ORIGINAL RESEARCH article
Front. Microbiol.
Sec. Antimicrobials, Resistance and Chemotherapy
This article is part of the Research TopicThe Impact of Limited Resources on Antibiotic Resistance in Developing CountriesView all 3 articles
The Burden of Tuberculosis and Drug Resistance in 22 Sub-Saharan African Countries, 1990–2021: A GBD 2021 Analysis and Progress Towards WHO 2035 Targets with Projections to 2050
Provisionally accepted- 1The Second Affiliated Hospital of Bengbu Medical College, Bengbu, China
- 2Wannan Medical College, Wuhu, China
- 3Takoradi Hospital, P.O. Box 7 Takoradi, Ghana, Takoradi, Ghana
- 4Yijishan Hospital of Wannan Medical College, Wuhu, China
Select one of your emails
You have multiple emails registered with Frontiers:
Notify me on publication
Please enter your email address:
If you already have an account, please login
You don't have a Frontiers account ? You can register here
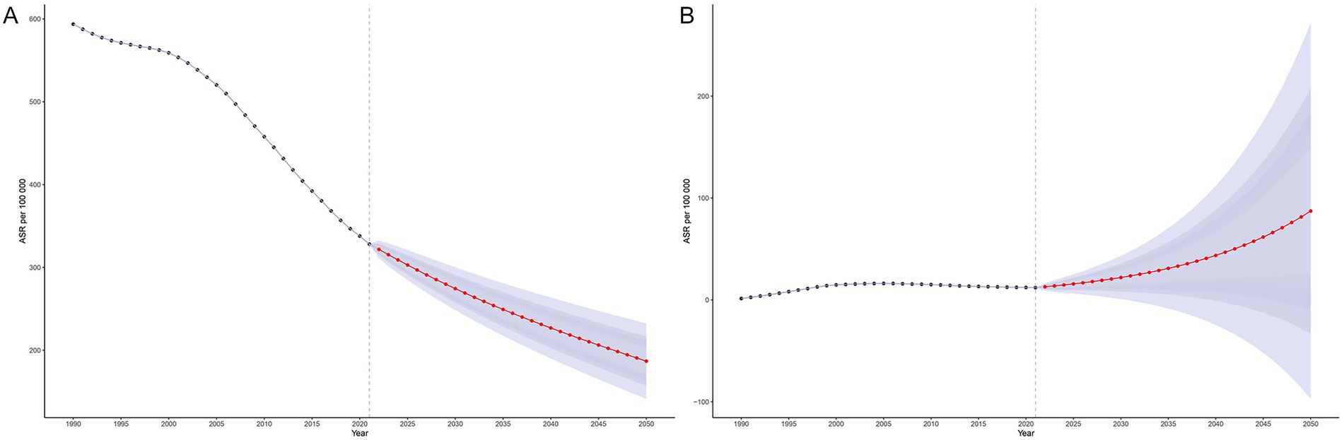
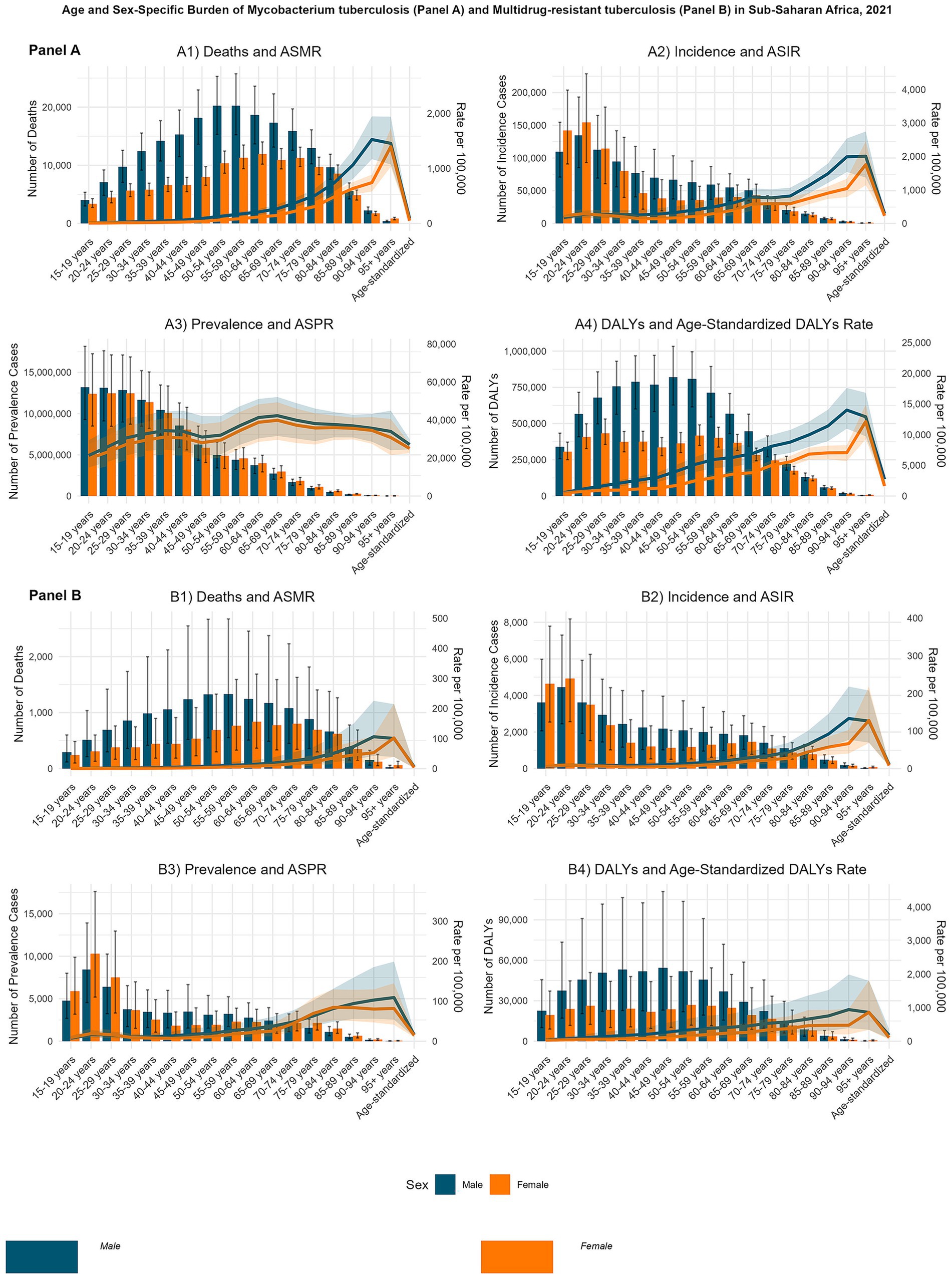
Background: Tuberculosis (TB) remains a major public health challenge in sub-Saharan Africa (SSA), compounded by rising multidrug-resistant (MDR-TB), and extensively drug-resistant tuberculosis (XDR-TB) strains. This study aimed to quantify the burden, temporal trends, and subregional heterogeneity of TB across 22 selected SSA countries; project future trends to 2050; and evaluate the alignment of national TB policies with WHO End TB 2035 targets. Methods: We conducted a mixed-methods analysis using Global Burden of Disease (GBD) 2021 data. Age-and sex-specific TB incidence, prevalence, mortality, and disability-adjusted life years (DALYs) were analyzed across 22 SSA countries from 1990 to 2021. BAPC model projected disease burden to 2050. National TB policy alignment with WHO targets was assessed qualitatively. Drug-susceptible (DS-TB), MDR-TB, and XDR-TB forms were evaluated alongside key attributable risk factors. Results: Between 1990 and 2021, absolute TB incidence in SSA increased by 25.6% and prevalence by 44.2%, while mortality and DALYs declined by 14.0% and 24.8%, respectively. Age-standardized rates declined significantly across all metrics; incidence (–46.2%), prevalence (– 35.2%), mortality (–56.4%), and DALYs (–60.9%). Progress varied substantially by region: Western SSA showed the greatest improvement, while Southern and Central SSA