ORIGINAL RESEARCH article
Front. Microbiol.
Sec. Terrestrial Microbiology
This article is part of the Research TopicMicrobial-driven Carbon, Nitrogen and Phosphorus Cycling Mechanisms in Terrestrial EcosystemsView all 5 articles
Depth-dependent stabilization mechanisms of soil organic carbon and total nitrogen in different mixed modes of subtropical Moso bamboo forests
Provisionally accepted- 1Institute of Geographic Sciences and Natural Resources Research Chinese Academy of Sciences, Beizing 100101, China
- 2Chinese Academy of Sciences Institute of Geographic Sciences and Natural Resources Research, Beijing, China
Select one of your emails
You have multiple emails registered with Frontiers:
Notify me on publication
Please enter your email address:
If you already have an account, please login
You don't have a Frontiers account ? You can register here
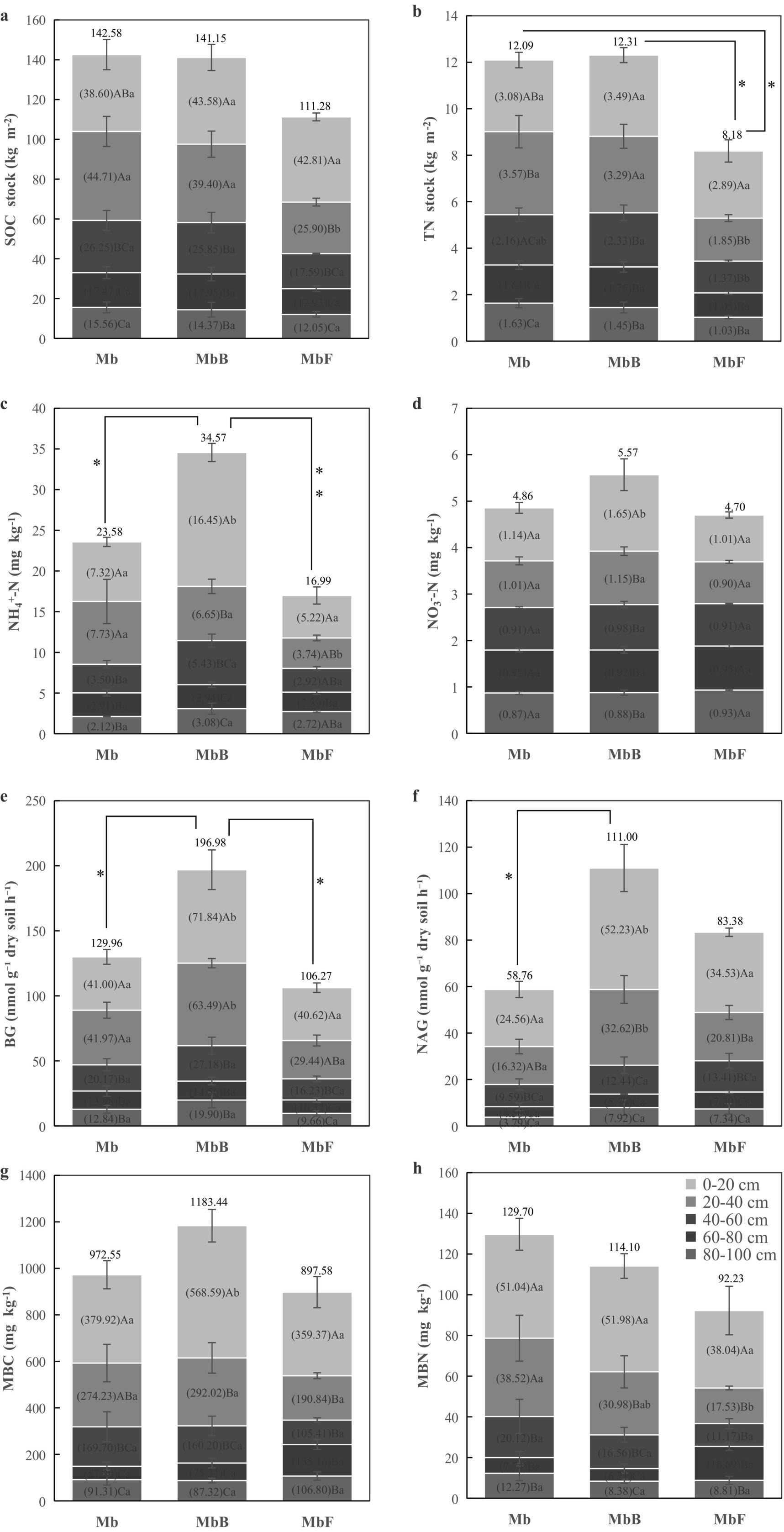
Forest soils play a pivotal role in terrestrial carbon (C) sequestration and nitrogen (N) cycling, particularly in subtropical Moso bamboo (Phyllostachys edulis) forests ecosystems. While prior studies have explored soil organic carbon (SOC) and total nitrogen (TN) dynamics in bamboo systems, the depth-dependent stabilization mechanisms governing these stocks under contrasting mixed-species regimes remain unresolved, limiting predictions of long-term C/N storage. Here, we investigated SOC and TN in stratified soil samples (0–100 cm) across three forest types in southeastern China: pure Moso bamboo (Mb), mixed Moso bamboo-evergreen broadleaved (MbB), and mixed Moso bamboo-Chinese fir (Cunninghamia lanceolata) (MbF) forests. Results showed that SOC and TN stocks showed no significant differences between MbB and Mb across all soil layers (0–20, 20–40, 40–60, 60–80, and 80–100 cm) or within the entire 0–100 cm soil profile. While soils (0–100 cm) in MbB exhibited enhanced enzyme activity (β-glucosidase: +52%; N-acetyl-glucosaminidase: +89%) and ammonium availability (+47%) compared to Mb, equivalent SOC