ORIGINAL RESEARCH article
Front. Microbiol.
Sec. Terrestrial Microbiology
This article is part of the Research TopicMicrobial-driven Carbon, Nitrogen and Phosphorus Cycling Mechanisms in Terrestrial EcosystemsView all 5 articles
Year-to-year variation in organic fertilization effects on soil carbon stabilization and microbial networks
Provisionally accepted- Institute of Agricultural Resources and Environment, Sichuan Academy of Agricultural Sciences, Chengdu, China
Select one of your emails
You have multiple emails registered with Frontiers:
Notify me on publication
Please enter your email address:
If you already have an account, please login
You don't have a Frontiers account ? You can register here
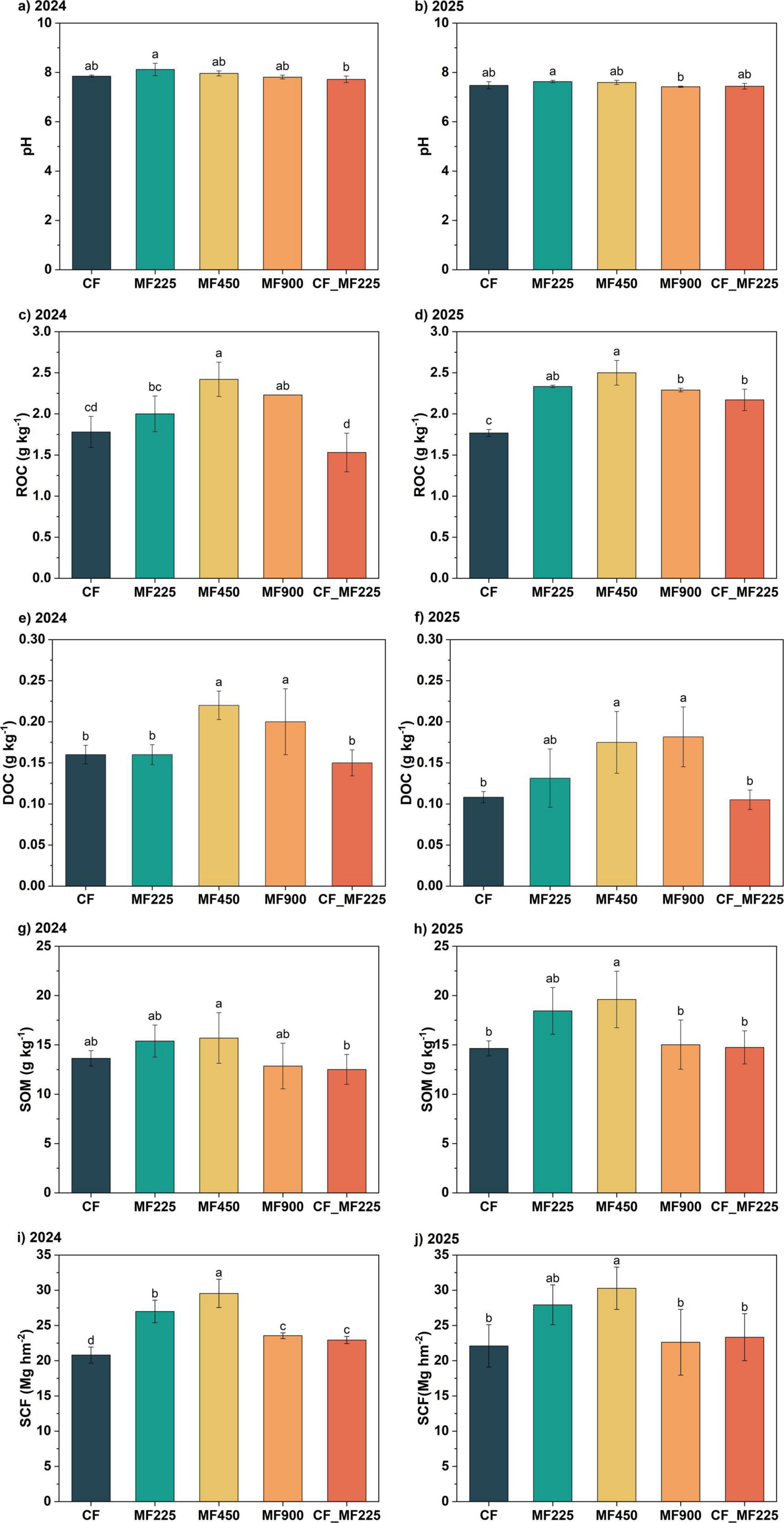
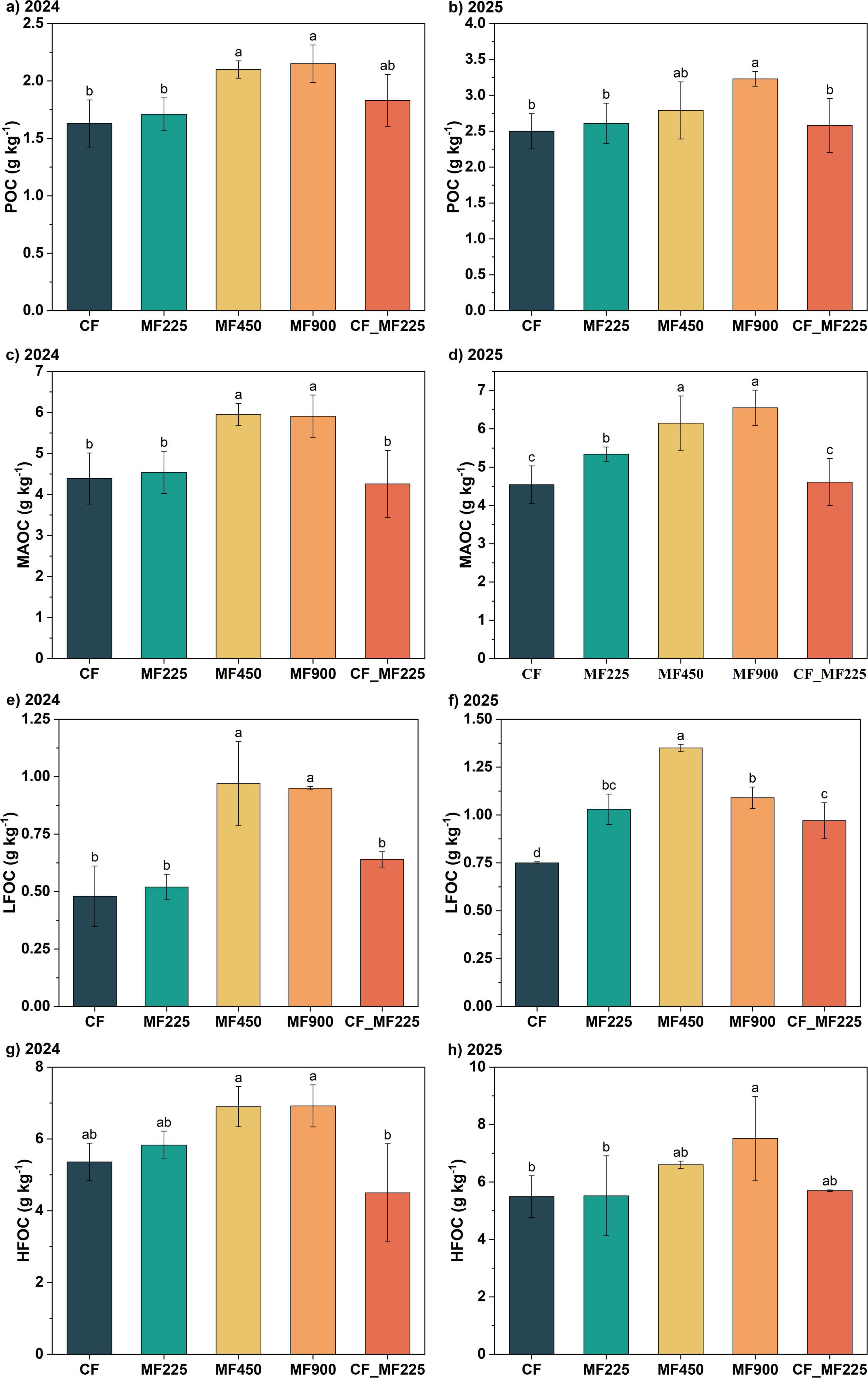
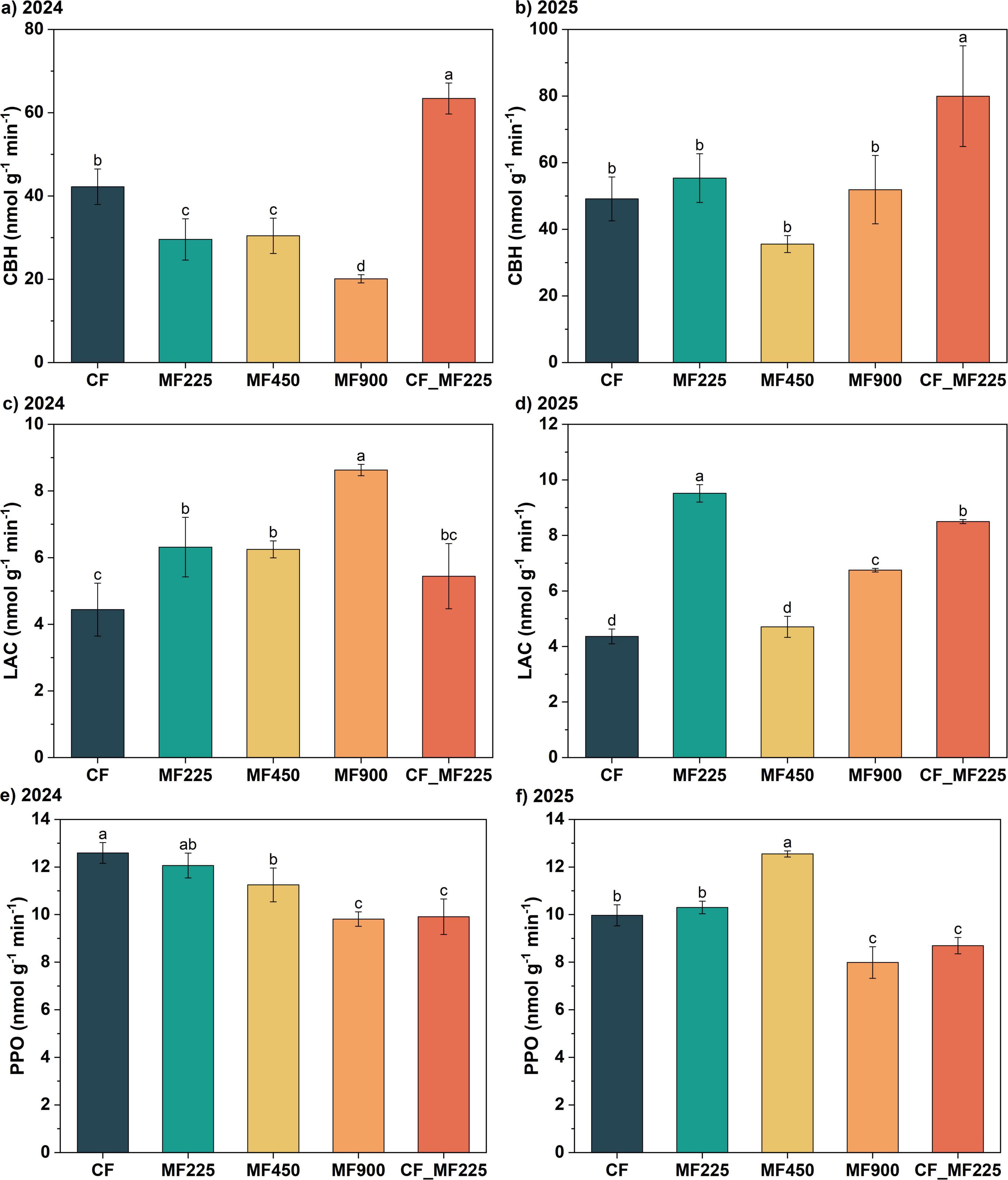
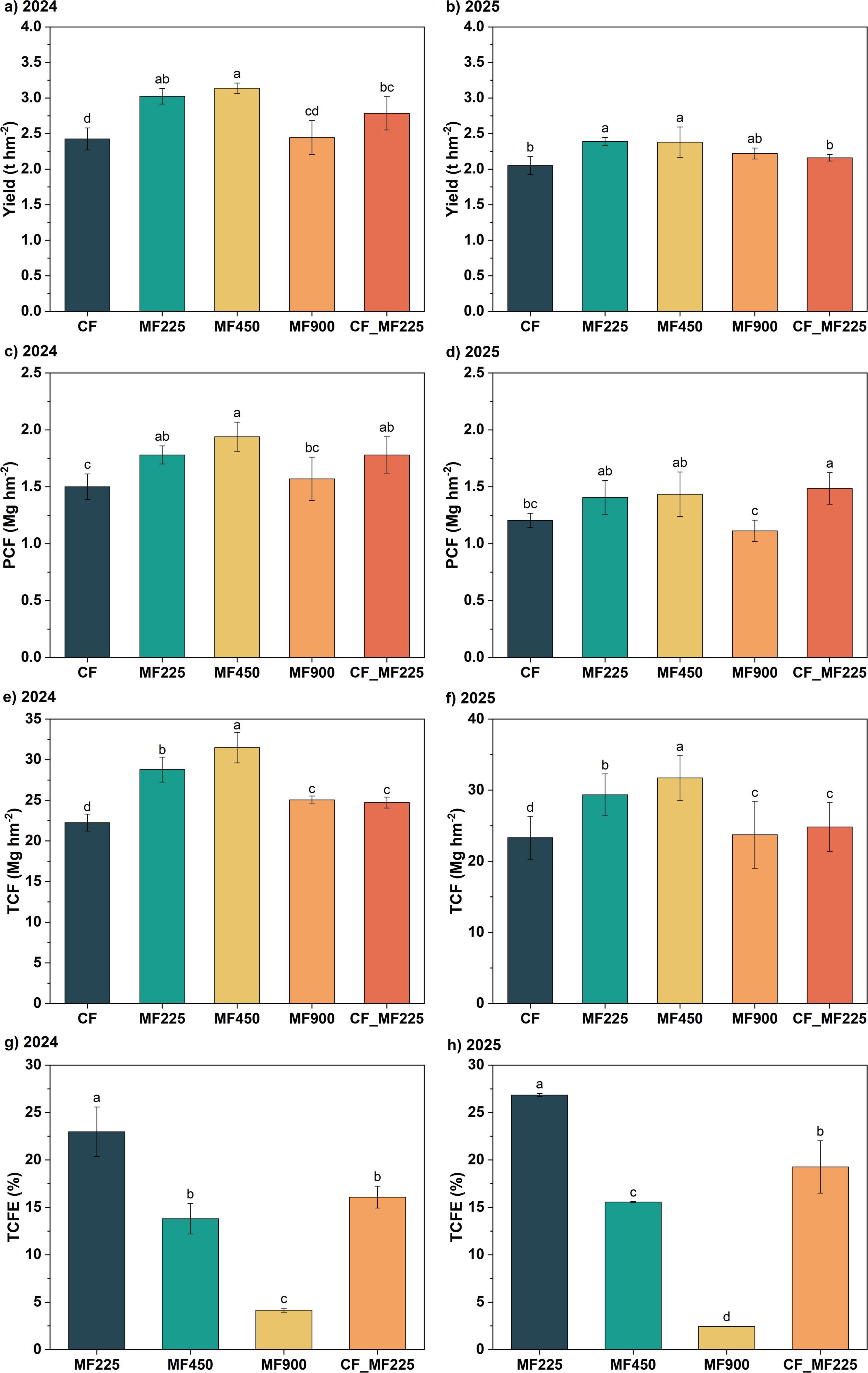
