Abstract
Climate change and anthropogenic pressures have significantly affected coastal environments. This study obtained historical data on harmful algal blooms (HABs) and nutrient patterns over a 30-year period to explore responses to long-term climate change and anthropogenic pressure indicators. Although the surrounding area has achieved great economic success over the past 30 years, the Zhanjiang Bay (ZJB) has been seriously affected by various pollutants and is threatened by increasing eutrophication and HABs due to climate change and anthropogenic pressures. In the ZJB, HABs rarely occurred before the 1980s but have occurred periodically and frequently since the 2000s. The largest HAB covered a cumulative area of 310 km2 in 2005. Most of the HABs occurred during spring. Additionally, the dominant phytoplankton species were Skeletonema costatum and Phaeocystis globosa, accounting for 37.50 and 43.75% of the HABs observed, respectively. Anthropogenic pressures have caused the nutrient regime to significantly increased in the ZJB over the past three decades (P < 0.05). Specifically, the concentration of dissolved inorganic nitrogen (DIN) increased threefold from the beginning of the 1990 to 2019 period, while the dissolved inorganic phosphorus (DIP) concentration increased 21-fold. Unsynchronized variation in nutrient patterns has led to changes in the composition of nutrients, and the ZJB ecosystem has shifted from a P-limited oligotrophic state before the 2000s to an N-limited eutrophic state. Anthropogenic pressure indicators showed a significant linear correlation with nutrients (P < 0.05), but climate change indicators did not play a direct role in the eutrophication problem in the ZJB during this period (P > 0.05). Therefore, integrated land-ocean environment management should be introduced to reduce land-based pollution sources, mitigate eutrophication, and curb the blooms of harmful algae in the ZJB.
Introduction
Blooms of toxic or harmful microalgae are commonly called “harmful algal blooms” (HABs) and occur in many forms, ranging from massive accumulations of cells that discolor water to dilute, inconspicuous, but highly toxic populations (Anderson et al., 2000). HABs cannot only change the structure and function of marine ecosystems and destroy fishery resources and marine environments (Mohamed and Al-Shehri, 2012; Yu et al., 2017), but can also result in toxic seafood and toxicity to human health (Song et al., 2018; Svirčev et al., 2019; Chen et al., 2021). In recent decades throughout the world, the increasing occurrence of HABs suggests an unsettling trend that has become a serious ecological issue (Zhou et al., 2001; Anderson et al., 2012; Liu et al., 2013; Mohamed, 2018).
Although determining the causative factors for HAB events are complex (Davidson et al., 2014), there is no doubt that the changes in climate and anthropogenic nutrient inputs contribute to global eutrophication and expanding global footprint of HABs (Glibert, 2020). Eutrophication, which results from the increased input of nutrients to marine waters (Wang, 2006; Liang et al., 2015), is now recognized as an important factor contributing to the geographical and temporal expansion of several HAB species (Smayda, 1990; Anderson et al., 2002). Shifts in species composition have often been attributed to changes in the nutrient supply ratios (Anderson et al., 2002). To govern the biogeography and formation of HABs, it is generally accepted that the availability of dissolved inorganic nutrients likely mediates phytoplankton growth in most coastal waters (Howarth and Marino, 2006). However, the mode of delivery of inorganic nutrients (especially nitrogen) is not restricted to aquatic sources; atmospheric input is also important (Glibert et al., 2005). In many estuarine and coastal waters, the atmosphere may contribute up to 40% of the total inorganic and organic nitrogen inputs (Howarth et al., 2002; Glibert et al., 2005). Climate effects on hydrology impart high variability to properties controlling water quality, including nutrient loadings, concentrations, and phytoplankton biomass in estuarine and coastal ecosystems (Harding et al., 2016). Anticipated future changes in climatic conditions are likely to increase the threats of HABs. Among these climatic threats are increases in the intensity and duration of hurricanes and El Niño periods (Emanuel, 2005; Webster et al., 2005; Fasullo et al., 2018). The increase in high rainfall and winds associated with hurricanes and El Niño results in enhanced nutrient loads which drive HABs (Mallin and Corbett, 2006; Miller et al., 2006; Dybas, 2018; Gomez et al., 2019; Phlips et al., 2020). Furthermore, the pollution of coastal waters by nutrients is a result of anthropogenic pressures (population growth, food production, and energy production and consumption) and is considered one of the largest global pollution problems (Howarth et al., 2002). Anthropogenic pressures severely impact aquatic ecosystems, which are also increasingly affected by global change, urban development, industrialization, and the unsustainable exploitation of aquatic resources. Increasing coastal human populations, industrialization, and the intensification of agriculture have elevated the supply of nitrogen (N) and phosphorus (P) to coastal waters (Ferreira et al., 2011). Importantly, there is consensus that HABs are complex events, typically not caused by a single environmental driver but rather by multiple factors occurring simultaneously (Heisler et al., 2008). For example, the agricultural fertilizer utilization, industrial development, and human activities associated nutrient discharge were the key drivers of HAB events in the Beibu Gulf, Yangze River estuary, Atlantic coast of Europe, and Tampa Bay, Florida (Greening et al., 2014; Yu et al., 2017; Desmit et al., 2018; Xu et al., 2019). In addition, recent study has found that terrestrial input of herbicides plays a significant role on phytoplankton and bacterioplankton communities in coastal waters (Yang et al., 2021). Furthermore, the climate change also impacted on the HABs development in the magnitude and frequency of these events (O’Neil et al., 2012; Phlips et al., 2020). It is important to clarify the combined effects of eutrophication and climate change. Therefore, recent reviews on HABs, eutrophication and climate have focused on the complex nature of this nexus (Glibert, 2020).
The Zhanjiang Bay (ZJB) is a semi-enclosed bay in China, with a total area of 193 km2 and an average depth of 18 m (Chen and Yan, 2006). It is connected to the South China Sea through the ZJB mouth (Figure 1). There are several seasonal rivers, including three major rivers (the Suixi, Nanliu, and Lvtang rivers) that flow into its coastal waters. In recent decades, with the rapid expansion of industry, agriculture, and mariculture, nutrient fluxes from rivers, atmospheric deposition, and wastewater discharge have increased substantially (Zhang et al., 2019). Eutrophication—a result of human-induced nutrient enrichment—has become a concern in the ZJB (Shi et al., 2015). Over the past several decades, many industrial facilities have been built along the coast and tons of industrial wastewater and agricultural or aquacultural pollutants have been discharged into the bay, which has led to eutrophication (Zhang et al., 2019). In 2016, HABs occurred in the aquacultural area of the ZJB, which caused a large number of deaths of farmed fish and serious economic losses (Yu and Chen, 2019). However, the combined effect and possible synergies can be difficult to distinguish and require comprehensive studies of the entire ecosystem on long time scales (Frigstad et al., 2013). Time-series data for several ecosystems reveal high spatiotemporal variability superimposed on secular trends that are traceable to nutrient over-enrichment (Harding et al., 2019). Long-term nutrient variations have potential ecological impacts on the frequencies, affected areas, and diversity of dominant species of these local HABs (Wang et al., 2018). However, historical data for the earlier periods in the ZJB, which were less affected by anthropogenic eutrophication, are not included. To date, the patterns of the long-term variation in the nutrients in the ZJB remain unclear.
FIGURE 1

Geographic location and seawater monitoring stations of 2019 in the Zhanjiang Bay.
Therefore, there is an urgent need to clarify the mechanism of HABs in the ZJB and their relationship with nutrient patterns influenced by climate change and anthropogenic pressures. In this study, we performed a retrospective analysis of the long-term variations in HABs and nutrient patterns in the ZJB based on historical data. The objectives of this study is to (1) clarify the long-term HABs in the ZJB coastal waters, (2) identify the long-term nutrient patterns in the ZJB coastal waters, and (3) discuss the impacts of climate change and anthropogenic pressures. By highlighting the long-term HABs and nutrients patterns affected by climate change and anthropogenic pressures in the ZJB, we hope to reveal the characteristics of HABs and provide a framework for integrated land–ocean environment management and water quality improvement in the ZJB in the future.