and TN stocks across 0–100 cm profiles revealed microbial priming effects and stoichiometric constraints offsetting litter-derived C gains. In contrast, MbF displayed substantial TN depletion (-32% vs Mb) across the entire 0–100 cm soil profile with parallel SOC/TN reductions in subsurface layers (20–40 cm: -42% SOC, -48% TN), driven by coniferous lignin inputs and microbial N mining, no significant differences were detected in the 0–20, 40–60, 60–80 or 80–100 cm layers. Vertical stratification analysis demonstrated shifting regulatory controls: microbial biomass dominated surface SOC/TN stabilization, while inorganic N dynamics and enzymatic activities controlled deeper horizons. These findings establish that SOC stability emerges from depth-specific enzyme-microbe-mineral interactions, while TN stocks reflect microbial stoichiometric adaptation to litter chemistry - critical insights for optimizing mixed-species strategies in bamboo forest management.
Keywords: Moso bamboo, soil microorganisms, enzyme activity, Mixed-species forests, Soil Organic Carbon
Received: 23 Jul 2025; Accepted: 20 Oct 2025.
Copyright: © 2025 Yan, Gao, Wang, Meng, Lin, Fu and Jiang. This is an open-access article distributed under the terms of the Creative Commons Attribution License (CC BY). The use, distribution or reproduction in other forums is permitted, provided the original author(s) or licensor are credited and that the original publication in this journal is cited, in accordance with accepted academic practice. No use, distribution or reproduction is permitted which does not comply with these terms.
* Correspondence: Shengwang Meng, mengsw@igsnrr.ac.cn
Disclaimer: All claims expressed in this article are solely those of the authors and do not necessarily represent those of their affiliated organizations, or those of the publisher, the editors and the reviewers. Any product that may be evaluated in this article or claim that may be made by its manufacturer is not guaranteed or endorsed by the publisher.
