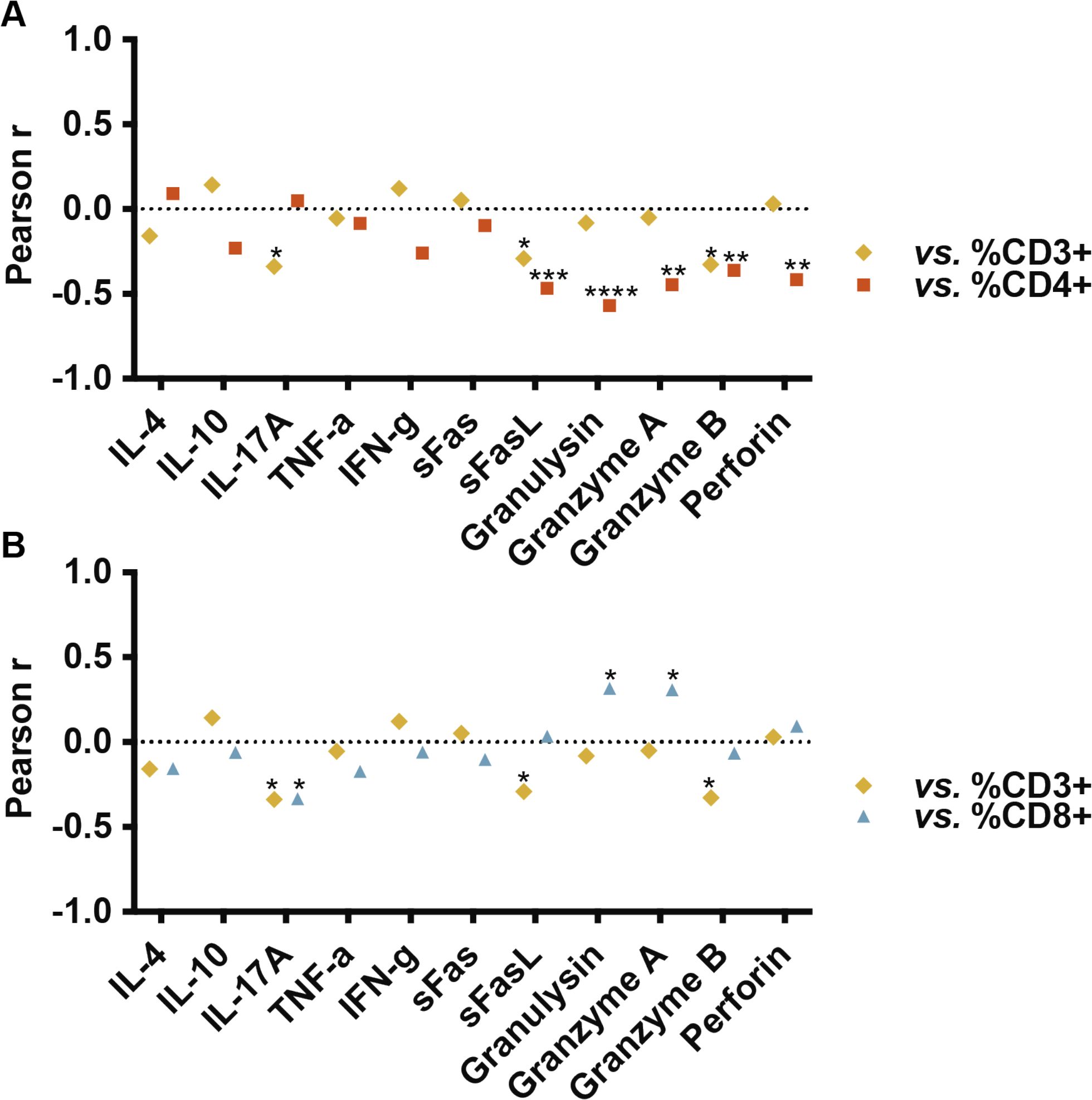
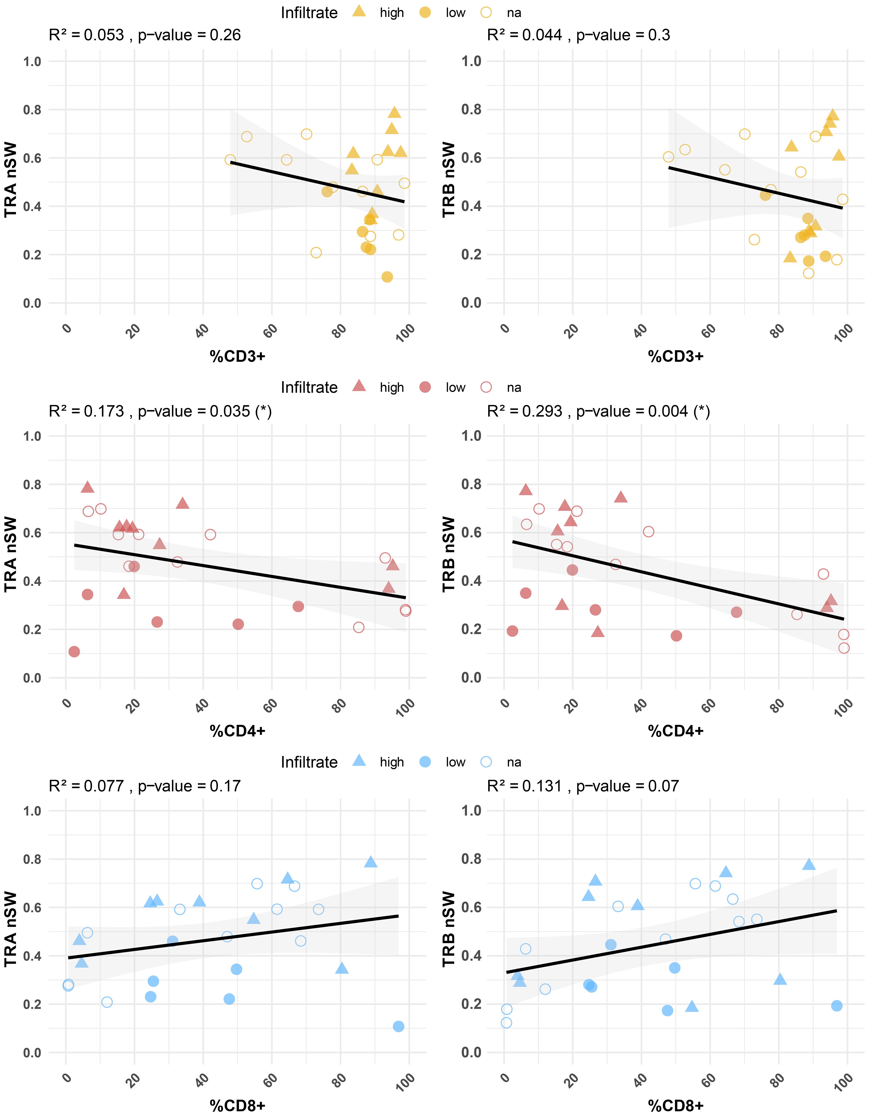
The analysis of tumor-infiltrating lymphocytes (TILs) often requires techniques that expand their numbers, potentially introducing bias. To address this, we conducted a detailed analysis of minimally cultured TILs using a culture method based solely on tumor tissue with IL-2 supplementation. This minimizes artificial alterations as validated by the correlation between CD3+ T cell percentages in cultures and infiltration patterns observed by immunohistochemistry (IHC). Our results showed that high TIL infiltration areas did not consistently correspond to a higher presence of any T cell subset; both CD4+ and CD8+ T cells can coexist in these regions. In contrast, low TIL infiltration sections frequently displayed more CD4+ T cells. Additionally, we observed an inverse correlation between CD4+ T cell percentages and cytotoxic molecules, indicating that low-TILs sections with higher CD4+ frequencies were associated with lower cytotoxic activity. The TCR repertoire analysis revealed differences between T cell subsets: CD4+ T cells were associated with longer TRA CDR3 nt and shorter TRB N(D)N nt lengths and had a less diverse repertoire, while CD8+ T cells did not exhibit correlation with any TCR feature. Our study provides insights into CD4+ and CD8+ TIL populations within the tumor microenvironment, which may be significant for the development of new immunotherapeutic strategies.
Keywords: breast cancer, TIL, Tumor-infiltrating lymphocytes, Immunotherapy, TCR repertoire
Received: 04 Sep 2025; Accepted: 27 Oct 2025.
Copyright: © 2025 Aran, Lázaro, Marco Molina, Peg, Faus, Garrigós, Pérez-García, Cortés and Martí. This is an open-access article distributed under the terms of the Creative Commons Attribution License (CC BY). The use, distribution or reproduction in other forums is permitted, provided the original author(s) or licensor are credited and that the original publication in this journal is cited, in accordance with accepted academic practice. No use, distribution or reproduction is permitted which does not comply with these terms.
* Correspondence:
Andrea Aran, aran@recerca.clinic.cat
Mercè Martí, merce.marti@uab.cat
Disclaimer: All claims expressed in this article are solely those of the authors and do not necessarily represent those of their affiliated organizations, or those of the publisher, the editors and the reviewers. Any product that may be evaluated in this article or claim that may be made by its manufacturer is not guaranteed or endorsed by the publisher.