Materials and Methods
Study Areas
According to its geographical location, the ZJB is located in the southernmost part of the Chinese mainland—Guangdong Province. The ZJB is a semi-enclosed bay with poor hydrodynamic conditions and is surrounded by the Leizhou Peninsula, Donghai Island, Nansan Island, and South China Sea. Due to land reclamation within the ZJB, and the decreasing water-exchange ability corresponds to an increasing average residence time over the past decades, which had influenced the hydrodynamic conditions and pollutants transport (Li X. B. et al., 2012; Zhang et al., 2020a). It has a length of 54 km from south to north and a width of 24 km, covering an area of 193 km2 (Zhang J. et al., 2021). The deep channel (>10 m) is 40 km long, and the mouth is about 2 km wide (Shi et al., 2015). With the rapid development of the economy and the increasing population in Zhanjiang, modern industrial facilities, marine aquaculture functional areas, and agricultural functional areas were built in the bay by the government. In recent years, rivers flowing through urban areas along the coastline contribute to the load input of various land-based pollution sources (Figure 1). This situation causes serious marine ecological environmental problems, such as water quality deterioration and HABs (Zhang et al., 2019, 2020a,b).
Data Sources and Treatment
The data on the frequency, area, and phytoplankton species composition of HABs for 1980–2004 were from Li and Lv (2009), for the period from 2005 to 2011 the data were from the Guangdong Oceanic and Fishery Bureau (2005-2012), and for the period from 2012–2020 the data were from the Department of Natural Resources of Guangdong Province (2013–2020). Dissolved inorganic nitrogen (DIN) and dissolved inorganic phosphorous (DIP) are the indicators of Chinese national seawater quality standards (GB3097- 1997) (AQSIQ, 1997). In GB3097- 1997, the grade IV seawater quality standard is applicable to the seawater of marine port or marine exploitation operation areas. The DIN and DIP concentration of the grade IV seawater quality standard was 35.71 and 1.45 μmol/L, respectively (AQSIQ, 1997). The yearly averaged data of nutrients (DIN and DIP) were used to represent the long-term nutrient variations. The nutrient data for 1990 were obtained from the Compiling Committee of Records of China Bays (1999). The nutrient data for the period from 1998 to 2001 were from Lv et al. (2002), for the period from 2006 to 2010 the data were from the Zhanjiang Oceanic and Fishery Bureau (2007–2011), and for the period 2011–2015 the data were from Yuan et al. (2016). The mean nutrient data for 2019 were obtained from the field monitoring data in this study. The data on anthropogenic pressures, such as gross domestic product (GDP), population, fertilizer use, industrial wastewater discharge, and the total output of marine products during this investigation period, were from the Zhanjiang Municipal Statistics Bureau (2007–2011). The annual precipitation and air temperature data for the ZJB were obtained from the Guangdong Municipal Statistics Bureau (2019) (Table 1). To concentrate on long-term HABs and nutrients patterns affected by climate change and anthropogenic pressures, the annual mean data values, based on pooled samples, were determined in the analysis (McQuatters-Gollop et al., 2007; Zhang et al., 2017). In addition, to avoid long-term data sources of error in the method of monitoring HABs and nutrients patterns, climate change and anthropogenic pressures indicators, the analyses were in accordance with the investigation criteria of China and aimed to ensure the consistency of methods as far as possible (Zhang et al., 2017). Furthermore, for the accuracy of the datasets of all long-term indicators, we cited government administration reports and references that had confirmed the comparability of the long-term data (Yuan et al., 2016; Zhang et al., 2017). Thus, the information regarding the long-term annual mean data obtained in the ZJB were deemed relatively accurate and reliable.
TABLE 1
| Time period | Variables | Data sources |
| 1980–2019 | Frequency and duration of HABs and the phytoplankton species composition of HABs | Li and Lv, 2009; Department of Natural Resources of Guangdong Province, 2013–2020 |
| 1990 | DIN and DIP | Compiling Committee of Records of China Bays, 1999 |
| 1998–2001 | DIN and DIP | Lv et al., 2002 |
| 2006–2010 | DIN and DIP | Zhanjiang Oceanic and Fishery Bureau, 2007–2011 |
| 2011–2015 | DIN and DIP | Yuan et al., 2016 |
| 2019 | DIN and DIP | This study |
| 1980–2019 | Fertilizer use, gross domestic product, population, industrial wastewater discharge, and the total output of marine products | Zhanjiang Oceanic and Fishery Bureau, 2000–2020 |
| 1980–2019 | Precipitation and air temperature | Guangdong Municipal Statistics Bureau, 2019 |
Meteorological and physico-chemical data references used in this study.
Change data sources.
Statistical Method
The geographic information system ArcGIS (10.2) (Esri Corporation, New York, NY, United States) was used to map the monitoring stations of the ZJB coastal waters and land-based pollution sources. The maps of HABs, DIN, and DIP, and climate and anthropogenic pressures in the ZJB were drawn using Origin 9.0 software (Origin Lab Corporation, Northampton, MA, United States). The linear regression analysis described the linear relationship between HABs, nutrients, and the climate and anthropogenic pressures indicators and determined how much of the variation can be explained by the linear relationship with indicators and how much of this variation remains unexplained (Zhang et al., 2017). The linear regression analysis between variables was determined among the HABs, nutrients, climate change, and anthropogenic pressures indicators using Origin 9.0 software (Origin Lab Corporation, Northampton, MA, United States). A probability level of 0.05 was used to determine significance.
Results
Long-Term Harmful Algal Blooms Variation in the Zhanjiang Bay Coastal Water
Long-Term Harmful Algal Blooms Variation of Frequency and Areas in the Zhanjiang Bay
During the period 1980–2019, HABs occurred 15 times in the ZJB (Figure 2). However, there was no significant change in the frequency of HABs in the ZJB; they occurred at a frequency of once or twice in the outbreaking year. Before the 2000s, HAB events were not typically observed, occurring only once in 1980. From 2001 to 2004, no HAB events were registered. Afterward, the frequency of HABs reached twice per year in 2005, during which the largest area of HABs were observed with an extent of more than 300 km2. From 2006 to 2008 only one HAB was registered per year, and the extent of these events also showed a decreasing trend. The frequency of HABs in 2010 decreased to one event with an area of 4.8 km2, which was the smallest area observed during this period. In 2012, the frequency of HABs increased to two events per year, and again decreased in the following years, with no HAB events in 2015 and 2016. However, the area of HABs increased in 2017, with the second largest observed area of 275 km2 during these years, and the frequency of HABs increased up to twice per year. With the decrease in the area o HABs, the frequency decreased once in 2018.
FIGURE 2

Number of HAB events and their extension (km2) from 1980 to 2020 in Zhanjiang Bay, China.
Long-Term Harmful Algal Blooms Variation of Phytoplankton Species Composition in the Zhanjiang Bay
Five phytoplankton species bloomed in the ZJB during the three decades of the investigation period (Figure 3). It was evident that Skeletonema costatum had the highest bloom frequency, accounting for 43.75%. Following by Phaeocystis globosa with a frequency of 37.50%. Leptocylinderus sp., Pseudonitzschia delicatissima, and Prorocentrum lima had the same bloom frequencies, accounting for 6.25%. The bloom frequency of Phaeocystis globosa doubled in 2005 and 2017. Moreover, Skeletonema costatum occurred twice in 2012 and 2013. In 2013, two phytoplankton species, Skeletonema costatum and Pseudoitzschia delicatissima, occurred in the ZJB. During the investigation period, the dominant phytoplankton species of the HABs were Skeletonema costatum and Phaeocystis globosa.
FIGURE 3

Phytoplankton species that formed HABs in the Zhanjiang Bay, China from 1980 to 2020.
Long-Term Harmful Algal Blooms Seasonal Occurrence in the Zhanjiang Bay
To determine long-term seasonal variation of HABs in ZJB, four seasons of 12 months each were defined as spring (March, April, May), summer (June, July, August), autumn (September, October, November), winter (December, January, February). The seasons and durations of the HABs in different years varied (Figure 4). The month with the highest record of bloom events was March. There were six occurrences of HABs in March, accounting for 30.00% of the total frequency. Following April and March that accounted for 15.00% of the total frequency during these decades. The period of the HABs occurred in August in 2012 and 2013. Additionally, the period of the HABs occurred in March and April in 2017 and 2018. However, HABs did not occur in November or December. The longest duration of HABs lasted 4 months in 2005. Overall, HABs became more frequent after the 1990s. Moreover, HAB events were focused in spring, including the months of March, April, and May, accounting for 53.30% of the total percentage of occurrences.
