ORIGINAL RESEARCH article
Front. Microbiol.
Sec. Virology
Expression and significance of INTS10 and IRF3 in chronic hepatitis B patients
Provisionally accepted- First Affiliated Hospital of Fujian Medical University, Fuzhou, China
Select one of your emails
You have multiple emails registered with Frontiers:
Notify me on publication
Please enter your email address:
If you already have an account, please login
You don't have a Frontiers account ? You can register here
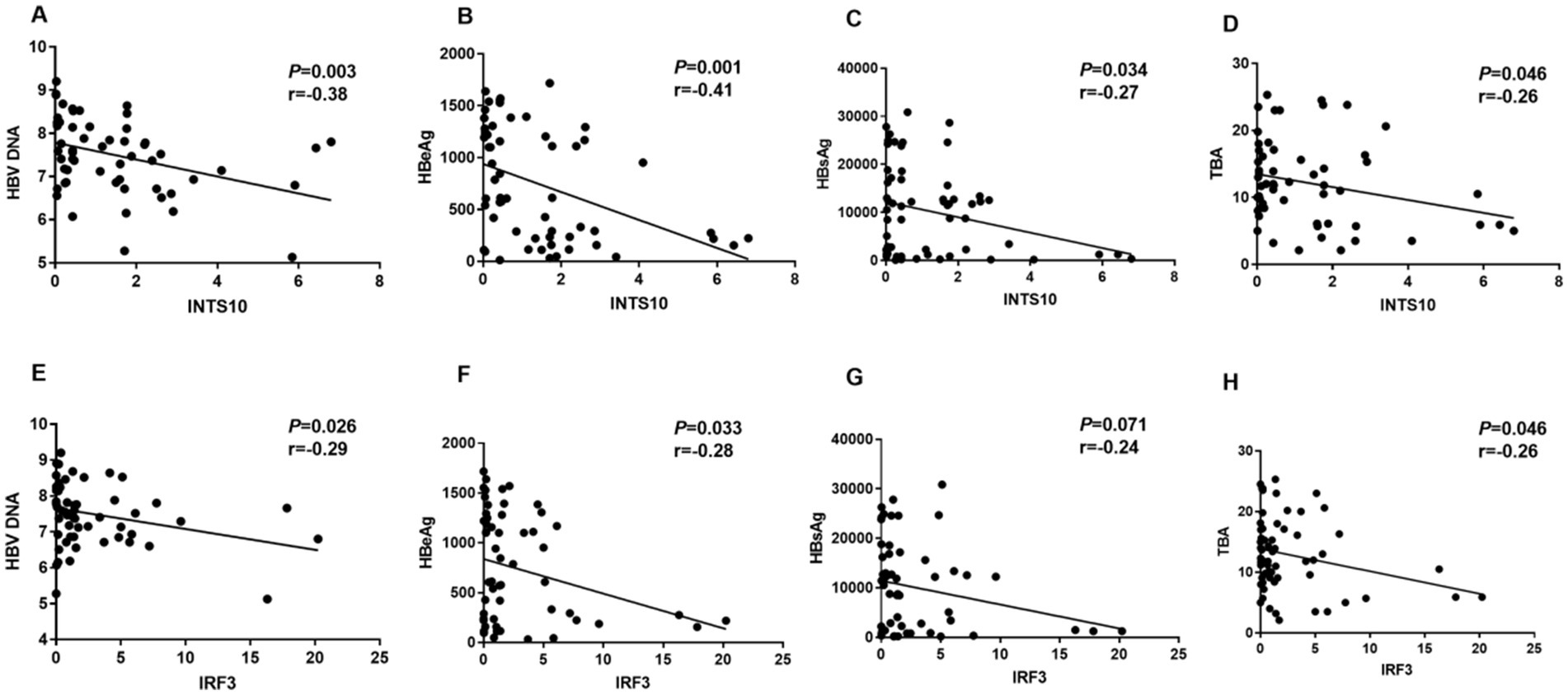
ABSTRACT Hepatitis B virus (HBV) infection remains a major global health issue, affecting millions of individuals worldwide. Persistent HBV infection is recognized as a multifactorial and polygenic process involving virological, environmental, and host genetic determinants. Previous in vitro studies have shown that INTS10 suppresses HBV replication in an interferon regulatory factor 3 (IRF3)-dependent manner. However, the associations among INTS10 expression, IRF3, and HBV replication in patients with chronic hepatitis B (CHB) have not been thoroughly investigated. Therefore, this study aimed to explore the relationship between INTS10, IRF3, and HBV replication in CHB patients. A total of 127 CHB treatment-naïve patients were enrolled and stratified into hepatitis B e antigen (HBeAg) negative and HBeAg-positive groups. We employed quantitative PCR to measure INTS10 and IRF3 expression levels, along with serum HBV DNA load and conventional liver biochemical parameters, to assess HBV infection status. Our results demonstrated that both INTS10 and IRF3 expression levels were significantly lower in HBeAg-positive patients compared to HBeAg-negative patients. Furthermore, IRF3 expression was positively correlated with INTS10 expression. In HBeAg-positive CHB patients, INTS10 and IRF3 levels showed a negative correlation with HBV DNA, HBeAg, hepatitis B surface antigen (HBsAg) and total bile acid (TBA) levels. In contrast, no significant correlations were observed between INTS10 or IRF3 and these virological and biochemical markers in HBeAg-negative patients. These findings suggest that the association between INTS10 and IRF3 expression may be modulated by HBeAg status. This implies a potential role for HBeAg in the antiviral mechanisms mediated by INTS10 and IRF3 in CHB. Consequently, our study provides insights that may contribute to improved clinical management of HBV infection.
Keywords: INTS10, Hepatitis B virus (HBV), Chronic hepatitis B (CHB), interferonregulatory factor 3 (IRF3), HBV infection
Received: 10 Apr 2025; Accepted: 12 Nov 2025.
Copyright: © 2025 Ye, Chen, Qiu and Wu. This is an open-access article distributed under the terms of the Creative Commons Attribution License (CC BY). The use, distribution or reproduction in other forums is permitted, provided the original author(s) or licensor are credited and that the original publication in this journal is cited, in accordance with accepted academic practice. No use, distribution or reproduction is permitted which does not comply with these terms.
* Correspondence:
Dongbiao Qiu, 2862852813@qq.com
Wennan Wu, wuwennan2009@163.com
Disclaimer: All claims expressed in this article are solely those of the authors and do not necessarily represent those of their affiliated organizations, or those of the publisher, the editors and the reviewers. Any product that may be evaluated in this article or claim that may be made by its manufacturer is not guaranteed or endorsed by the publisher.
