ORIGINAL RESEARCH article
Front. Immunol.
Sec. Inflammation
This article is part of the Research TopicLipids in ImmunometabolismView all 6 articles
Associations between composite systemic inflammation indicators(CAR, CLR, SII, AISI, SIRI, and CALLY) and metabolic dysfunction-associated fatty liver disease (MAFLD): evidence from a two-stage study in China
Provisionally accepted- Physical Examination Center, the Affiliated Suzhou Hospital of Nanjing Medical University, Suzhou, China
Select one of your emails
You have multiple emails registered with Frontiers:
Notify me on publication
Please enter your email address:
If you already have an account, please login
You don't have a Frontiers account ? You can register here
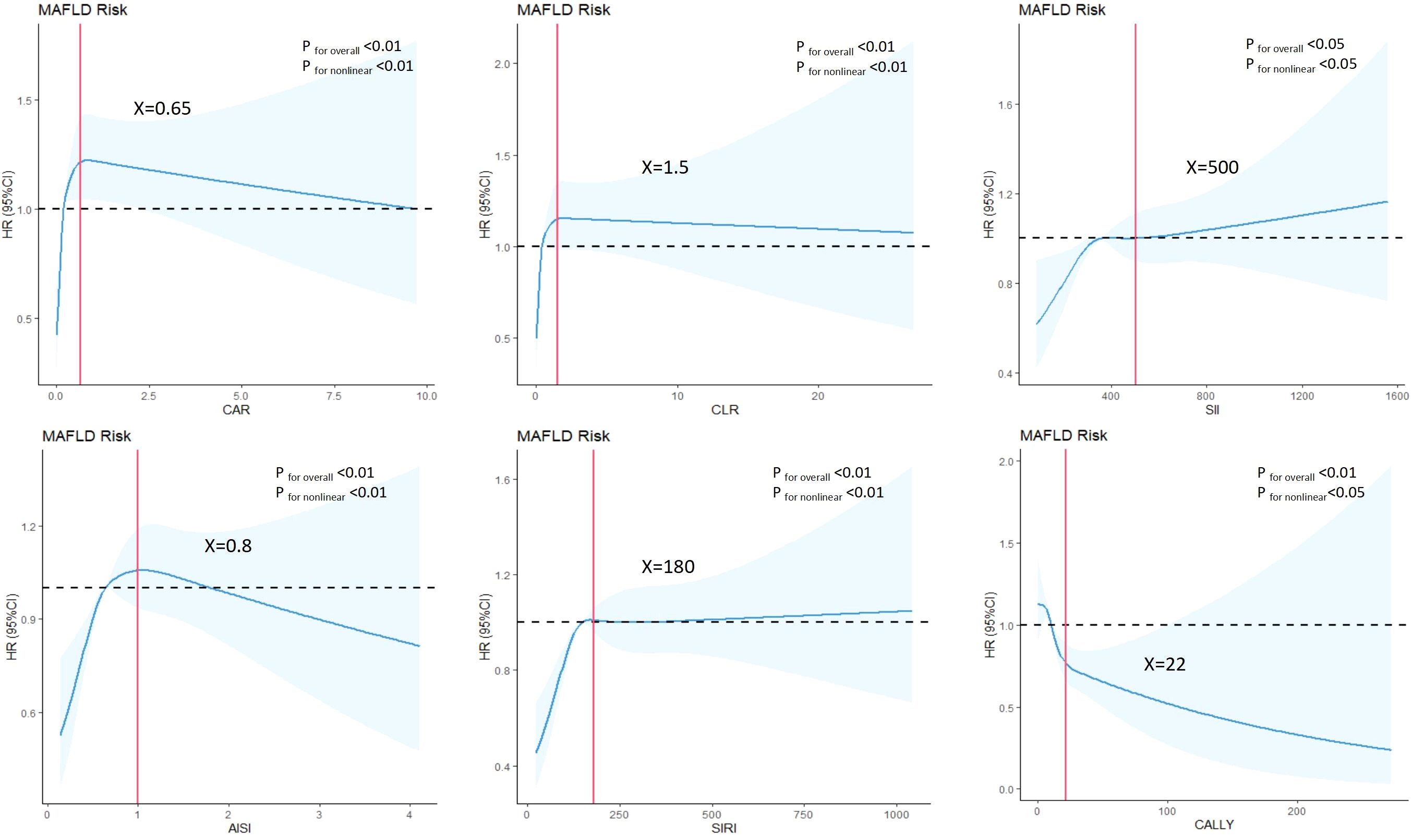
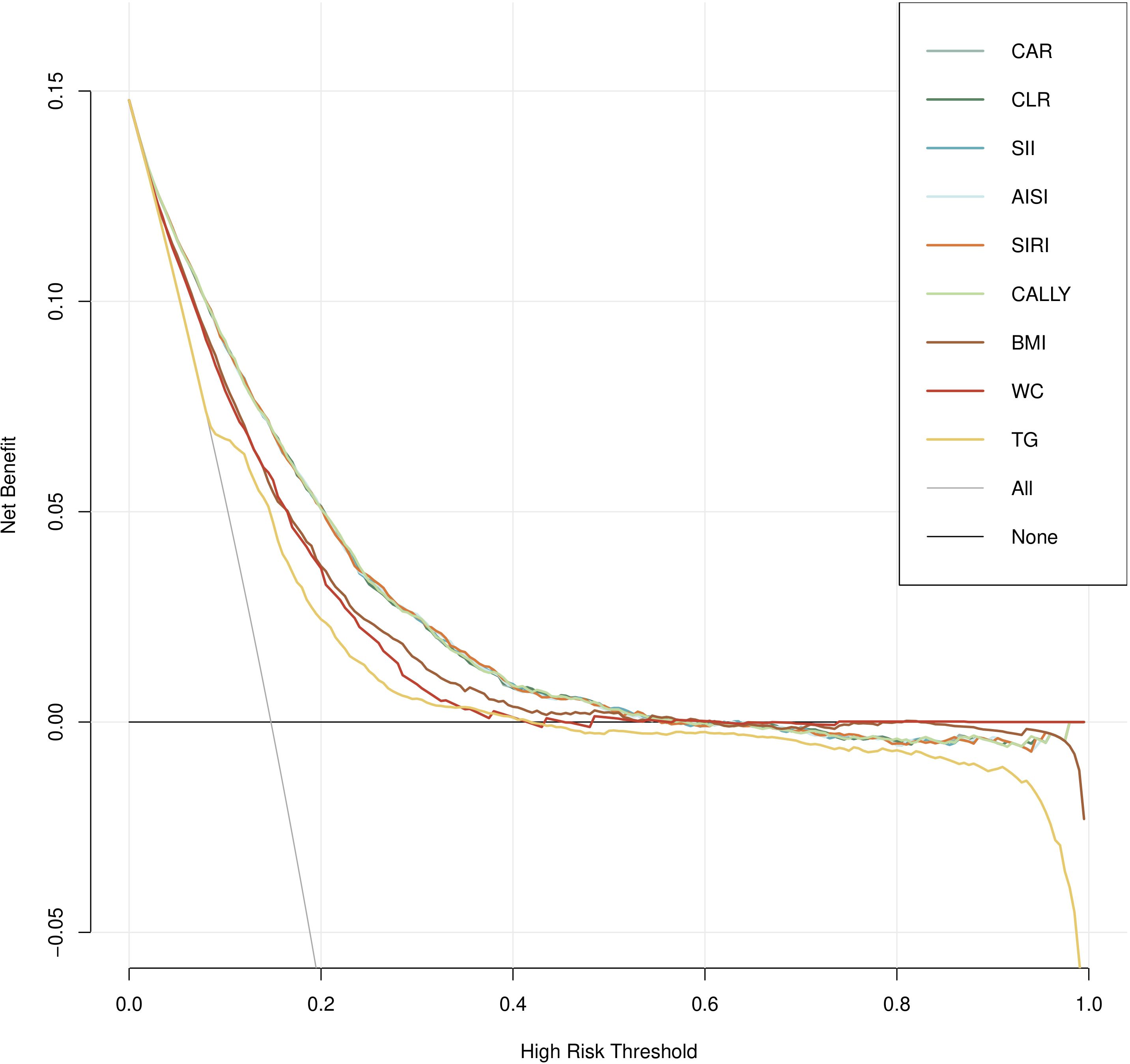
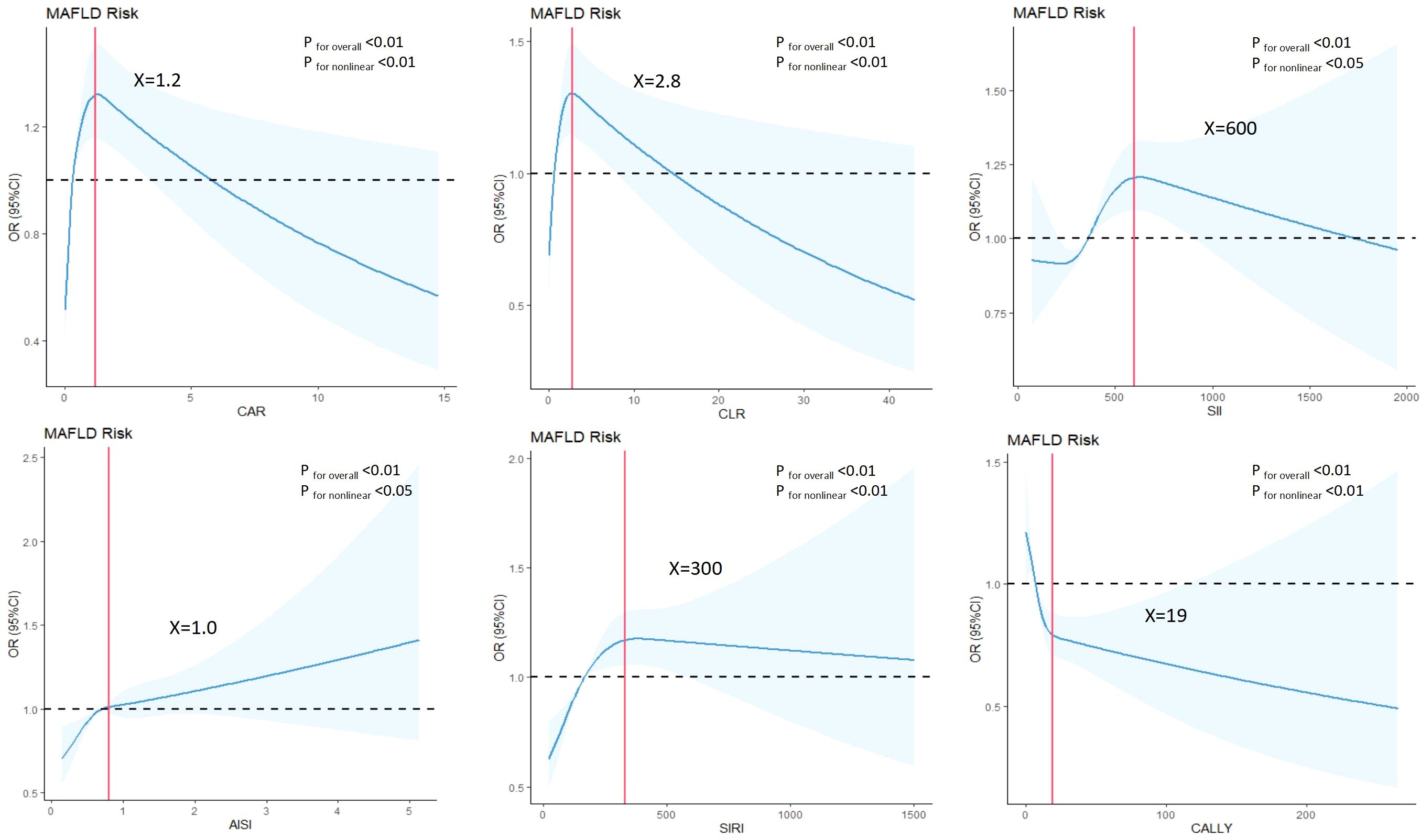
Background: The redefinition from nonalcoholic fatty liver disease (NAFLD) to metabolic dysfunction-associated fatty liver disease (MAFLD) highlights metabolic dysfunction's central role. While systemic inflammation drives MAFLD, large-scale evidence linking novel composite immune-inflammatory markers to MAFLD remains limited. This study evaluates six such markers and their association with MAFLD risk in a two-stage study in China. Methods: This