FIGURE 4

Long-term HABs period and duration.
Long-Term Nutrients Variation in the Zhanjiang Bay Coastal Water
In the last three decades, nutrients in the coastal seawater of the ZJB have experienced a significant change (P < 0.01). The annual mean DIN concentration in the ZJB seawater increased threefold during this period, from 9.87 to 40.06 μmol/L. The concentration of DIN increased slowly at the beginning of the 1990s and then decreased slowly from the mid-1990s to the mid-2000s. Then, it increased rapidly, achieving a value of 58.43 μmol/L in 2009. Thereafter, it maintained a high level of fluctuation and showed a fluctuating downward trend (Figure 5). The annual mean DIP concentration increased by 21-fold and ranged from 0.13 to 3.74 μmol/L. Changed from lower concentration in the early1990s to higher concentrations in the mid-2000s. Subsequently, the DIP concentration maintained high-level fluctuations and exhibited an increase in the early 2010s. The highest DIP concentration was 3.74 μmol/L in 2015. Before 2008, the concentrations of DIN and DIP did not exceed the grade IV seawater quality standard. The concentration of DIN exceeded the standard in 2009, 2010, 2013, 2014, and 2019, respectively. From 2009 to 2015 and 2019, the concentrations of DIP exceeded the grade IV seawater quality standard. Conversely, it seems that the value of DIN/DIP exhibited a drastic decrease during these decades. Compared to 2019, the value of DIN/DIP in 1990 decreased fourfold. A significant decrease of 74.10–18.00 was observed from the early to the end of the 1990s. In the early 2000s, the value of DIN/DIP seemed to remain stable but still maintained a slowly fluctuating decline with a minimum value of 9.00 in 2015. The value of DIN/DIP exceeded 16:1 (Redfield Ratio) in most of the years, except in 2008, 2012, 2015, and 2019. The nutrient regime in the ZJB shifted from an oligotrophic state with P-limitation to a eutrophic state with N-limitation.
FIGURE 5

Long-term nutrients’ concentration (A) and composition (B) variation in the Zhanjiang Bay coastal water.
Long-Term Variation of the Climate Change in the Zhanjiang Bay
During the investigation period, the annual average air temperature ranged from 22.4 to 24.5°C. The phases of temperature variation presented an uneven “M” shape from 1995 to 2005 and presented an uneven “W” shape from 2005 to 2015 (Figure 6). Precipitation exhibited an irregularly changing trend and maintained high-level fluctuations during these years. The highest value of precipitation was 2411.3 mm in 1985, and the lowest value was 1068.5 mm in 2004. Precipitation had a significant decreasing trend from the early 2000s to the mid-2000s and increased slowly in the following years.
FIGURE 6

Long-term annual precipitation and temperature in the Zhanjiang Bay coastal water.
Long-Term Variation of the Anthropogenic Pressures in the Zhanjiang Bay
During the investigation period, the population, industrial facilities, and agricultural intensity grew rapidly with the rapid development of the economy and society in Zhanjiang (Figure 7). According to the statistics, the gross domestic product (GDP) and population grew at a steadily increasing rate. Simultaneously, fertilizer use in Zhanjiang reached 445,720 tons in 2018. Although this was lower than in 2017, it was a 10-fold increase compared to the early 1980s. There were drastic changes in the amount of industrial wastewater discharge. The volume also increased from the early 1980s to 1990 and showed a fluctuating decrease during the 1990s and 2000s. At the beginning of the 2010s, it increased rapidly and then decreased slowly over the next few years. Overall, industrial wastewater discharge was 4.98 Ă— 107 tons in 2018, which was 17% lower than that in 1980. In contrast, Zhanjiang is also a major marine aquaculture city. The number of marine products increased steadily during this period and was 8.8 times more than that in 1980.
FIGURE 7

Long-term anthropogenic pressures’ variation in Zhanjiang city.
Discussion
Causes of Harmful Algal Blooms Events in Zhanjiang Bay Coastal Water
HABs damage ecosystems and threaten human health worldwide (Corcoran and Hunt, 2021). To strengthen the prediction and mitigation of HABs, further studies on the role of nutrients in HAB expressions are critical (Heisler et al., 2008). There are numerous clear examples of the relationship between HAB frequency and increased total nutrient loading in the coastal waters of China (Glibert et al., 2005). Previous research has found that the intracellular and extracellular balance of nutrients is central to phytoplankton growth and competition (Tilman, 1977). Using the recorded data, the link between nutrient concentrations and HAB characteristics, including the occurrence area, frequency, and bloom timing, was analyzed for the ZJB. During this long-term investigation, the frequency and area of HAB events in the ZJB increased after the 1990s and reached an explosive trend, with the largest total area of HABs (310 km2) occurring in 2005. However, due to the insufficient data, the frequency and area of HABs in the ZJB are not linearly correlated with the inorganic nutrient concentration of seawater (P > 0.05) (Figure 8). Therefore, eutrophication (inorganic) may not have a direct relationship with HABs in the ZJB from a long-term perspective, which is similar to conditions in the Pearl River Estuary (Anderson et al., 2002). The Pearl River estuary discharges a significant volume of polluted waters into South China Sea, including the western waters of Hong Kong, yet the occurrence of HABs is low compared to the conditions in Victoria Harbor and areas to the east (Anderson et al., 2002). It was that low nutrient values may occur due to phytoplankton uptaking during HABs events. While most studies have focused on the inorganic nutrients, they are not the only the nutrient source for many HABs. Major pools of dissolved organic matter, such as dissolved organic nitrogen (DON) and dissolved organic phosphorus (DOP), originate from both allochthonous and autochthonous sources (Antia et al., 1991; Glibert et al., 2005; Davidson et al., 2007, 2014; Pete et al., 2010). Organic nutrients play an important role in the development of blooms of various HAB species, and the importance of this phenomenon has been globally documented (Glibert et al., 2001, 2005). Many HAB species rely strictly on photosynthesis for their energy and use inorganic nutrients. At the same time, the appreciation of the importance of mixotrophy of HABs species also affects which nutrient forms should be considered in water management strategies (Burkholder et al., 2008; Flynn et al., 2018). In addition, the dissolved or particulate organic nutrients for several or all of their nutrient demands can be also available for the HAB species during photosynthesis process or mixotrophy (Granéli et al., 1999; Stoecker, 1999; Glibert et al., 2005; Burkholder et al., 2008). Additionally, five phytoplankton species of HABs were identified in the ZJB. Among all the bloom frequencies of the phytoplankton species, Skeletonema costatum and Phaeocystis globosa accounted for 37.50 and 43.75% of the total, respectively. Simultaneously, Skeletonema costatum and Phaeocystis globosa bloomed during the 2000s and 2010s. However, Skeletonema costatum was the dominant phytoplankton species observed in the 2000s and Phaeocystis globosa is the dominant phytoplankton species observed in 2010s. Laboratory research results showed that phosphate and nitrate were the main limiting factors for the growth of Phaeocystis globosa strains, and their tolerance to phosphate ranged from 0 to 180 μmol/L. In the lower N/P range (5.9–19.6), the growth rate of Phaeocystis globosa is higher (Guo et al., 2007; Shen et al., 2018). Therefore, this may be why the dominant phytoplankton species of the HABs in the ZJB changed from Skeletonema costatum to Phaeocystis globosa during the 2000–2010s. March, April, and May, which were spring in the ZJB, were the months with the highest frequencies of HABs. The temperature initially increases in spring. The suitable temperature of Phaeocystis globosa ranged from 15 to 27°C (He et al., 2019). Comparatively, the most growth temperature of Skeletonema costatum was 24–28°C (Huo et al., 2001). Temperature variations may affect the habitat for HABs and the community of organisms within which the harmful algal species may live (Anderson, 2000; Wells et al., 2015; Glibert, 2020). For example, climate warming leads to longer growing seasons of two harmful algal species (Prorocentrum minimum and Karlodinium veneficum) in eutrophic Chesapeake Bay, but may suppress bloom habitat (Li et al., 2020). In future, for better understanding climate change-driven by temperature variations, the dynamic mathematical model and field experimental observation should be conducted in the ZJB (Lin et al., 2018).
FIGURE 8

Relationship between DIN, DIP and frequency and extension of HABs. Data from 1980 to 2020.
