SYSTEMATIC REVIEW article
Front. Immunol.
Sec. Inflammation
This article is part of the Research TopicNew Approaches to Combat Immunosenescence and Inflammaging: Mechanisms and TherapiesView all 6 articles
Effects of Whole-Body Vibration Training on Inflammatory Markers and Lipid Profiles in Adults: A Systematic Review and Meta-Analysis of Randomized Controlled Trials
Provisionally accepted- 1School of Competitive Sports, Wuhan Sports University, Wuhan, P.R. China, Wuhan, P.R., China
- 2School of Physical Education, Wuhan Sports University, Wuhan, China
Select one of your emails
You have multiple emails registered with Frontiers:
Notify me on publication
Please enter your email address:
If you already have an account, please login
You don't have a Frontiers account ? You can register here
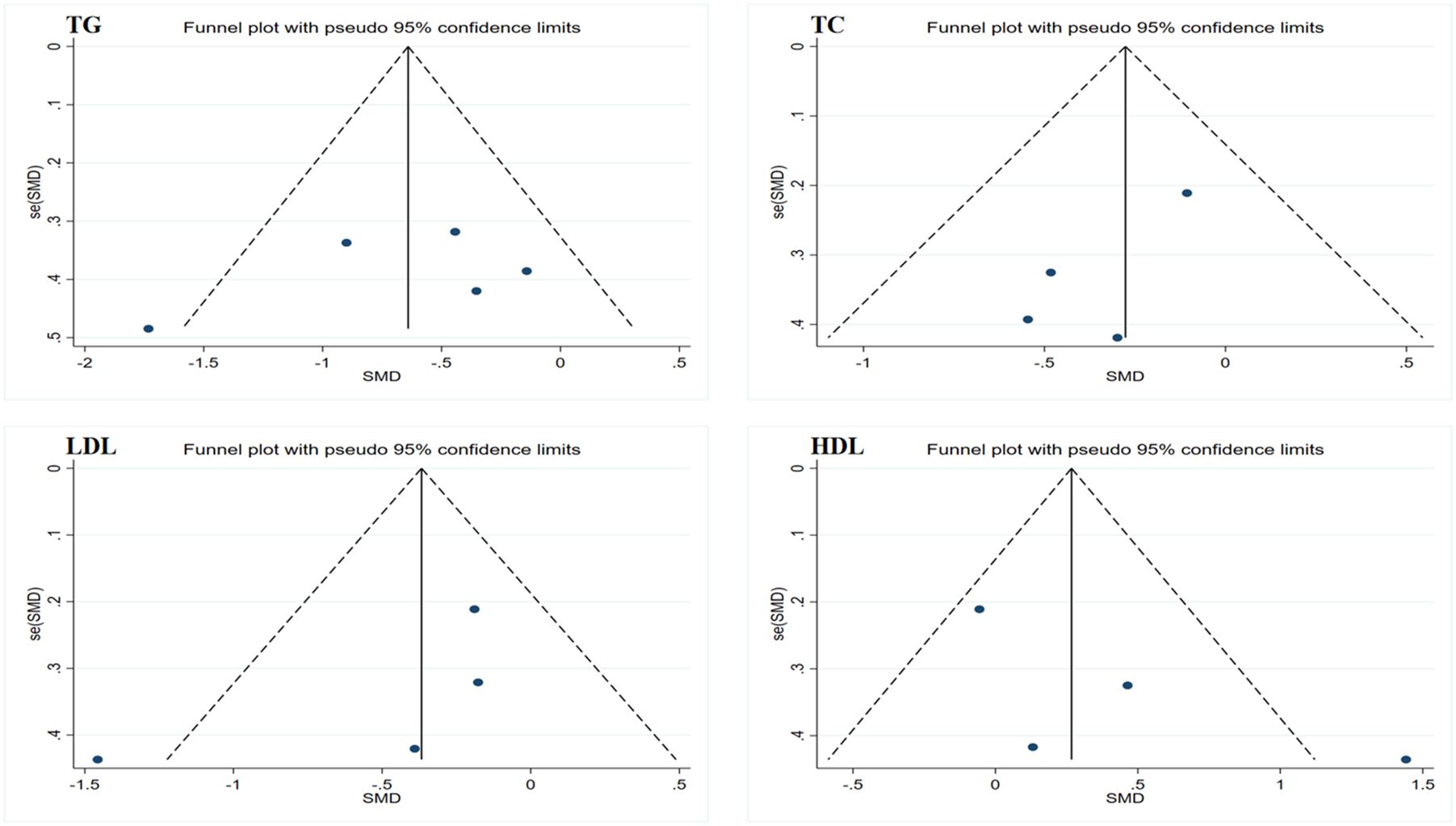
Objective: The aim of this study is to synthesize existing randomized controlled trials (RCTs) to investigate the effects of whole-body vibration (WBV) training on inflammatory markers and lipid profiles in adults. Methods: In this meta-analysis, we systematically searched four major electronic databases—PubMed, Web of Science, Cochrane, and Embase—from their inception until August 15, 2025, to ensure comprehensive coverage of the relevant literature. The primary outcome indicators analyzed in this study include interleukin-6 (IL-6), interleukin-8 (IL-8), tumor necrosis factor-alpha (TNF-α), high-sensitivity C-reactive protein (hs-CRP), triglycerides (TG), total cholesterol (TC), low-density lipoprotein (LDL), and high-density lipoprotein (HDL). Data analysis was conducted using Stata 17.0 software to perform a statistical analysis of the combined effect sizes for each indicator. Results: A total of 11 RCTs were included, involving 409 participants. The results showed that WBV training significantly reduced TNF-α (WMD = -0.80 pg/ml, 95% CI: -1.14 to -0.47, P<0.001), hs-CRP (WMD = -0.68 mg/l, 95% CI: -0.94 to -0.43, P <0.001), and TG (SMD = -0.67, 95% CI: -1.15 to -0.19, P=0.006) levels in adults. However, no significant effects were observed for IL-6 (WMD = -0.50 pg/ml, 95% CI: -2.08 to -1.08, P=0.535), IL-8 (WMD = 0.30 pg/ml, 95% CI: -0.26 to 0.85, P=0.296), TC (SMD = -0.28, 95% CI: -0.57 to 0.02, P=0.067), LDL (SMD = -0.47, 95% CI: -0.98 to 0.03, P=0.068), and HDL (SMD = 0.43, 95% CI: -0.17 to 1.03, P=0.156). Conclusion: This study confirms that WBV training can positively impact inflammatory markers (TNF-α and hs-CRP) and the lipid profile (TG) in adults. These findings provide important evidence for health management and intervention strategies for chronic disease prevention in adults, further supporting WBV training as an effective exercise intervention strategy for promoting metabolic health.
Keywords: whole-body vibration, Vibration training, Inflammation, lipid profile, cardiovascular disease
Received: 15 Sep 2025; Accepted: 27 Oct 2025.
Copyright: © 2025 Pan, Luo and Pang. This is an open-access article distributed under the terms of the Creative Commons Attribution License (CC BY). The use, distribution or reproduction in other forums is permitted, provided the original author(s) or licensor are credited and that the original publication in this journal is cited, in accordance with accepted academic practice. No use, distribution or reproduction is permitted which does not comply with these terms.
* Correspondence: Junpeng Pang, m13853905988@163.com
Disclaimer: All claims expressed in this article are solely those of the authors and do not necessarily represent those of their affiliated organizations, or those of the publisher, the editors and the reviewers. Any product that may be evaluated in this article or claim that may be made by its manufacturer is not guaranteed or endorsed by the publisher.