Soil organic carbon (SOC) stabilization is a key process linking soil fertility and climate change mitigation, yet its microbial regulatory mechanisms under organic fertilization remain unclear. We conducted a two-year field experiment (2024-2025) under a maize-oilseed rape rotation in Sichuan, China, including conventional fertilization, different rates of organic fertilization, and combined organic-inorganic fertilization treatments, to assess the effects of organic fertilization on SOC fractions, enzyme activities, and microbial communities. Organic fertilization increased both labile and stable carbon pools: readily oxidizable carbon (ROC) and dissolved organic carbon (DOC) rose under moderate inputs, while mineral-associated organic carbon (MAOC) increased under higher inputs. Enzyme activities reflected these shifts, with laccase enhanced under high organic inputs and cellobiohydrolase suppressed by sole organics but restored by combined fertilization. Microbial analyses revealed enrichment of Proteobacteria, greater diversity, and year-specific changes in Actinobacteriota. Structural equation modeling indicated that moderate labile carbon inputs promoted stable carbon formation in the first year, while excessive inputs in the second year reduced microbial efficiency, increased network complexity, and weakened stabilization. Moderate organic fertilization improved rapeseed yield carbon sequestration efficiency, supporting soil productivity and sustainable management. Overall, moderate organic fertilization sustains crop yield and soil carbon sequestration efficiency and SOC stabilization by fostering stable carbon accumulation, oxidative enzyme activity, and functional microbial diversity. This study highlights microbial and enzymatic mechanisms of SOC stabilization in newly reclaimed farmland and provides practical guidance for balanced fertilization strategies to enhance carbon storage while maintaining yield.
Keywords: Organic fertilization, Soil Organic Carbon, labile carbon fractions, Stable carbon pools, Soil enzyme activities, microbial community structure
Received: 18 Sep 2025; Accepted: 24 Oct 2025.
Copyright: © 2025 Ma, Yang, Yang, Chen, Lei, Liu, Yang and Chen. This is an open-access article distributed under the terms of the Creative Commons Attribution License (CC BY). The use, distribution or reproduction in other forums is permitted, provided the original author(s) or licensor are credited and that the original publication in this journal is cited, in accordance with accepted academic practice. No use, distribution or reproduction is permitted which does not comply with these terms.
* Correspondence: Honglin Chen, chenhl0107@163.com
Disclaimer: All claims expressed in this article are solely those of the authors and do not necessarily represent those of their affiliated organizations, or those of the publisher, the editors and the reviewers. Any product that may be evaluated in this article or claim that may be made by its manufacturer is not guaranteed or endorsed by the publisher.
