ORIGINAL RESEARCH article
Front. Microbiol.
Sec. Microbiotechnology
This article is part of the Research TopicMicrobial Remediation of Heavy Metal PollutionView all 9 articles
Study on Immobilization of Composite Pollutants in Antimony Mining Areas by Target-Enriched Sulfate-Reducing Bacteria (SRB) from Antimony Tailings
Provisionally accepted- 1GRIMAT Engineering Institute Co Ltd, Beijing, China
- 2School of Metallurgy, Northeastern University, Shenyang, China
- 3GRINM Resources and Environment Tech. Co., Ltd, Beijing, China
- 4General Research Institute for Nonferrous Metals, Beijing, China
- 5Beijing Engineering Research Center of Strategic Nonferrous Metals Green Manufacturing Technology, Beijing, China
- 6National Engineering Research Center for Environment-friendly Metallurgy in Producing Premium Non-ferrous Metals, Beijing, China
- 7Guobiao (Beijing) Testing & Certification Co., Ltd., China GRINM Group Co., Ltd., Beijing, China
- 8Institute of Earth Science, China University of Geosciences, Beijing, China
Select one of your emails
You have multiple emails registered with Frontiers:
Notify me on publication
Please enter your email address:
If you already have an account, please login
You don't have a Frontiers account ? You can register here
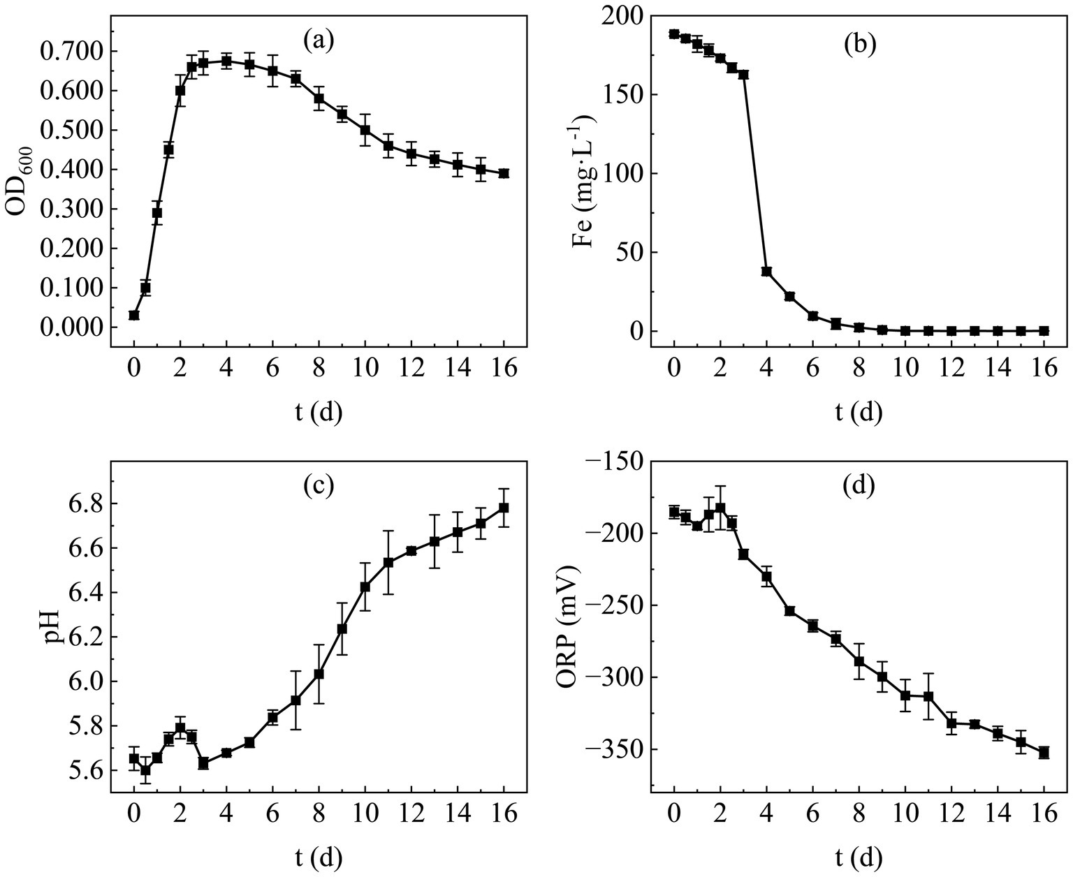
Remediating composite pollution in antimony mining areas, characterized by coexisting anionic metalloids (Sb, As) and cationic heavy metals (e.g., Pb, Cd, Cu, Zn), remains a significant challenge. This study demonstrates the effective immobilization of these complex pollutants using target-enriched sulfate-reducing bacteria (SRB) in heavy metal pollution remediation research. Indigenous SRB were enriched from antimony tailings and their application in remediating typical composite-polluted wastewater and tailings in antimony mining areas. The SRB community enriched in modified Postgate medium was dominated by the genus Clostridium, confirming the successful enrichment of functional sulfate-reducing microorganisms. Results of nutrient optimization showed that the optimal nutrients were 2.0 mL/L sodium lactate(carbon source), 1.2 g/L yeast extract(nitrogen source), and 0.5 g/L K2HPO4·3H2O(phosphorus source), and the corresponding medium enhanced SRB activity, increasing the Fe2+ immobilization rate to >90%. In simulated wastewater from antimony mining areas, SRB effectively immobilized various pollutants with immobilization rates of 97.9% for Sb, 82.8% for As, 91.7% for Pb, 99.7% for Cd, 99.5% for Cu, and 99.8% for Zn. Characterization via SEM-EDS, XRD, and FT-IR revealed that immobilization products were primarily composed of heavy metal sulfides, carbonates, hydroxides, and microbial extracellular polymeric substances (EPS). Biological tissues were also involved in the heavy metal immobilization process. For antimony tailings, Zn was effectively remediated whereas Sb and As exhibited significant redissolution, which was significantly suppressed by reducing sulfate concentration. This study provides valuable insights into managing complex pollution involving coexisting metalloids (Sb, As) and heavy metals (Pb, Cd, Cu, Zn).
Keywords: sulfate-reducing bacteria, Antimony mining area, nutrient factor optimization, Composite pollution, bioremediation
Received: 31 Jul 2025; Accepted: 04 Nov 2025.
Copyright: © 2025 Zhu, Zhou, Zhang, Yan, Liu and Dou. This is an open-access article distributed under the terms of the Creative Commons Attribution License (CC BY). The use, distribution or reproduction in other forums is permitted, provided the original author(s) or licensor are credited and that the original publication in this journal is cited, in accordance with accepted academic practice. No use, distribution or reproduction is permitted which does not comply with these terms.
* Correspondence: MingJiang Zhang, zmj0630@163.com
Disclaimer: All claims expressed in this article are solely those of the authors and do not necessarily represent those of their affiliated organizations, or those of the publisher, the editors and the reviewers. Any product that may be evaluated in this article or claim that may be made by its manufacturer is not guaranteed or endorsed by the publisher.
