ORIGINAL RESEARCH article
Front. Microbiol.
Sec. Extreme Microbiology
This article is part of the Research TopicMicrobial Diversity in Mine DrainageView all 6 articles
Microdiversity and fine-scale niche differentiation support persistence and coexistence of acidophiles in acid mine drainage
Provisionally accepted- 1Southern University of Science and Technology, Shenzhen, China
- 2Ministry of Ecology and Environment Rural Ecological Environment Division, Beijing, China
Select one of your emails
You have multiple emails registered with Frontiers:
Notify me on publication
Please enter your email address:
If you already have an account, please login
You don't have a Frontiers account ? You can register here
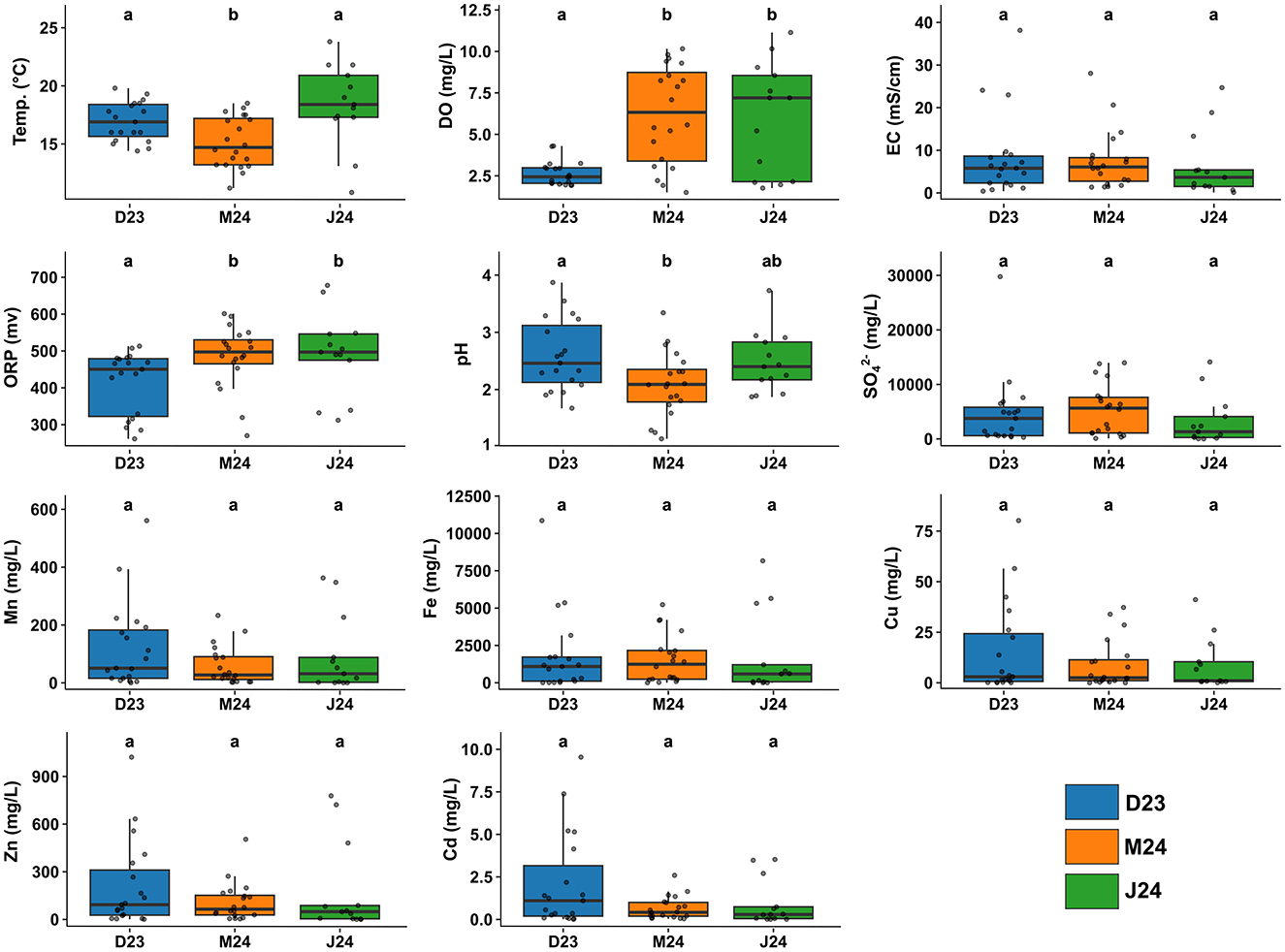
Acid mine drainage (AMD) systems are extreme acidic environments characterized by low pH and high metal concentrations that shape unique microbial ecosystems. While acidophilic microorganisms are known to drive AMD biogeochemistry, the ecological processes governing their community assembly, niche partitioning, and stability remain incompletely resolved. By integrating high-resolution 16S rRNA gene amplicon sequencing with community ecology and null modeling approaches, here we investigated microbial diversity, structure, and assembly mechanisms in an AMD system in Zhejiang province, China. Community structure was primarily driven by pH and habitat type (water vs. sediment), with low-pH environments selecting for persistent abundant taxa comprising specialized acidophiles. Within this group, we identified significant fine-scale niche partitioning and intra-genus microdiversity, both of which were associated with greater persistence across heterogeneous conditions. Co-occurrence and niche analyses revealed that closely related taxa often occupy distinct ecological niches structured by gradients of metals, redox potential, and oxygen availability. Ecological assembly modeling demonstrated that deterministic homogeneous selection and stochastic drift dominate under the harshest conditions. In contrast, dispersal limitation becomes more important in less chemically-stressed sites, indicating that spatial constraints gain importance when environmental filtering weakens. Our findings demonstrate that AMD microbial communities are shaped by a dynamic interplay between strong environmental selection, stochasticity, and spatial factors. These insights clarify fundamental principles of microbial ecology in extreme environments and are critical for predicting community responses to change and developing effective bioremediation strategies.
Keywords: acid mine drainage, AMD, acidophiles, Microbial Diversity, niche differentiation, community assembly, 16S rRNA gene amplicon sequencing
Received: 02 Sep 2025; Accepted: 05 Nov 2025.
Copyright: © 2025 Palomo, Li, Huang, Ma, Peng, Wang, Zheng, Wen and Yang. This is an open-access article distributed under the terms of the Creative Commons Attribution License (CC BY). The use, distribution or reproduction in other forums is permitted, provided the original author(s) or licensor are credited and that the original publication in this journal is cited, in accordance with accepted academic practice. No use, distribution or reproduction is permitted which does not comply with these terms.
* Correspondence:
Yi Wen, wenyi@tcare-mee.cn
Lihong Yang, yanglh@sustech.edu.cn
Disclaimer: All claims expressed in this article are solely those of the authors and do not necessarily represent those of their affiliated organizations, or those of the publisher, the editors and the reviewers. Any product that may be evaluated in this article or claim that may be made by its manufacturer is not guaranteed or endorsed by the publisher.
