ORIGINAL RESEARCH article
Front. Microbiol.
Sec. Extreme Microbiology
This article is part of the Research TopicMicrobial Survival and Communities in Thawing PermafrostView all 5 articles
Consistent microorganisms respond during aerobic thaw of Alaskan permafrost soils
Provisionally accepted- 1Indiana University, Bloomington, United States
- 2University of New Hampshire, Durham, North Carolina, United States
- 3Cold Regions Research and Engineering Laboratory, Hanover, New Hampshire, United States
Select one of your emails
You have multiple emails registered with Frontiers:
Notify me on publication
Please enter your email address:
If you already have an account, please login
You don't have a Frontiers account ? You can register here
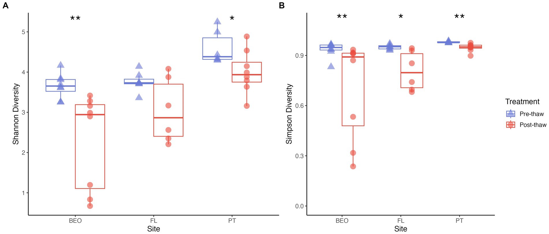
Arctic systems are experiencing warming at four times the rate of the global average, causing permafrost—permanently frozen soil, ice, organic matter, and bedrock—to thaw. Permafrost thaw exposes previously unavailable soil carbon and nutrients to decomposition—a process mediated by microbes—which releases greenhouse gases such as carbon dioxide and methane into the atmosphere. While it is well-established that thaw alters the composition and function of the permafrost microbiome, patterns revealing common responses to thaw across different permafrost soil types have not yet emerged. Here, we address how permafrost thaw impacts microbiome diversity, alters species abundance, and contributes to carbon flux in the Arctic. We sampled peat-like, mineral, and organic-mineral permafrost from three locations in central and northern Alaska and assessed their abiotic soil properties and microbiome characteristics before and after a 3-month laboratory microcosm incubation. In all sites, prokaryotic biomass increased following thaw, measured as 16S rRNA gene copy number. This change in biomass was positively correlated with cumulative respiration, indicating an increase in microbial activity post-thaw. We assessed the thaw response of microbial taxa across three sites, identifying taxa that significantly increased in abundance post-thaw. Common responders shared across all sites belonged to the families Beijerinckiaceae, Burkholderiaceae, Clostridiaceae, Oxalobacteraceae, Pseudomonadaceae, and Sporichthyaceae, indicating a common set of taxa that consistently respond to thaw regardless of site-specific conditions. Alpha diversity decreased with thaw across all sites, which likely reflects the increased dominance of specific thaw-responsive taxa, which may be driving post-thaw biogeochemistry and increased respiration. Taken together, we deepen the understanding of different permafrost microbiomes and their response to thaw, which has implications for the permafrost–climate feedback and enables more accurate predictions of how Arctic ecosystem structure and function respond to change.
Keywords: permafrost microbiology, Permafrost thaw, soil microbes, 16S bacterial ribosomal RNA, carbon flux
Received: 25 Jun 2025; Accepted: 10 Oct 2025.
Copyright: © 2025 O'Brien, Blais, Holland-Moritz, Shek, Douglas, Barbato and Ernakovich. This is an open-access article distributed under the terms of the Creative Commons Attribution License (CC BY). The use, distribution or reproduction in other forums is permitted, provided the original author(s) or licensor are credited and that the original publication in this journal is cited, in accordance with accepted academic practice. No use, distribution or reproduction is permitted which does not comply with these terms.
* Correspondence:
Joy M O'Brien, joyobri@iu.edu
Jessica Gilman Ernakovich, jessica.ernakovich@unh.edu
Disclaimer: All claims expressed in this article are solely those of the authors and do not necessarily represent those of their affiliated organizations, or those of the publisher, the editors and the reviewers. Any product that may be evaluated in this article or claim that may be made by its manufacturer is not guaranteed or endorsed by the publisher.