Nutrients Change and the Eutrophication Trend in Zhanjiang Bay
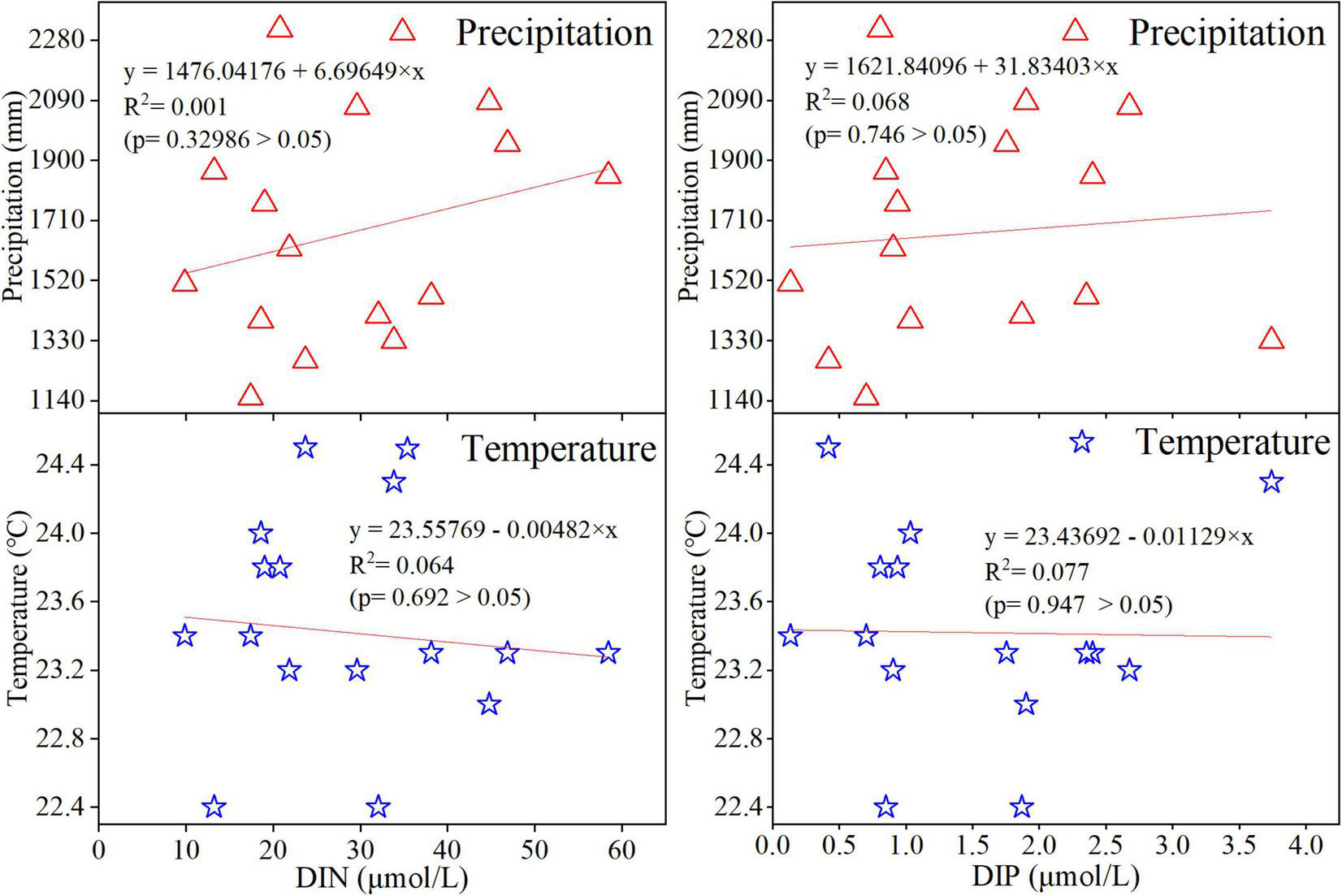
In recent decades, anthropogenic activities have substantially increased the nutrient inputs to waters and changed the nutrient composition. Eutrophication is the over-enrichment of nutrients in a water body, causing an advanced production of organic matter, particularly algae (Wang et al., 2018). The reasons for the occurrence of HAB events in the ZJB may be complex. Through the analysis of the long-term nutrient variation in the ZJB and previous studies, it was found that the water quality of the ZJB has seriously exceeded the standard, and the nutrient concentration in most of the sea areas also exceeded the grade IV national seawater quality standard (Lv et al., 2002; Zhang et al., 2009, 2019; Shi et al., 2015; Yuan et al., 2016). Excessive accumulation of nutrients had led to the eutrophication issue in the ZJB. In marine systems, the concept of the “Redfield Ratio” has been central to the debate surrounding resource competition (Davidson et al., 1992). Redfield demonstrated that the chemical composition of plankton tends toward an average atomic C:N:P ratio of 106:16:1. The nutrient in least supply relative to the requirements for growth (determined by their biochemical composition) is deemed the “limiting” nutrient. Therefore, an important problem related to HABs is the role of nutrient ratios in governing bloom formation (Davidson et al., 1992, 2014). Based on the long-term analysis of DIN/DIP, the N/P ratio exceeds the normal range of the Redfield Ratio. With the asymmetric increasing of DIN and DIP in these decades, the rate of DIP increase is much faster than DIN in ZJB. The results showed that the concentration of DIN increased threefold from the beginning of the 1990 to 2019 period, while the DIP concentration increased 21-fold. On one hand, the decline of DIN/DIP may be caused by phosphorus fertilizer in the biggest Suixi river watershed. In the watershed, the non-point source of phosphorus fertilizer was widely used in copland and finally entered adjacent coastal water due to the heavy rainfall influence in summer (Zhang P. et al., 2021). On the other hand, the surrounding factories, including fertilizer manufacturing, and large amount of wastewater with high concentrations of phosphorus was also discharged into the rivers entering coastal water (Zhang et al., 2019). The severe imbalance between the N/P ratio caused the nutrient regime in the ZJB to shift from P-limitation to N-limitation, which had great impact on the growth of phytoplankton. Continued nutrient enrichment and the decline of N:P ratio have increased the risk of nutrient-enhanced algal bloom (Chen et al., 2013). Both N and P are of concern in eutrophication, but N has received more attention because it is used to limit primary production in estuaries and coastal waters (Glibert et al., 2005). Under the environment of increasingly serious nitrogen pollution in the sea, sufficient nitrogen sources have become an important reason for the frequent occurrence of coastal HABs in China in recent years (Liang, 2010). Additionally, compared to inorganic nutrients, the organic nutrients (such as urea) in the seawater of the ZJB may have a more signification relationship with HABs. Urea, which has been identified as a source of organic nitrogen, has been used as a nitrogen fertilizer and feed additive, increasing in use by more than 50% over the past decade (Glibert et al., 2005, 2006). Since the 1970s, when the escalation in the use of chemical fertilizer began in China, the number of HABs has increased by 20 times, with blooms that are now of greater geographic extent, more toxic, and more prolonged (Anderson et al., 2002). A previous study has found that urea, originating from land-based input, in the ZJB may have a bioavailable DON source (Zhang et al., 2020a). Thus, organic nutrients in the ZJB could have a significant effect on the HAB events. However, according to other coastal regions (Davidson et al., 2014), it was shown that an anthropogenic nutrient-HABs link is a typical, with insufficient evidence to draw definitive conclusions. Nutrient enrichment has been strongly linked to the stimulation of several harmful species, but for others it has not been an apparent contributing factor (Anderson et al., 2002). Although nutrient pollution is the primary driver of eutrophication, many studies have recognized that the relationship between nutrient pollution and HABs is more complex than previously thought (Glibert et al., 2005; Heisler et al., 2008): not all nutrient loads result in HABs, and not all nutrient effects that result in HABs cause other eutrophication impacts (Glibert and Burford, 2017). The mode of delivery of both inorganic and organic nutrients, especially nitrogen, is not restricted to aquatic sources, while the atmospheric input is also important (Glibert et al., 2005). In, Howarth et al. (2002) found that the atmosphere may contribute up to 40% of the total inorganic and organic nitrogen inputs in many estuarine and coastal waters. Analyzes of the data related to nutrients and climate indicators in the ZJB showed that there were no significant linear relationships between the long-term climate change indicators and nutrient concentration in seawater (P > 0.05) (Figure 9). Previous field studies showed that the land-based nutrients flux input was much greater than atmospheric wet deposition in the ZJB (Chen et al., 2017; Zhang et al., 2019). Therefore, in comparison with land-based nutrient sources input, atmospheric wet deposition may not have a remarkable effect on the nutrient concentration change in the ZJB. Thus, the eutrophication problems in the ZJB may be induced by land-based sources. However, the short-term extreme climate events, such as hydrological change driven by tropical typhoon, cannot be neglected in the contribution of nutrients load from land-based and atmospheric sources input in the tropical coastal eutrophication (O’Neil et al., 2012; Chen et al., 2017; Phlips et al., 2020; Zhang et al., 2020c).