continued to face high burdens, with rising mortality in some areas. MDR-TB incidence surged by 743.2%, with XDR-TB also increasing markedly, particularly in Eastern and Central SSA. HIV co-infection amplified MDR/XDR-TB mortality, with Southern SSA most affected. Age-and sex-specific analyses revealed early-adulthood incidence peaks, male predominance in mortality and DALYs, and the highest MDR-TB burden among older adults. Leading risk factors for TB mortality included high alcohol use, elevated fasting plasma glucose, tobacco use, and high body mass index. Projections indicate SSA is unlikely to meet the WHO 2035 mortality reduction target, though Ghana, Guinea, and Tanzania are projected to achieve the incidence target. Conclusion: Despite overall declines in TB mortality, the growing DR-TB/MDR-TB/XDR-TB epidemic, significant subregional disparities, and systemic health system challenges threaten progress toward WHO End TB goals. Strengthening diagnostics, expanding treatment access, integrating care services, and addressing key metabolic and behavioral risk factors are essential to accelerate TB control efforts and align SSA with the 2035 targets.
Keywords: Tuberculosis, sub-Saharan Africa, Drug-resistant tuberculosis, Multidrug-resistant tuberculosis, Extensively Drug-ResistantTuberculosis, antibiotic resistance, WHO END TB Targets, Epidemiology
Received: 01 Sep 2025; Accepted: 23 Oct 2025.
Copyright: © 2025 Li, Mensah, Liu, Pan, Lu, Zhou, Zhang, Cheng, Wei and Zha. This is an open-access article distributed under the terms of the Creative Commons Attribution License (CC BY). The use, distribution or reproduction in other forums is permitted, provided the original author(s) or licensor are credited and that the original publication in this journal is cited, in accordance with accepted academic practice. No use, distribution or reproduction is permitted which does not comply with these terms.
* Correspondence:
Shuoshuo Wei, weishuoshuo@yjsyy.com
Lei Zha, zhalei@yjsyy.com
Disclaimer: All claims expressed in this article are solely those of the authors and do not necessarily represent those of their affiliated organizations, or those of the publisher, the editors and the reviewers. Any product that may be evaluated in this article or claim that may be made by its manufacturer is not guaranteed or endorsed by the publisher.
