ORIGINAL RESEARCH article
Front. Microbiol.
Sec. Microbe and Virus Interactions with Plants
This article is part of the Research TopicAdvancing Microbial Consortia for Sustainable Disease Management and Plant Growth PromotionView all 5 articles
Isolation of Plant Growth-Promoting Rhizobacteria from Wild-Simulated Ginseng and Evaluation of Soil Health Following its Application in the Field
Provisionally accepted- 1Kyungpook National University, Daegu, Republic of Korea
- 2National Institute of Forest Science, Dongdaemun-gu, Republic of Korea
Select one of your emails
You have multiple emails registered with Frontiers:
Notify me on publication
Please enter your email address:
If you already have an account, please login
You don't have a Frontiers account ? You can register here
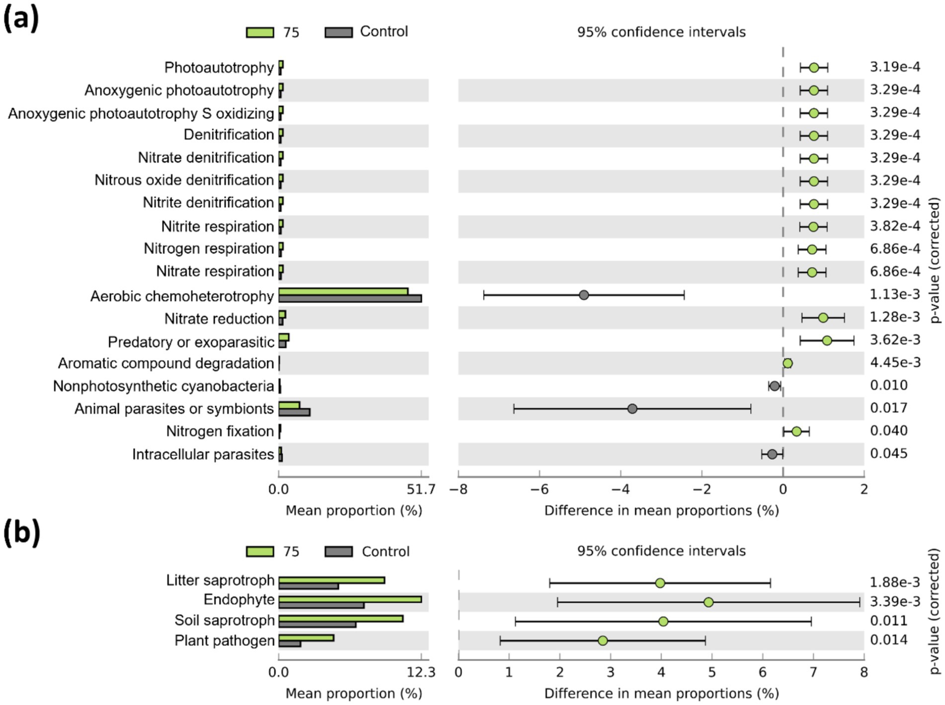
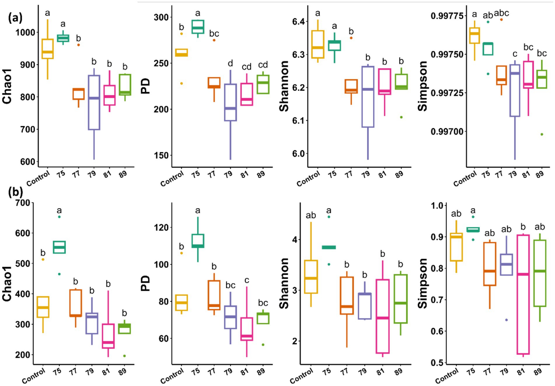
Wild-simulated ginseng must be cultivated at natural forest sites without artificial structures, chemical fertilizers, or pesticides to qualify for certification. However, its extended cultivation period makes stable production challenging, necessitating effective strategies to enhance early growth and yield. In this study, we evaluated the ability of five bacterial strains isolated from the rhizosphere of wild-simulated ginseng to promote initial growth and development. The strains exhibited diverse functional traits, including indole-3-acetic acid (IAA) production, phosphate solubilization, siderophore production, and enzymatic activities such as protease and cellulase. Antifungal activity, however, was primarily observed in strains 79 and 81. We inoculated field-grown ginseng plants with each strain at biweekly intervals for a total of seven applications. Inoculation with strain 75 (Pseudomonas frederiksbergensis) significantly increased shoot dry weight by 48.9% and root biomass by 37.0% relative to uninoculated controls (p < 0.05). Strain 81 (Paenibacillus terrae) promoted stem elongation, whereas strain 89 (Paraburkholderia madseniana) reduced leaf size. Soil analysis showed that strain 75 and 77 plots maintained higher organic matter, phosphorus, calcium, and cation exchange capacity, whereas strains 79, 81, and 89 had lower values. Metagenomic analysis revealed a marked enrichment of the order Pseudomonadales and the maintenance or enhancement of bacterial alpha diversity (Chao1 and PD indices), suggesting a stable and resilient microbial ecosystem. Functional profiling revealed enhancements in nitrogen fixation and nutrient cycling pathways. We determined statistical significance using a t-test and one-way ANOVA with Duncan’s multiple range test (p < 0.05). In contrast, strains 79 (Paraburkholderia terricola), 81 (Paenibacillus terrae), and 89 (Paraburkholderia madseniana) did not elicit significant growth responses. Our findings indicate that P. frederiksbergensis (strain 75) is a promising plant growth-promoting rhizobacterium for wild-simulated ginseng, offering a biologically based approach for improving early-stage development under forest cultivation conditions.
Keywords: Paenibacillus terrae1, Paraburkholderia madseniana2, Paraburkholderiaterricola3, Plant Growth-Promoting Rhizobacteria4, Pseudomonas frederiksbergensis5, Soil stability6
Received: 12 Aug 2025; Accepted: 30 Oct 2025.
Copyright: © 2025 Lee, Yun, Kim, Park, Kang and Um. This is an open-access article distributed under the terms of the Creative Commons Attribution License (CC BY). The use, distribution or reproduction in other forums is permitted, provided the original author(s) or licensor are credited and that the original publication in this journal is cited, in accordance with accepted academic practice. No use, distribution or reproduction is permitted which does not comply with these terms.
* Correspondence:
Jun Won Kang, jwkang15@knu.ac.kr
Yurry Um, urspower@korea.kr
Disclaimer: All claims expressed in this article are solely those of the authors and do not necessarily represent those of their affiliated organizations, or those of the publisher, the editors and the reviewers. Any product that may be evaluated in this article or claim that may be made by its manufacturer is not guaranteed or endorsed by the publisher.
