ORIGINAL RESEARCH article
Front. Microbiol.
Sec. Terrestrial Microbiology
This article is part of the Research TopicSoil microbial ecology and soil ecosystem functions for addressing climate change and maintaining ecological sustainabilityView all 5 articles
Soil biodiversity and network complexity jointly drive soil multifunctionality in an open cast coal mine
Provisionally accepted- Shanxi University, Taiyuan, China
Select one of your emails
You have multiple emails registered with Frontiers:
Notify me on publication
Please enter your email address:
If you already have an account, please login
You don't have a Frontiers account ? You can register here
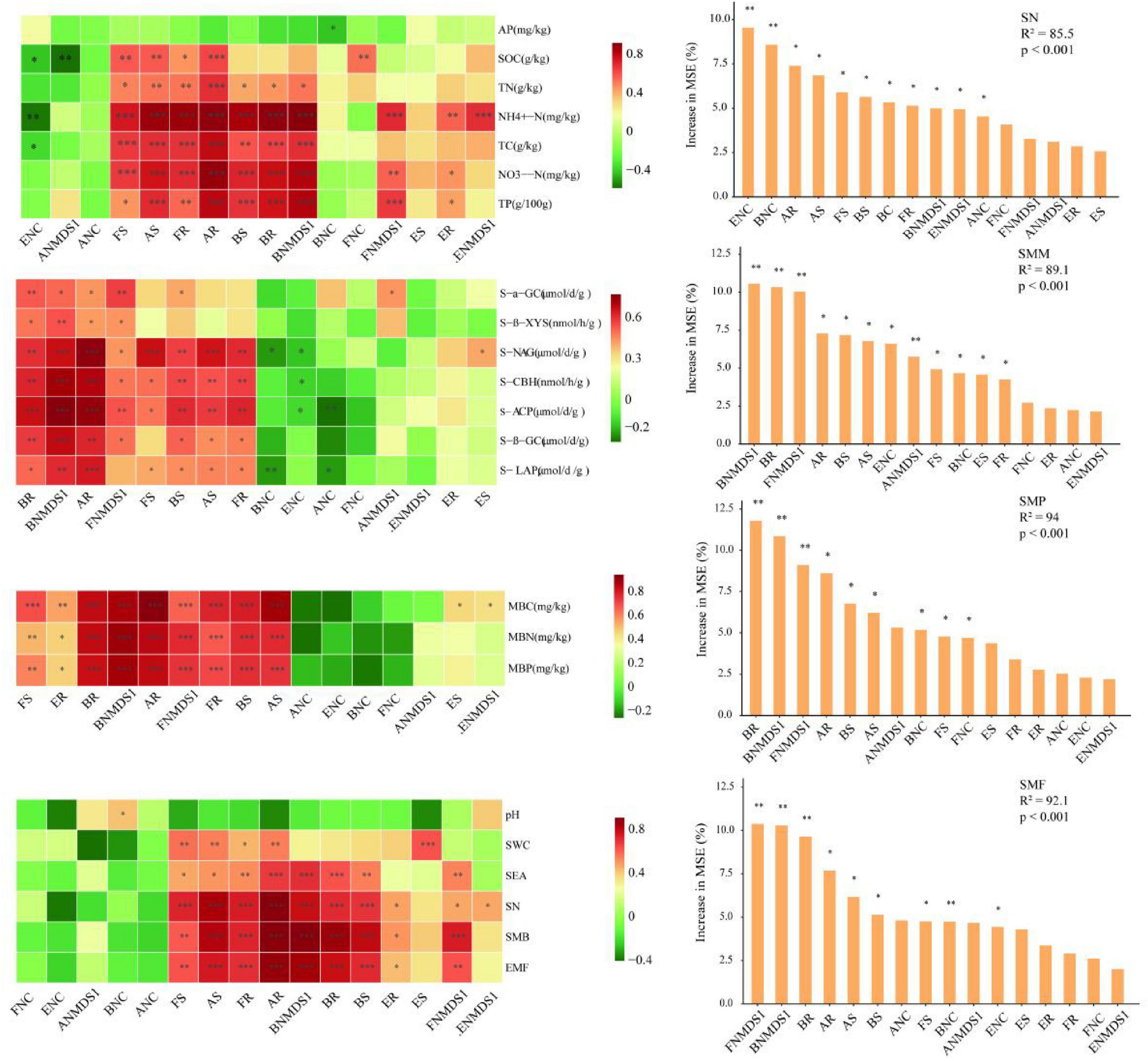
Intensive opencast coal mining has severely degraded soil ecosystem structure and function. While ecological reclamation is known to enhance soil biodiversity and multifunctionality (SMF), the mechanisms—particularly the roles of soil biodiversity and network complexity in mediating the effect of reclamation strategies on SMF — remain poorly understood. To address this, we employed a space-for-time substitution approach across a 30-year restoration chronosequence in the Antaibao opencast coal mine, northern China. This design included naturally restored grasslands and forests, artificially reclaimed vegetation, and unreclaimed bare land, representing different restoration types. We investigated how SMF is driven by the α-diversity, β-diversity, and network complexity of soil bacterial, archaeal, fungal, and eukaryotic communities. We quantified soil multifunctionality (SMF) as the average Z-score of 19 standardized variables representing soil nutrients, enzyme activities, and microbial biomass. The network complexity was assessed using standardized topological features. The results showed that ecological reclamation practices significantly improved the SMF, and the mixed coniferous and broad-leaved forests exhibited the greatest SMF, followed by pure forests and grasslands. The α-diversity of bacteria, archaea, fungi, and eukaryota showed significant positive correlation with SMF. The β-diversity of bacteria and fungi showed significant positive correlation with SMF. In addition, compared to naturally restored plots, artificial ecological reclamation increased the network complexity of bacteria and archaea, and decreased the network complexity of eukaryotes. Random Forest (RF) and multiple regression analysis are shown the β-diversity of bacteria and fungi were the dominant factors affecting the recovery of SMF. The network complexity of bacteria, archaea, and eukaryotes also had a important role in the recovery of SMF. Taken together, future studies that integrate multiple taxonomic groups and systematically examine their multi-dimensional attributes, such as community composition and network structure, will help elucidate the mechanisms by which belowground soil communities drive SMF.
Keywords: ecological restoration measures, soil biodiversity, soil network complexity, Soil multifunctionality, Multiple taxa
Received: 18 Jul 2025; Accepted: 31 Oct 2025.
Copyright: © 2025 Xu, Liu, Li, Wang and Zhang. This is an open-access article distributed under the terms of the Creative Commons Attribution License (CC BY). The use, distribution or reproduction in other forums is permitted, provided the original author(s) or licensor are credited and that the original publication in this journal is cited, in accordance with accepted academic practice. No use, distribution or reproduction is permitted which does not comply with these terms.
* Correspondence: Yong  Liu, liuyong@sxu.edu.cn
Disclaimer: All claims expressed in this article are solely those of the authors and do not necessarily represent those of their affiliated organizations, or those of the publisher, the editors and the reviewers. Any product that may be evaluated in this article or claim that may be made by its manufacturer is not guaranteed or endorsed by the publisher.
