ORIGINAL RESEARCH article
Front. Microbiol.
Sec. Microorganisms in Vertebrate Digestive Systems
This article is part of the Research TopicNew Horizons in Gut Microbiome Research for Enhancing Livestock ProductivityView all 23 articles
Dietary supplementation with corn distillers dried grains with solubles (DDGS) improves egg quality in Haidong chickens through promoting beneficial gut microbiota and modulating serum biochemical profiles
Provisionally accepted- Qinghai University, Xining, China
Select one of your emails
You have multiple emails registered with Frontiers:
Notify me on publication
Please enter your email address:
If you already have an account, please login
You don't have a Frontiers account ? You can register here
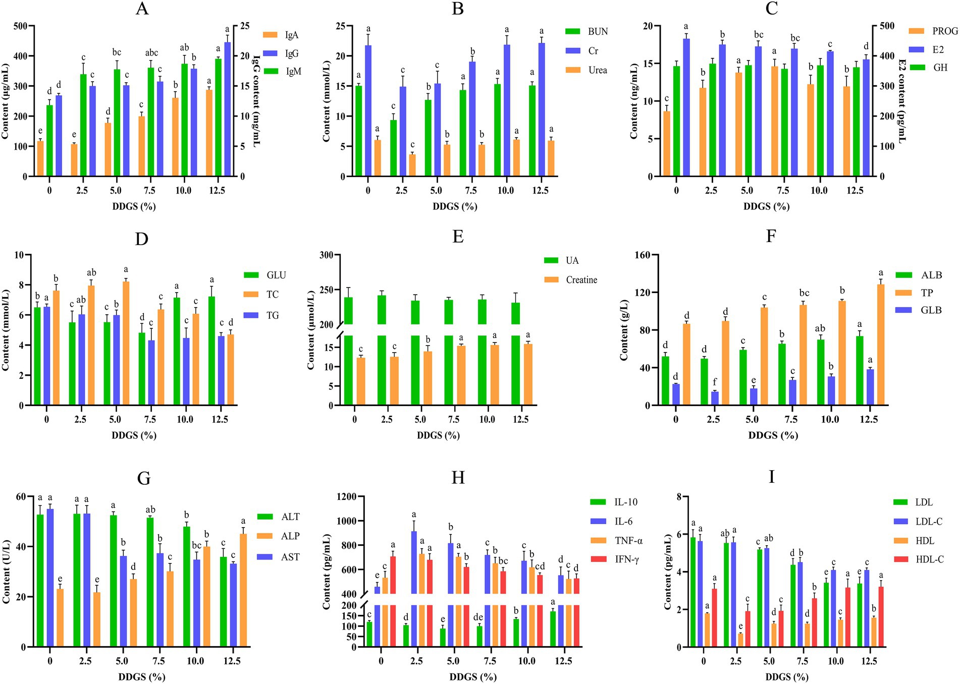
Gut microbial metabolism plays a critical role in modulating egg quality through its influence on host serum physiology. Recent evidence suggests that DDGS exhibit prebiotic properties by promoting beneficial gut microbiota while suppressing pathogenic bacteria, thereby enhancing intestinal microbial homeostasis. This study investigated the impacts of dietary DDGS supplementation on egg quality, serum physiological-biochemical indices, and gut microbial communities in Haidong chickens. A total of 288 hens were randomly allocated to six dietary treatments containing 0%, 2.5%, 5.0%, 7.5%, 10.0%, and 12.5% DDGS for 90 days, followed by collection of eggs, serum samples, and intestinal contents for analysis. The results indicated that 12.5% DDGS supplementation significantly improved egg albumen height and egg weight (P<0.05). Concurrently, serum analyses revealed enhanced immune indices, elevated protein metabolism markers, increased High Density Lipoprotein (HDL) and High Density Lipoprotein Cholesterol (HDL-C) levels, and up-regulated anti-inflammatory cytokine IL-10. Conversely, the 12.5% DDGS group exhibited reduced lipid parameters, decreased liver function marker ALT, and down-regulated pro-inflammatory cytokines (P<0.05). Gut microbiota profiling showed that 12.5% DDGS group significantly increased the relative abundances of Firmicutes and Lactobacillus (P<0.05), moreover, Lactobacillus_pontis and Romboutsia-ilealis associated with enhancement gut immunity, dietary nutrient metabolism, as well as host growth and developmental processes to the observed improvements in egg quality. These findings establish DDGS as a functional feed additive capable of improving poultry productivity through microbiota mediated mechanisms, providing valuable insights for its application in sustainable animal husbandry practices.
Keywords: DDGS, Haidong chicken, egg quality, Gut Microbiota, Serum biochemical profiles
Received: 20 Sep 2025; Accepted: 27 Oct 2025.
Copyright: © 2025 Bao, Wei, He, Wang, Ding, Zhang, Tian, Wang and Shen. This is an open-access article distributed under the terms of the Creative Commons Attribution License (CC BY). The use, distribution or reproduction in other forums is permitted, provided the original author(s) or licensor are credited and that the original publication in this journal is cited, in accordance with accepted academic practice. No use, distribution or reproduction is permitted which does not comply with these terms.
* Correspondence: Baoan Ding, dingbaoan1967@163.com
Disclaimer: All claims expressed in this article are solely those of the authors and do not necessarily represent those of their affiliated organizations, or those of the publisher, the editors and the reviewers. Any product that may be evaluated in this article or claim that may be made by its manufacturer is not guaranteed or endorsed by the publisher.