FIGURE 9

Relationships between DIN, DIP, temperature and precipitation in Zhanjiang Bay, China. Data from 1990 to 2020.
Land-Based Sources of Pollutant Input Affecting the Water Quality
Eutrophication originates from the significant increase in the utilization of chemical fertilizers that began in the 1950s and is projected to continue to escalate in the coming decades (Smil, 2001; Glibert et al., 2005). Eutrophication in the ZJB ecosystem may result from a combined influence and change in the relative importance, of several factors, including external nutrient input cycles (primarily the anthropogenic pressures). With the development of Zhanjiang’s social economy in recent years, the government has promoted an industry-oriented development strategy, which allowed the industry to develop rapidly (Shi et al., 2015). Imported projects within the heavy industry have brought tremendous pressure upon the ecological environment of the ZJB (Shi et al., 2015). An environment of estuaries and coastal areas, such as the ZJB, is always influenced by the anthropogenic activity indicators and river runoff (agriculture, industrial wastewater input, etc.) (Zhang J. et al., 2021). Through the correlation analysis of these factors and the nutrients, it was found that these influencing factors had significant impacts on the nutrient concentration in the ZJB coastal seawater, except for industrial wastewater discharge (Figure 10). With the treatment of domestic and industrial wastewater according to the national standard of wastewater discharge in Zhanjiang in recent years, the nutrients discharge load from wastewater has gradually decreased, but the concentration of nutrients still shows an increasing trend in ZJB coastal water. Therefore, the point source (industrial wastewater) is not the predominant influencing factor in the nutrient enrichment of the ZJB. However, the most complex nutrient sources for understanding and regulation are non-point source inputs, such as agricultural runoff, groundwater, and atmospheric deposition (Heisler et al., 2008). Non-point sources are the major sources of the ZJB coastal waters. Land-based source inputs, especially agricultural fertilizer runoff, might be the major means of non-point sources pollution in the ZJB. This situation is caused by the rapid development of the society and the economy around the ZJB, which has led to a continuous increase in nitrogen pollutant emissions and water quality deterioration (Zhang et al., 2019). Similarly, marine aquaculture has accelerated the development of phytoplankton communities (Chen et al., 2001). Zhanjiang has large-scale aquaculture industries, including freshwater and seawater (Zhang et al., 2020a). A previous study has shown that aquaculture pollution in the ZJB seriously threatens the health of the bay’s ecosystem (Li Z. Y. et al., 2012). Simultaneously, the evaluation results revealed that the value of the pollutant treatment function in the ZJB is very limited, and reducing the discharge of land-based pollutants into the bay is the key to the construction of an ecological bay city in Zhanjiang (Li Z. Y. et al., 2012). As the higher rate of DIP increased, governments need to pay more attention on policy about the limiting of the use of P in domestic and agricultural application. Protection of estuarine–coastal ecosystems from the eutrophication syndrome has proven to be a difficult policy challenge, partly because of the diverse sources of nutrients delivered to the coastal waters from urban and agricultural runoff, atmospheric deposition, and point sources such as municipal wastewater treatment plants.
FIGURE 10

Relationship between water quality and anthropogenic pressures.
Integrated Land-Ocean Environment Management in the Zhanjiang Bay
The long-term relationships between eutrophication and anthropogenic pressure indicators in the ZJB suggest that anthropogenic pressures have become a serious threat leading to eutrophication in the ZJB. Rapid increases in population, economic growth, and aquaculture development in the ZJB have resulted in the massive mobilization of bioactive nutrients, such as DIN and DIP, in recent decades. If the effective measures were not taken in coastal water quality protection, the increasing trends are not expected to cease in the next years. Future shared socioeconomic pathways show that high N/P ratios are likely to persist for decades to come, even worsening in a future oriented toward sustainability, and indicate that HABs may be a persistent problem in China’s coastal waters (Wang et al., 2021). Liu et al. (2012) also predicted future trends in water pollution by nitrogen and phosphorus in major rivers worldwide. These results indicate that the ZJB is likely to encounter severe DIN and DIP discharge problems with considerable increases in agricultural activity over the next two decades compared to other major rivers worldwide (Li et al., 2014). The annual discharge of pollutants into the ZJB from the land-based source inputs has greatly exceeded its environmental capacity requirements (Li X. B. et al., 2012). Additionally, based on the numerical modeling systems, a previous study has calculated the environmental capacity of the inner ZJB and proposed land-based source pollution control measures to improve water quality (Shi et al., 2021). Strategies to limit sewage and agricultural and industrial discharges to coastal waters are being implemented in many countries by N and P removal from waste and the control of fertilizer application (Davidson et al., 2014). Therefore, both point and non-point sources in the coastal water environment should be further reduced. Additionally, the land-based pollutants load reduction mismatched the coastal water quality indicator and environmental capacity in ZJB at present (Zhang et al., 2019, 2020a). For example, the nutrients criteria of total nitrogen and phosphorus could be developed for efficiently nutrients load management (Yang et al., 2019). Furthermore, to identify and quantify the critical pollutants source areas and load in the surrounding watersheds, the integrated land–ocean environment management based on environmental capacity of pollutants should be introduced to reduce land-based pollution sources, mitigate eutrophication, and curb the HABs in the ZJB.
Conclusion
Based on a long-term survey in ZJB, carried out over the last three decades, the problems of HABs and eutrophication have been highlighted. HABs rarely occurred before the 1990s but have occurred periodically and frequently since the 2000s. The frequency of HABs was once or twice per year in the ZJB, and the largest area of HABs observed during the study period was 310 km2 in 2005. Most HAB events occur in spring. Additionally, the dominant phytoplankton species were Skeletonema costatum and Phaeocystis globosa, which accounted for 37.50 and 43.75% of the total, respectively. During these years, the concentration of DIN increased by approximately 9.87–58.43 μmol/L, while the concentration of DIP increased by 0.13–3.74 μmol/L. After 2008, the concentrations of DIN and DIP both exceeded the grade IV seawater quality standard. However, the N/P ratio showed decreasing trend from 74.31 to 9.00. This situation caused the ZJB ecosystem to shift from a P-limited oligotrophic state before the 1990s to an N-limited eutrophic state. The significant changes in the composition of the nutrients in the seawater are likely to play an important role in the future development and construction near the ZJB. With the rapid development of society and the economy in Zhanjiang, anthropogenic pressures may be driving the changes in water quality. Integrated land–ocean environment management in the ZJB should be introduced to curb the HABs and improve water quality. In addition, given HAB occurrence and the event response nature of coastal water affected by climate change and anthropogenic pressures in China and worldwide, the long-term integrated monitoring programs should be available for the healthy and sustainable marine environment in the future.
Publisher’s Note
All claims expressed in this article are solely those of the authors and do not necessarily represent those of their affiliated organizations, or those of the publisher, the editors and the reviewers. Any product that may be evaluated in this article, or claim that may be made by its manufacturer, is not guaranteed or endorsed by the publisher.
Statements
Data availability statement
The raw data supporting the conclusions of this article will be made available by the authors, without undue reservation.
Author contributions
PZ: conceptualization, project administration, and writing—original draft preparation. PZ and JiZ: methodology, funding acquisition. CP: visualization and software. CP and JC: validation. PZ and CP: formal analysis. PZ, CP, and HZ: writing—review and editing. JuZ and JC: supervision. All authors listed have made a substantial, direct, and intellectual contribution to the work, and approved it for publication.
