ORIGINAL RESEARCH article
Front. Microbiol.
Sec. Microbe and Virus Interactions with Plants
This article is part of the Research TopicStress-Responsive Microbiome of Horticultural Plants: Diversity, Functions, and Application ProspectsView all 3 articles
Comparative microbial community analysis of Oreocharis mileensis, a resurrection Plant Species with Extremely Small Populations (PSESP)
Provisionally accepted- 1Kunming Institute of Botany, Chinese Academy of Sciences (CAS), Kunming, China
- 2Yunnan Key Laboratory for Integrative Conservation of Plant Species with Extremely Small Populations, Kunming, China
- 3Institute of Botany of the Academy of Sciences of the Republic of Uzbekistan, Tashkent, Uzbekistan
- 4Department of Economic Plants and Biotechnology, Yunnan Key Laboratory for Wild Plant Resources, Kunming Institutes of Botany, Chinese Academy of Sciences, 650201, Kunming, China, Kunming, China
Select one of your emails
You have multiple emails registered with Frontiers:
Notify me on publication
Please enter your email address:
If you already have an account, please login
You don't have a Frontiers account ? You can register here
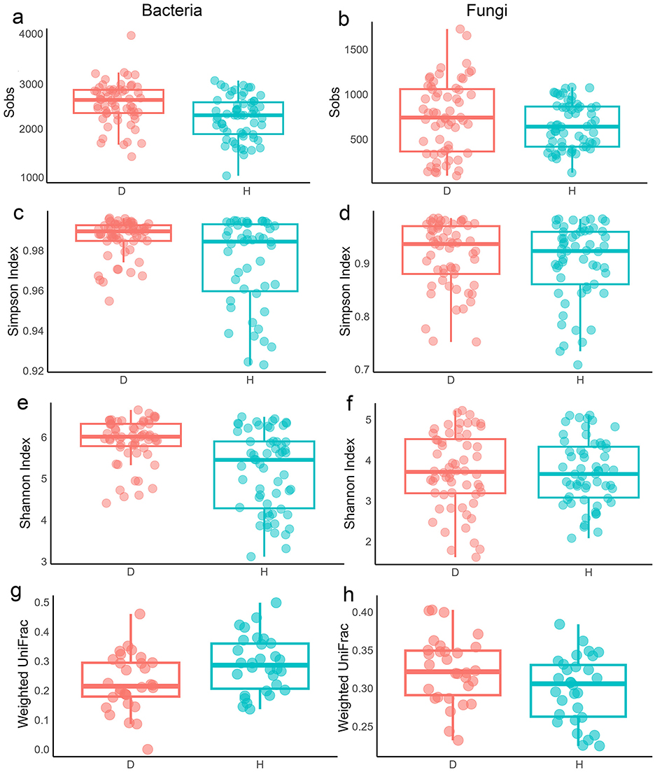
Plants dynamically interact with their microbiomes through phytohormonal signaling and defense responses, shaping microbial diversity and ecosystem function. While resurrection plants host growth-promoting microbes, prior studies on different resurrection plants have been limited to localized sampling, potentially underestimating microbial diversity. We analyzed bacterial and fungal communities across five Oreocharis mileensis populations, a potential ornamental resurrection plant, to determine: population-level microbiome differences or affinity, potential microorganisms that help during desiccation of the plant and their conservation across populations. We found that microbial composition was strongly influenced by compartment (bulk soil, rhizosphere, endosphere) but exhibited only moderate drought-induced changes, suggesting O. mileensis maintains a stable microbiome under stress. Core phyla (e.g., Proteobacteria, Actinobacteriota, Ascomycota) were conserved across populations, but genus-level core taxa relatively varied between populations, reflecting niche specialization and host genotype. Drought increased alpha diversity while reducing beta diversity in bacteria, indicating homogenization driven by stress-tolerant taxa like Actinobacteriota. Fungal responses differed, with increased beta diversity suggesting drought-enhanced compositional turnover. Key bacterial genera (e.g., Burkholderia-Caballeronia-Paraburkholderia, Bacillus, Rhizobium) dominated hydrated states, while drought enriched Actinobacteria (Microlunatus, Rubrobacter) or other drought resistant taxa. Fungal communities shifted from saprotroph-dominated hydrated states to symbiotic taxa (e.g., Paraboeremia, Helotiales) under drought. Functional profiling revealed Formatted: Not Superscript/ Subscript Formatted: Superscript compartment-specific metabolic specialization, with drought enriching stress-response pathways (e.g., secondary metabolite biosynthesis, signal transduction). These findings demonstrate that O. mileensis microbiomes are structured by compartmental filtering and exhibit drought-driven functional plasticity, with conserved stress-adapted taxa potentially supporting host resilience. This study expands our understanding of microbiome assembly in resurrection plants and highlights candidates for microbiome engineering to enhance crop stress tolerance.
Keywords: Oreocharis mileensis, Comparative microbiome diversity, Drought stress, conservation, Core taxa
Received: 26 Aug 2025; Accepted: 10 Oct 2025.
Copyright: © 2025 Asatulloev, Cai, Yusupov, Chen, Tojibaev and SUN. This is an open-access article distributed under the terms of the Creative Commons Attribution License (CC BY). The use, distribution or reproduction in other forums is permitted, provided the original author(s) or licensor are credited and that the original publication in this journal is cited, in accordance with accepted academic practice. No use, distribution or reproduction is permitted which does not comply with these terms.
* Correspondence: Weibang SUN, wbsun@mail.kib.ac.cn
Disclaimer: All claims expressed in this article are solely those of the authors and do not necessarily represent those of their affiliated organizations, or those of the publisher, the editors and the reviewers. Any product that may be evaluated in this article or claim that may be made by its manufacturer is not guaranteed or endorsed by the publisher.