two-stage study included a case-control analysis (7,894 MAFLD cases and matched controls) and a prospective cohort study (8,627 participants, median follow-up 2.37 years). Six composite immune inflammation-related markers (CAR, CLR, SII, AISI, SIRI, and CALLY) were derived from routine blood tests. Multivariable logistic and Cox regression models were used to assess associations with MAFLD risk, with adjustment for metabolic confounders. Restricted cubic splines (RCS) explored nonlinear relationships, and receiver operating characteristic (ROC) and decision curve analyses (DCA) evaluated predictive performance and clinical utility. The Cochran Q test was used to evaluate the heterogeneity between groups to verify the influence of covariates. Results: All indicators show a significant nonlinear threshold effect relationship with the risk of MAFLD. CAR, CLR, SII, AISI, and SIRI exhibit a rapid increase in risk initially, followed by a plateau, while CALLY shows the opposite trend. Subgroup analysis indicates that SIRI is more strongly associated with MAFLD in women. Models combining these indicators with metabolic factors demonstrate superior predictive performance (AUC > 0.8) and clinical net benefit. Conclusion: Systemic immune-inflammatory indices exhibit nonlinear associations with MAFLD risk, independent of traditional metabolic factors. This reinforces MAFLD as a systemic inflammatory disease and highlights the potential of anti-inflammatory strategies, especially during the early, reversible stage before the risk plateaus.
Keywords: MAFLD, immune-inflammatory indices, Association, Inflammation, risk
Received: 10 Sep 2025; Accepted: 03 Nov 2025.
Copyright: © 2025 Zhao, Zhou, Wang, Xie and Fan. This is an open-access article distributed under the terms of the Creative Commons Attribution License (CC BY). The use, distribution or reproduction in other forums is permitted, provided the original author(s) or licensor are credited and that the original publication in this journal is cited, in accordance with accepted academic practice. No use, distribution or reproduction is permitted which does not comply with these terms.
* Correspondence:
Fangfei Xie, fangfeixie@hotmail.com
Jingyi Fan, 13913186601@139.com
Disclaimer: All claims expressed in this article are solely those of the authors and do not necessarily represent those of their affiliated organizations, or those of the publisher, the editors and the reviewers. Any product that may be evaluated in this article or claim that may be made by its manufacturer is not guaranteed or endorsed by the publisher.