Funding
This research was financially supported by the Research and Development Projects in Key Areas of Guangdong Province (2020B1111020004), the Guangdong Basic and Applied Basic Research Foundation (2020A1515110483), the Guangdong Ocean University Fund Project (R18021), the Science and Technology Special Project of Zhanjiang City (2019B01081), the First-Class Special Fund (231419018), the Innovation Strong School Project (230420021) of Guangdong Ocean University.
Acknowledgments
We are grateful for the reviewers’ careful review and valuable suggestions to improve the manuscript.
Conflict of interest
The authors declare that the research was conducted in the absence of any commercial or financial relationships that could be construed as a potential conflict of interest.
References
1
Anderson D. M. Cembella A. D. Hallegraeff G. M. (2012). Progress in understanding harmful algal blooms: paradigm shifts and new technologies for research, monitoring, and management.Annu. Rev. Mar. Sci.4143–176. 10.1146/annurev-marine-120308-081121
2
Anderson D. M. Glibert P. M. Burkholder J. M. (2002). Harmful algal blooms and eutrophication: nutrient sources, composition, and consequences.Estuaries25704–726. 10.1007/BF02804901
3
Anderson D. M. Hoagland P. Kaoru Y. White A. W. (2000). Estimated Annual Economic Impacts from Harmful Algal Blooms (HABs) in the United States.Woods Hole, MA: Woods Hole Oceanographic Institution. 10.1575/1912/96
4
Anderson N. J. (2000). Diatoms, temperature and climate change.Eur. J. Phycol.35307–314. 10.1017/S0967026200002857
5
Antia N. Harrison P. J. Oliveira L. (1991). The role of dissolved organic nitrogen in phytoplankton nutrition, cell biology and ecology.Phycologia301–89. 10.2216/i0031-8884-30-1-1.1
6
AQSIQ (1997). Seawater Quality Standard (GB3097-1997).Beijing: Standards Press of China.
7
Burkholder J. M. Glibert P. M. Skelton H. (2008). Mixotrophy: a major mode of nutrition for harmful algal species in eutrophic waters.Harmful Algae877–93. 10.1016/j.hal.2008.08.010
8
Chen B. H. Wang K. Dong X. Lin H. (2021). Long-term changes in red tides outbreaks in Xiamen Bay in China from 1986 to 2017.Estuar. Coast. Shelf Sci.249:107095. 10.1016/j.ecss.2020.107095
9
Chen D. S. Yan J. H. (2006). A characteristic and impact on water environment current in the gulf sea area of Zhanjiang.Sci. Technol. Eng.142100–2103.
10
Chen F. J. Chen C. Q. Zhou F. X. Lao Q. B. Zhu F. M. Zhang S. W. (2017). Nutrients in atmospheric wet deposition in the Zhanjiang Bay.China Environ. Sci.372055–2063.
11
Chen N. W. Peng B. R. Hong H. S. Turyaheebwa N. Cui S. H. Mo X. J. (2013). Nutrient enrichment and N:P ratio decline in a coastal bay-river system un southeast China: the need for a dual nutrient (N and P) management strategy.Ocean Coast. Manage.817–13. 10.1016/j.ocecoaman.2012.07.013
12
Chen Y. H. Yang Y. F. Jiao N. Z. (2001). Effect of mariculture on the planktonic community and water environments: a review.Mar. Sci.2520–22.
13
Compiling Committee of Records of China Bays (1999). Records of China Bays 10th Fascicule.Beijing: Ocean Press.
14
Corcoran A. A. Hunt R. W. (2021). Capitalizing on harmful algal blooms: from problems to products.Algal Res.55:102265. 10.1016/j.algal.2021.102265
15
Davidson K. Flynn K. J. Cunningham A. (1992). Non-steady state ammonium-limited growth of the marine phytoflagellate, Isochrysis galbana Parke.New Phytol.122433–438. 10.1111/j.1469-8137.1992.tb00070.x
16
Davidson K. Gilpin L. G. Hart M. C. Fouilland E. Mitchell E. Calleja L. A. et al (2007). The influence of the balance of inorganic and organic nitrogen on the trophic dynamics of microbial food webs.Limnol. Oceanogr.522147–2163. 10.4319/lo.2007.52.5.2147
17
Davidson K. Gowen R. J. Harrison P. J. Fleming L. E. Hoagland P. Moschonas G. (2014). Anthropogenic nutrients and harmful algae in coastal waters.J. Environ. Manage.146206–216. 10.1016/j.jenvman.2014.07.002
18
Department of Natural Resources of Guangdong Province (2013-2020). Guangdong Marine Disaster Bulletin.Guangzhou: Department of Natural Resources of Guangdong Province.
19
Desmit X. Thieu V. Billen G. Campuzano F. Dulière V. Garnier J. et al (2018). Reducing eutrophication may require a paradigmatic change.Sci. Total Environ.6351444–1466. 10.1016/j.scitotenv.2018.04.181
20
Dybas C. (2018). Two Decades of Hurricanes Change Coastal Ecosystems: Increase Algae Blooms, Fish Kills, Dead Zones. Available Online at: https://phys.org/news/2018-05-decades-hurricanes-coastal-ecosystemsincrease-algae.html[accessed May 3, 2018].
21
Emanuel K. (2005). Increasing destructiveness of tropical cyclones over the past 30 years.Nature436686–688. 10.1038/nature03906
22
Fasullo J. T. Otto-Bliesner B. L. Stevenson S. (2018). ENSO’s changing influence on temperature, precipitation and wildfire in a warming climate.Geophys. Res. Lett.459216–9225. 10.1029/2018GL079022
23
Ferreira J. G. Andersen J. H. Borja A. Bricker S. B. Camp J. Cardoso da Silva M. et al (2011). Overview of eutrophication indicators to assess environmental status within the European marine strategy framework directive.Estuar. Coast. Shelf Sci.93117–131. 10.1016/j.ecss.2011.03.014
24
Flynn K. J. Mitra A. Glibert P. M. Burkholder J. M. (2018). “Mixotrophy in harmful algal blooms: by whom, on whom, when, why, and what next,” in Global Ecology and Oceanography of Harmful Algal Blooms, edsGlibertP. M.BerdaletE.BurfordM. A.PitcherG. C.ZhouM. (Cham: Springer), 113–132. 10.1007/978-3-319-70069-4_7
25
Frigstad H. Andersen T. Hessen D. O. Jeansson E. Skogen M. D. Naustvoll L. J. et al (2013). Long-term trends in carbon, nutrients and stoichiometry in Norwegian coastal waters: evidence of a regime shift.Prog. Oceanogr.111113–124. 10.1016/j.pocean.2013.01.006
26
Glibert P. M. Burford M. A. (2017). Globally changing nutrient loads and harmful algal blooms.Oceanography3058–69. 10.5670/oceanog.2017.110
27
Glibert P. M. Seitzinger S. P. Heil C. A. Burkholder J. M. Parrow M. W. Codispoti L. A. et al (2005). The role of eutrophication in the global proliferation of harmful algal blooms.Oceanography18198–209. 10.5670/oceanog.2005.54
28
Glibert P. M. (2020). Harmful algae at the complex nexus of eutrophication and climate change.Harmful Algae91:101583. 10.1016/j.hal.2019.03.001
29
Glibert P. M. Harrison J. Heil C. Seitzinger S. (2006). Escalating worldwide use of urea- a global change contributing to coastal eutrophication.Biogeochemistry77441–463. 10.1007/s10533-005-3070-5
30
Glibert P. M. Magnien R. Lomas M. W. Alexander J. Fan C. Haramoto E. et al (2001). Harmful algal blooms in the Chesapeake and coastal bays of Maryland, USA: comparison of 1997, 1998, and 1999 events.Estuaries24875–883. 10.2307/1353178
31
Gomez F. A. Lee S. K. Hernandez F. J. Jr. Chiaverano L. M. Muller-Karger F. E. Liu Y. Y. et al (2019). ENSO-induced co-variability of salinity, plankton biomass and coastal currents in the northern Gulf of Mexico.Sci. Rep.9:178. 10.1038/s41598-018-36655-y
32
Granéli E. Carlsson P. Legrand C. (1999). The role of C, N and P in dissolved and particulate organic matter as a nutrient source for phytoplankton growth, including toxic species.Aquat. Ecol.3317–27. 10.1023/A:1009925515059
33
Greening H. Janicki A. Sherwood E. T. Pribble R. Johansson J. O. R. (2014). Ecosystem responses to long-term nutrient management in an urban estuary: Tampa Bay, Florida, USA.Estuar. Coast. Shelf Sci.151A1–A16. 10.1016/j.ecss.2014.10.003
34
Guangdong Municipal Statistics Bureau (2019). Guangdong Statistical Yearbook, 2018.Guangzhou: Guangdong Bureau of Statistics.
