ORIGINAL RESEARCH article
Front. Microbiol.
Sec. Antimicrobials, Resistance and Chemotherapy
Transcriptional regulatory factor AHA_4052 is an important regulator in the regulation of aminoglycoside resistance in Aeromonas hydrophila
Provisionally accepted- 1Fujian Province Key Laboratory of Environment and Health, School of Public Health, Fujian Medical University, Fuzhou, China
- 2National Center of Protein Sciences Beijing, Beijing, China
- 3Fujian Agriculture and Forestry University Fujian Provincial Key Laboratory of Agroecological Processing and Safety Monitoring, Fuzhou, China
- 4Changting Branch of Longyan Tobacco Company, Longyan, China
Select one of your emails
You have multiple emails registered with Frontiers:
Notify me on publication
Please enter your email address:
If you already have an account, please login
You don't have a Frontiers account ? You can register here
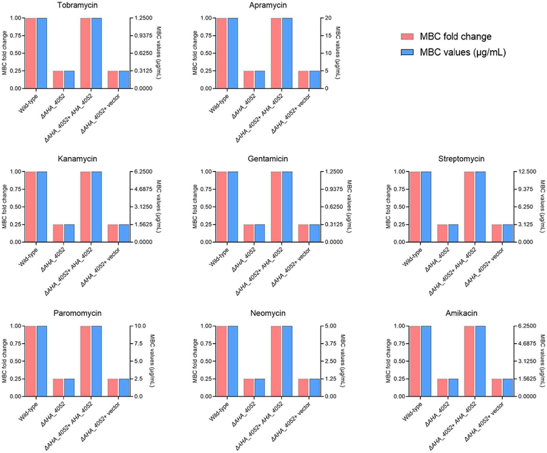
Abstract With the increasing identification of multidrug resistance in A. hydrophila isolated from diverse food sources, there is an urgent need to investigate its resistance mechanism. Previous studies have demonstrated that OmpR/PhoB-type response regulators play critical roles in bacterial tolerance to various environmental stresses. In this study, we constructed an AHA_4052 (a member of the OmpR/PhoB family of DNA-binding response regulators) gene knockout strain and studied its phenotypic characteristics. Deletion of the AHA_4052 gene rendered the bacteria significantly more sensitive to high temperature, osmotic stress, and aminoglycoside antibiotics compared to the wild-type A. hydrophila. Label-free quantitative proteomic analysis revealed differentially expressed proteins in the ΔAHA_4052 mutant strain. These proteins were predominantly associated with ribosome, butanoate metabolism, and glycerophospholipid metabolism pathways, with ribosome-related proteins accounting for 17.56% of the total. Additionally, seven antibiotic resistance-related proteins exhibited significant expression changes in the mutant strain. ChIP-PCR validation further demonstrated that the transcriptional regulator AHA_4052 directly binds to the promoters of two resistance genes, AHA_2114 and AHA_3488. Collectively, these findings indicate that the transcriptional regulatory factor AHA_4052 plays a critical role in stress tolerance, particularly against aminoglycosides, providing insights into the resistance mechanisms of A. hydrophila and could informing the development of new therapeutic strategies.
Keywords: Aeromonas hydrophila, OmpR/PhoB family, Aminoglycosides, antibiotic resistance, ChIP-PCR
Received: 20 Aug 2025; Accepted: 27 Oct 2025.
Copyright: © 2025 Li, Tu, Zhang, Lu, Fang, Lin and Wang. This is an open-access article distributed under the terms of the Creative Commons Attribution License (CC BY). The use, distribution or reproduction in other forums is permitted, provided the original author(s) or licensor are credited and that the original publication in this journal is cited, in accordance with accepted academic practice. No use, distribution or reproduction is permitted which does not comply with these terms.
* Correspondence: Guibin Wang, wangguibin85@163.com
Disclaimer: All claims expressed in this article are solely those of the authors and do not necessarily represent those of their affiliated organizations, or those of the publisher, the editors and the reviewers. Any product that may be evaluated in this article or claim that may be made by its manufacturer is not guaranteed or endorsed by the publisher.
