CLINICAL TRIAL article
Front. Immunol.
Sec. Vaccines and Molecular Therapeutics
Immunogenicity and safety of an Escherichia coli-produced 9-valent human papillomavirus vaccine (types 6/11/16/18/31/33/45/52/58) in healthy Chinese women aged 20-45 years: a single-center, randomized, observer-blinded, positive controlled phase 2 clinical trial
Provisionally accepted- 1School of Public Health, National Vaccine Innovation Platform, Nanjing Medical University, Nanjing, China
- 2Department of Vaccine Clinical Evaluation, Jiangsu Provincial Center for Disease Control and Prevention (Jiangsu Provincial Academy of Preventive Medicine), Nanjing, China
- 3Jiangsu Provincial Medical Innovation Center, National Health Commission (NHC) Key Laboratory of Enteric Pathogenic Microbiology, Nanjing, China
- 4Beijing Health Guard Biotechnology Inc, Beijing, China
- 5Sheyang City Center for Disease Control and Prevention, Yancheng, China
Select one of your emails
You have multiple emails registered with Frontiers:
Notify me on publication
Please enter your email address:
If you already have an account, please login
You don't have a Frontiers account ? You can register here
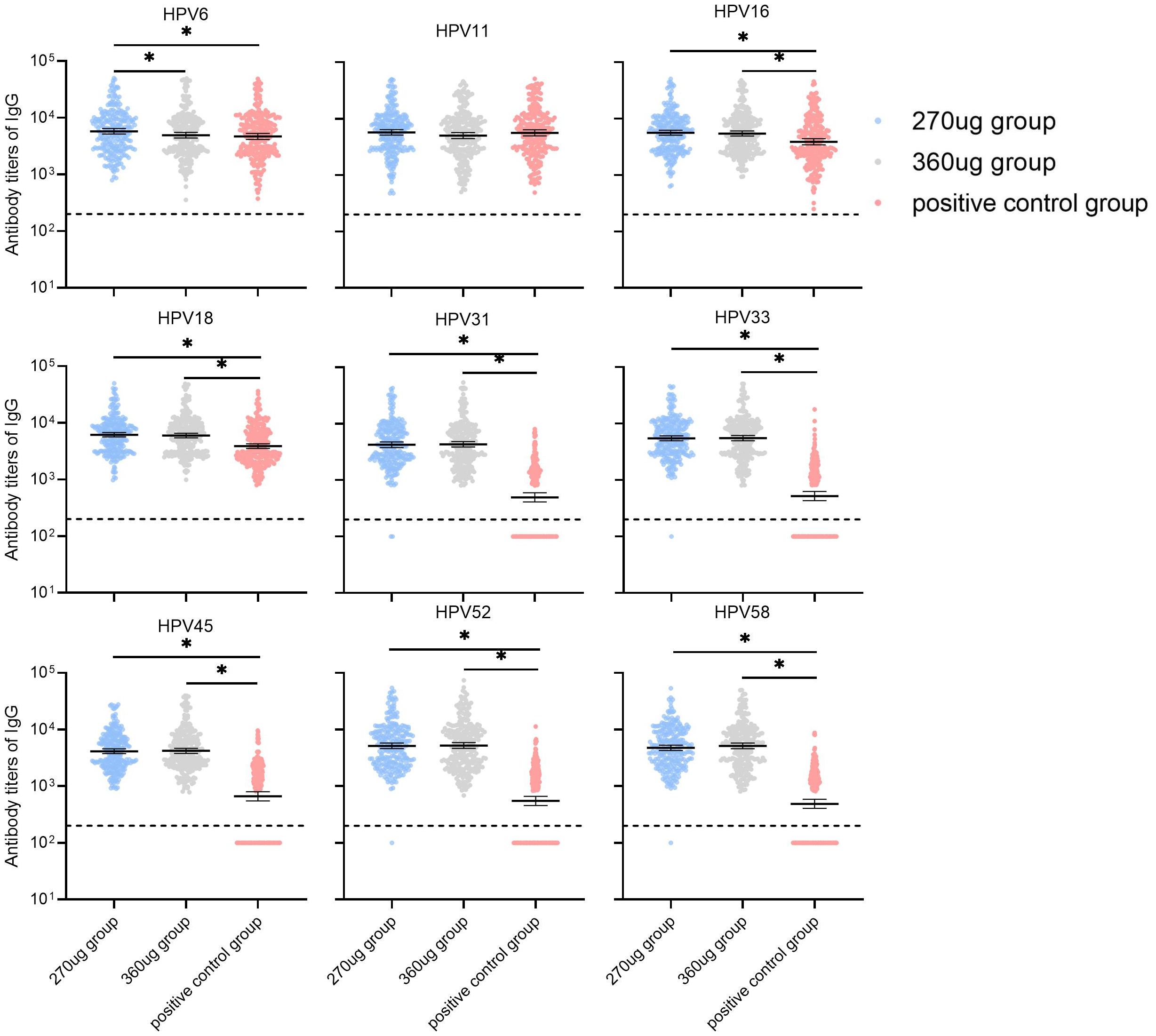
Background: Vaccination with prophylactic human papillomavirus (HPV) vaccines is one of the most effective measures for preventing cervical cancer and other related diseases. Here, we aimed to evaluate the immunogenicity and safety of an Escherichia coli-produced 9-valent human papillomavirus (9vHPV) vaccine. Method: We did a single-center, randomized, observer-blinded, positive controlled phase 2 clinical trial in healthy women aged 20-45 years. All eligible participants were randomly assigned (1:1:1) to receive 270ug 9vHPV, 360ug 9vHPV or the control vaccine (Gardasil) with a 0-2-6-month schedule. Serum samples were collected at day 0 and month 7 to assess IgG and neutralizing antibodies (nAbs). For HPV6/11/16/18, non-inferiority was identified for the lower limit of the 95% CI of the geometric mean titer (GMT) ratio at a margin of 0.5 and a seroconversion rate (SCR) difference at a margin of -5%. For HPV31/33/45/52/58, superiority was demonstrated if the lower limit of the 95% CI for GMT ratio is greater than 1. Results: 780 participants aged 20-45 years were