35
Guangdong Oceanic and Fishery Bureau (2005-2012). Marine Environment Quality Bulletin of Guangdong Province.Guangzhou: Guangdong Oceanic and Fishery Bureau.
36
Guo J. Yang W. D. Liu J. S. Fan Z. H. (2007). Effects of salinity, temperature and light intensity on the growth and toxin production of Phaeocystis globosa.Acta Sci. Circumstantiae271341–1346.
37
Harding L. W. Gallegos C. L. Perry E. S. Miller W. D. Adolf J. E. Mallonee M. E. et al (2016). Long-term trends of nutrients and phytoplankton in Chesapeake Bay.Estuaries Coast.39664–681. 10.1007/s12237-015-0023-7
38
Harding L. W. Mallonee M. E. Perry E. S. Miller W. D. Adolf J. E. Gallegos C. L. et al (2019). Long-term trends, current status, and transitions of water quality in Chesapeake Bay.Sci. Rep.9:6709. 10.1038/s41598-019-43036-6
39
He C. Song S. Q. Li C. W. (2019). The spatial-temporal distribution of Phaeocystis globose colonies and related affecting factors in Guangxi Beibu Gulf.Oceanol. Limnol. Sin.50630–643.
40
Heisler J. Glibert P. M. Burkholder J. M. Anderson D. M. Cochlan W. Dennison W. C. et al (2008). Eutrophication and harmful algal blooms: a scientific consensus.Harmful Algae83–13. 10.1016/j.hal.2008.08.006
41
Howarth R. W. Marino R. (2006). Nitrogen as the limiting nutrient for eutrophication in coastal marine ecosystems: evolving views over three decades.Limnol. Oceanogr.51364–376. 10.4319/lo.2006.51.1_part_2.0364
42
Howarth R. W. Sharpley A. Walker D. (2002). Sources of nutrient pollution to coastal waters in the United States: implications for achieving coastal water quality goals.Estuaries25656–676. 10.1007/BF02804898
43
Huo W. Y. Yu Z. M. Zou J. Z. Song X. X. Hao J. H. (2001). Outbreak of Skeletonema costatum red tide and its relation to environment al factors in the Jiaozhou Bay.Oceanol. Limnol. Sin.32312–317.
44
Li H. M. Tang H. J. Shi X. Y. Zhang C. S. Wang X. L. (2014). Increased nutrient loads from the Changjiang (Yangtze) River have led to increased harmful algal blooms.Harmful Algae3992–101. 10.1016/j.hal.2014.07.002
45
Li L. Lv S. H. (2009). A 30-year retrospective analysis over the detrimental algal blooms in Guangdong coastal areas.J. Safe Environ.983–86.
46
Li M. Ni W. Zhang F. Glibert P. M. Lin C. H. M. (2020). Climate-induced interannual variability and projected change of two harmful algal bloom taxa in Chesapeake Bay, USA.Sci. Total Environ.744:140947. 10.1016/j.scitotenv.2020.140947
47
Li X. B. Sun X. Y. Niu F. X. Song J. (2012). Numerical study on the water exchange of a semi-closed bay.Mar. Sci. Bull.31248–254.
48
Li Z. Y. Xu S. J. Xu H. Y. Cai X. (2012). Value assessment of marine ecosystem service in Zhanjiang Bay.Mar. Environ. Sci.31567–571.
49
Liang S. K. Pearson S. Wu W. Ma Y. J. Qiao L. L. Wang X. H. et al (2015). Reseach and integrated coastal zone management in rapidly developing estuarine harbours: a review to inform sustainment of functions in Jiaozhou Bay, China.Ocean Coast. Manage.116470–477. 10.1016/j.ocecoaman.2015.09.014
50
Liang Y. (2010). Response of Typical HABs Microalgaes to Nitrogen and Phosphorus.Guangzhou: Jinan University.
51
Lin C. H. Flynn K. J. Mitra A. Glibert P. M. (2018). Simulating effects of variable stoichiometry and temperature on mixotrophy in the harmful dinoflagellate Karlodinium veneficum.Front. Mar. Sci.5:320. 10.3389/fmars.2018.00320
52
Liu C. Kroeze C. Hoekstra A. Y. Gerbens-Leenes W. (2012). Past and future trends in grey water footprints of anthropogenic nitrogen and phosphorus inputs to major world rivers.Ecol. Indic.1842–49. 10.1016/j.ecolind.2011.10.005
53
Liu L. S. Zhou J. Zheng B. H. Cai W. Q. Lin K. X. Tang J. L. (2013). Temporal and spatial distribution of red tide outbreaks in the Yangtze River Estuary and adjacent waters, China.Mar. Pollut. Bull.72213–221. 10.1016/j.marpolbul.2013.04.002
54
Lv J. Fang H. P. Li K. J. Zhang L. Z. Li Q. (2002). Water quality investigation and assessment on seawater in Zhanjiang Port-Bay.Environ. Prot. Transport2316–18, 24.
55
Mallin M. A. Corbett C. A. (2006). How hurricane attributes determine the extent of environmental effects: multiple hurricanes and different coastal systems.Estuaries Coast.291046–1061. 10.1007/BF02798667
56
McQuatters-Gollop A. Raitsos D. Edwards M. Pradhan Y. Mee L. Lavender S. (2007). A long-term chlorophyll dataset reveals regime shift in North Sea phytoplankton biomass unconnected to nutrient levels.Limnol. Oceanogr.52635–648. 10.4319/lo.2007.52.2.0635
57
Miller W. D. Harding L. W. Adolf J. E. (2006). Hurricane Isabel generated an unusual fall bloom in Chesapeake Bay.Geophys. Res. Lett.33:LO6612. 10.1029/2005GL025658
58
Mohamed Z. A. (2018). Potentially harmful microalgae and algal blooms in the Red Sea: current knowledge and research needs.Mar. Environ. Res.140234–242. 10.1016/j.marenvres.2018.06.019
59
Mohamed Z. A. Al-Shehri A. M. (2012). The link between shrimp farm runoff and blooms of toxic Heterosigma akashiwo in Red Sea coastal waters.Oceanologia54287–309. 10.5697/oc.54-2.287
60
O’Neil J. M. Davis T. W. Burford M. A. Gobler C. J. (2012). The rise of harmful cyanobacteria blooms: the potential roles of eutrophication and climate change.Harmful Algae14313–334. 10.1016/j.hal.2011.10.027
61
Pete R. Davidson K. Hart M. C. Gutierrez T. Miller A. E. J. (2010). Diatom derived dissolved organic matter as a driver of bacterial productively: the role of nutrient limitation.J. Exp. Mar. Biol. Ecol.39120–26. 10.1016/j.jembe.2010.06.002
62
Phlips E. J. Badylak S. Nelson N. G. Havens K. E. (2020). Hurricanes, El Niño and harmful algal blooms in two sub-tropical Florida estuaries: direct and indirect impacts.Sci. Rep.10:1910. 10.1038/s41598-020-58771-4
63
Shen P. P. Qi Y. Z. Ou L. J. (2018). Phaeocystis globosa in coastal China: taxonomy, distribution, and its blooms.Mar. Sci.10146–162.
64
Shi Y. H. Jia L. W. Lin Y. T. (2021). Environmental capacity calculation and sewage treatment in the inner Zhanjiang Bay.J. Trop. Oceanogr.40134–142.
65
Shi Y. Z. Zhang Y. B. Sun S. L. (2015). Spatiotemporal distribution of eutrophication and its relationship with environmental factors in Zhanjiang Sea Bay Area.J. Environ. Sci. Technol.3890–96, 122.
66
Smayda T. J. (1990). “Novel and nuisance phytoplankton blooms in the sea: evidence for a global epidemic,” in Toxic Marine Phytoplankton, edsGranéliE.SundströmB.EdlerL.AndersonD. M. (New York, NY: Elsevier), 29–40.
67
Smil V. (2001). Enriching the Earth: Fritz Haber, Carl Bosch, and the Transformation of World Food.Cambridge: The MIT Press. 10.7551/mitpress/2767.001.0001
68
Song N. Wang N. Wu N. Lin W. N. (2018). Temporal and spatial distribution of harmful algal blooms in the Bohai Sea during 1952-2016 based on GIS.China Environ. Sci.381142–1148.
69
Stoecker D. K. (1999). Mixotrophy among dinoflagellates.J. Eukaryot. Microbiol.46397–401. 10.1111/j.1550-7408.1999.tb04619.x
70
Svirčev Z. Lalić D. Savić G. B. Tokodi N. Backović D. D. Chen L. et al (2019). Global geographical and historical overview of cyanotoxin distribution and cyanobacterial poisonings.Arch. Toxicol.932429–2481. 10.1007/s00204-019-02524-4
71
Tilman D. (1977). Resource competition between plankton algae: an experimental and theoretical approach.Ecology58338–348. 10.2307/1935608
72
Wang B. D. (2006). Cultural eutrophication in the Changjiang (Yangtze River) plume: history and perspective.Estuar. Coast. Shelf Sci.69474–477. 10.1016/j.ecss.2006.05.010
73
Wang B. D. Xin M. Wei Q. S. Xie L. P. (2018). A historical overview of coastal eutrophication in China Seas.Mar. Pollut. Bull.136394–400. 10.1016/j.marpolbul.2018.09.044
74
Wang J. J. Bouwman A. F. Liu X. C. Beusen A. H. W. Dingenen R. V. Dentener F. et al (2021). Harmful algal blooms in Chinese coastal waters will persist due to perturbed nutrient ratios.Environ. Sci. Technol. Lett.8276–284. 10.1021/acs.estlett.1c00012
75
Webster P. J. Holland G. J. Curry J. A. Chang H. R. (2005). Changes in tropical cyclone number, duration, and intensity in a warming environment.Science3091844–1846. 10.1126/science.1116448
76
Wells M. L. Trainer V. L. Smayda T. J. Karlson B. S. Trick C. G. Kudela R. M. et al (2015). Harmful algal blooms and climate change: learning from the past and present to forecast the future.Harmful Algae4968–93. 10.1016/j.hal.2015.07.009
77
Xu Y. Zhang T. Zhou J. (2019). Historical occurrence of algal blooms in the northern Beibu Gulf of China and implications for future trends.Front. Microbiol.10:451. 10.3389/fmicb.2019.00451
78
Yang F. Mi T. Chen H. Yao Q. (2019). Developing numeric nutrient criteria for the Yangtze River Estuary and adjacent waters in China.J. Hydrol.579:124188. 10.1016/j.jhydrol.2019.124188
79
Yang L. Q. Mou S. L. Li H. M. Zhang Z. H. Jiao N. Z. Zhang Y. Y. (2021). Terrestrial input of herbicides has significant impacts on phytoplankton and bacterioplankton communities in coastal waters.Limnol. Oceanogr.664028–4045. 10.1002/lno.11940
80
Yu R. C. Zhang Q. C. Kong F. Z. Zhou Z. X. Chen Z. F. Zhao Y. et al (2017). Status, impacts and long changes of harmful algae blooms in the sea area adjacent to the Changjiang River estuary.Oceanol. Limnol. Sin.481178–1186.
81
Yu Z. M. Chen N. S. (2019). Emerging trends in red tide and major research processes.Oceanol. Limnol. Sin.50474–486.
82
Yuan Q. Xu Z. Y. Peng H. Q. Lu J. M. Huang L. C. Liang X. J. et al (2016). Research on nitrogen and phosphorus variation trend in Zhanjiang harbor and its near waters in recent five years.J. Green Sci. Technol.2441–45.
83
Zhang J. Zhang Y. Zhang P. Li Y. Li J. Luo X. et al (2021). Seasonal phosphorus variation in coastal water affected by the land-based sources input in the eutrophic Zhanjiang Bay, China.Estuar. Coast. Shelf Sci.252:107277. 10.1016/j.ecss.2021.107277
84
Zhang P. Dai P. Zhang J. Li J. Zhao H. Song Z. (2021). Spatiotemporal variation, speciation, and transport flux of TDP in Leizhou Peninsula coastal waters, South China Sea.Mar. Pollut. Bull.167:112284. 10.1016/j.marpolbul.2021.112284
85
Zhang L. Z. Yu L. Tang M. S. (2009). Eutrophication and red tide in coastal waters of Zhanjiang port.Water Resour. Prot.2550–54.
86
Zhang P. Peng C. H. Zhang J. B. Zou Z. B. Shi Y. Z. Zhao L. R. et al (2020a). Spatiotemporal urea distribution, sources, and indication of DON bioavailability in Zhanjiang Bay, China.Water12:633. 10.3390/w12030633
87
Zhang P. Xu J. L. Zhang J. B. Li J. X. Zhang Y. C. Li Y. et al (2020b). Spatiotemporal dissolved silicate variation, sources, and behavior in the eutrophic Zhanjiang Bay, China.Water12:3586. 10.3390/w12123586
88
Zhang P. Ruan H. M. Dai P. D. Zhao L. R. Zhang J. B. (2020c). Spatiotemporal river flux and composition of nutrients affecting adjacent coastal water quality in Hainan Island, China.J. Hydrol.591:125293. 10.1016/j.jhydrol.2020.125293
89
Zhang P. Su Y. Liang S. K. Li K. Q. Li Y. B. Wang X. L. (2017). Assessment of long-term water quality variation affected by high-intensity land-based inputs and land reclamation in Jiaozhou Bay, China.Ecol. Indic.75210–219. 10.1016/j.ecolind.2016.12.035
90
Zhang P. Wei L. R. Lai J. Y. Dai P. D. Zhang J. B. (2019). Concentration, composition and fluxes of terrestrial nitrogen and phosphorus source pollutants input into Zhanjiang Bay in summer.J. GDOU3946–55.
91
Zhanjiang Municipal Statistics Bureau (2007-2011). Bulletin of Marine Environmental Status of Zhanjiang.Zhanjiang: Zhanjiang Oceanic and Fishery Bureau.
92
Zhanjiang Oceanic and Fishery Bureau (2000-2020). Bulletin of Marine Environmental Status of Zhanjiang.Zhanjiang: Zhanjiang Oceanic and Fishery Bureau.
93
Zhanjiang Oceanic and Fishery Bureau (2007-2011). Bulletin of Marine Environmental Status of Zhanjiang.Zhanjiang: Zhanjiang Oceanic and Fishery Bureau.
94
Zhou M. Zhu M. Zhang J. (2001). Status of harmful algal blooms and related research activities in China.Chin. Bull. Life Sci.1353–59.
Summary
Keywords
long-term trends, harmful algal blooms, nutrient regimes, climate change, anthropogenic pressures, coastal water
Citation
Zhang P, Peng C, Zhang J, Zhang J, Chen J and Zhao H (2022) Long-Term Harmful Algal Blooms and Nutrients Patterns Affected by Climate Change and Anthropogenic Pressures in the Zhanjiang Bay, China. Front. Mar. Sci. 9:849819. doi: 10.3389/fmars.2022.849819
Received
06 January 2022
Accepted
24 February 2022
Published
04 April 2022
Volume
9 - 2022
Edited by
Kenneth Mei Yee Leung, City University of Hong Kong, Hong Kong SAR, China
Reviewed by
Xingyu Song, South China Sea Institute of Oceanology (CAS), China; Yongyu Zhang, Qingdao Institute of Bioenergy and Bioprocess Technology (CAS), China
Updates
Copyright
© 2022 Zhang, Peng, Zhang, Zhang, Chen and Zhao.
This is an open-access article distributed under the terms of the Creative Commons Attribution License (CC BY). The use, distribution or reproduction in other forums is permitted, provided the original author(s) and the copyright owner(s) are credited and that the original publication in this journal is cited, in accordance with accepted academic practice. No use, distribution or reproduction is permitted which does not comply with these terms.
*Correspondence: Jibiao Zhang, zhangjb@gdou.edu.cn
This article was submitted to Marine Pollution, a section of the journal Frontiers in Marine Science
Disclaimer
All claims expressed in this article are solely those of the authors and do not necessarily represent those of their affiliated organizations, or those of the publisher, the editors and the reviewers. Any product that may be evaluated in this article or claim that may be made by its manufacturer is not guaranteed or endorsed by the publisher.