enrolled, among whom 770 completed three-dose immunization schedule. The incidences of ARs within 7 days in the 270μg, 360μg and positive control groups were 38.85%, 41.92% and 22.69%, respectively (P < 0.001). The GMTs of nAbs and IgG antibodies for nine HPV types in both 270ug and 360ug groups showed an obvious rise at month 7. For HPV31/33/45/52/58, the GMTs of nAbs in both 270μg and 360μg groups were higher than those in positive control group, with the 95% CIs lower bounds of GMT ratios all greater than 1. Compared to positive control group, HPV 6 and 18 achieved non-inferiority criteria for GMT in both dose groups. However, the GMT ratio of HPV 16 in the 270μg group was 0.46 (0.38-0.55), and HPV 16 and 11 in the 360μg group were 0.48 (0.40-0.58) and 0.53 (0.46-0.60) respectively. The SCRs of nAbs for HPV6/11/16/18 in the three groups were 100%, with the 95% CIs lower bound for SCR differences ranged from -2.55% to -1.64%. Conclusion: The candidate 9vHPV vaccine well tolerated and immunogenic, supporting further evaluation for efficacy and safety in larger populations. Clinical trial registration: ClinicalTrials.gov, identfier NCT05694728.
Keywords: Human papillomavirus, 9-valent human papillomavirus vaccine, Escherichia coli, Immunogenicity, Safety
Received: 16 Sep 2025; Accepted: 27 Oct 2025.
Copyright: © 2025 Wei, Liu, Yu, Pan, Tao, Zhang, Han, Wu, Wang and Li. This is an open-access article distributed under the terms of the Creative Commons Attribution License (CC BY). The use, distribution or reproduction in other forums is permitted, provided the original author(s) or licensor are credited and that the original publication in this journal is cited, in accordance with accepted academic practice. No use, distribution or reproduction is permitted which does not comply with these terms.
* Correspondence:
Dan Wu, danwu@njmu.edu.cn
Wenjuan Wang, wangwj@jscdc.cn
Jingxin Li, jingxin42102209@126.com
Disclaimer: All claims expressed in this article are solely those of the authors and do not necessarily represent those of their affiliated organizations, or those of the publisher, the editors and the reviewers. Any product that may be evaluated in this article or claim that may be made by its manufacturer is not guaranteed or endorsed by the publisher.
