ORIGINAL RESEARCH article
Front. Microbiol.
Sec. Terrestrial Microbiology
This article is part of the Research TopicPlant Mineral Microbe Interactions, Vol IIView all 8 articles
Soil Acidification and Nutrient Imbalance Mediate Fungal Community Degradation, a Key Driver of Continuous Cropping Obstacles in Platycodon grandiflorus
Provisionally accepted- Shangluo University, Shangluo, China
Select one of your emails
You have multiple emails registered with Frontiers:
Notify me on publication
Please enter your email address:
If you already have an account, please login
You don't have a Frontiers account ? You can register here
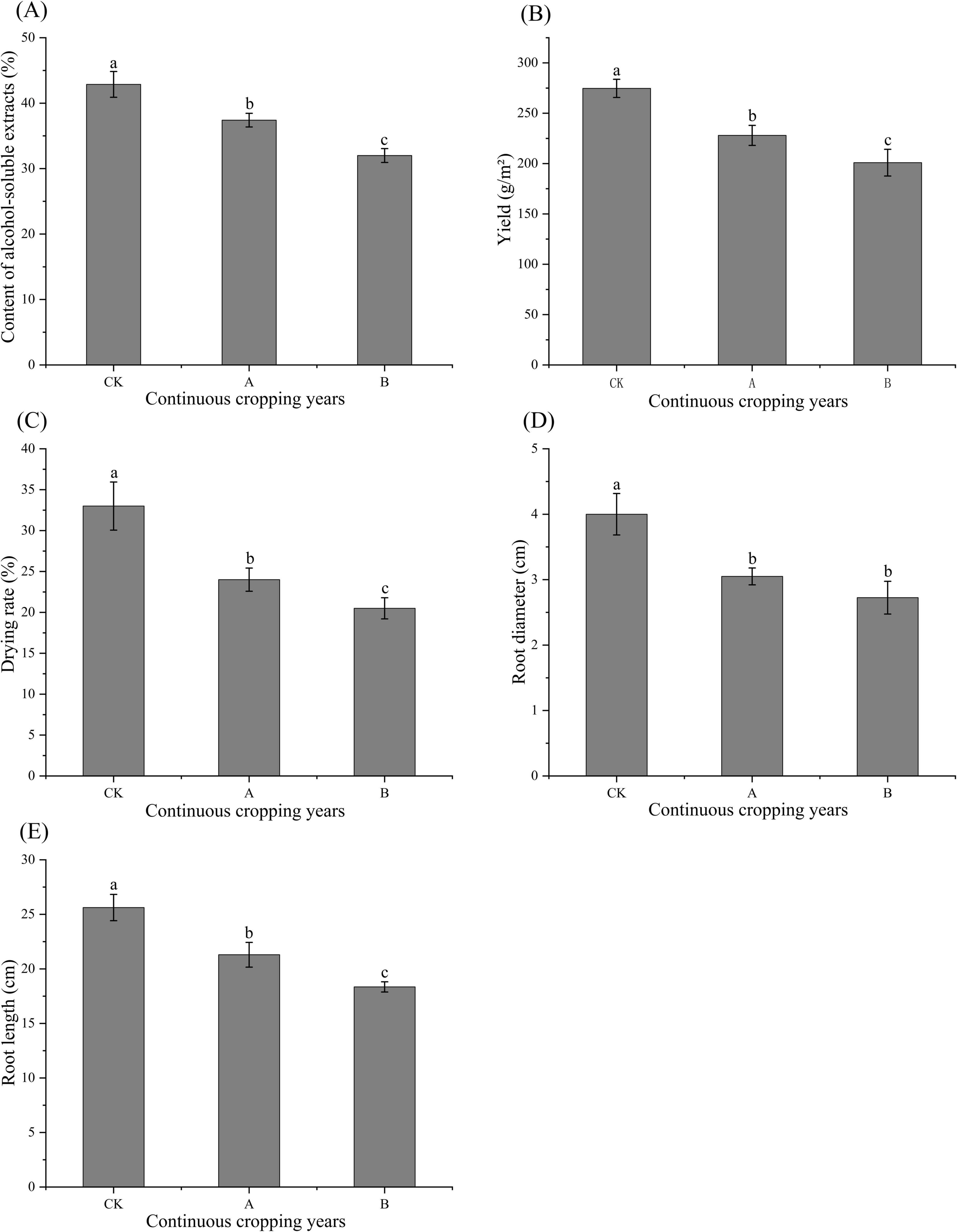
This study analyzed the growth indicators of Platycodon grandiflorus, soil physicochemical properties, and the characteristics and functions of fungal communities under different durations of continuous cropping years to explore the impact of continuous cropping on its growth and rhizosphere microecology. Continuous cropping significantly inhibited the growth of Platycodon grandiflorus. As the continuous cropping years continued, root length, root diameter, yield, and alcohol-soluble extract content decreased, the abundance of Fusarium increased, and root rot was exacerbated. Continuous cropping led to soil acidification, reduced phosphorus and potassium contents, and an imbalance of the fungal community; the abundance of acid-tolerant pathogens increased while beneficial fungi decreased in abundance, with pathotrophic and saprotrophic fungi enriched, resulting in slowed soil carbon turnover and reduced disease resistance. These findings suggest that adjusting soil pH, increasing phosphorus and potassium fertilization, and inoculating functional fungal agents can alleviate continuous cropping obstacles, providing an empirical basis for the sustainable development of the Platycodon grandiflorus industry.
Keywords: Platycodon grandiflorus, continuous cropping, Rhizosphere fungi, community structure, function
Received: 01 Oct 2025; Accepted: 03 Nov 2025.
Copyright: © 2025 Li, Yang, Peng and Liu. This is an open-access article distributed under the terms of the Creative Commons Attribution License (CC BY). The use, distribution or reproduction in other forums is permitted, provided the original author(s) or licensor are credited and that the original publication in this journal is cited, in accordance with accepted academic practice. No use, distribution or reproduction is permitted which does not comply with these terms.
* Correspondence: Li Li, 670465158@qq.com
Disclaimer: All claims expressed in this article are solely those of the authors and do not necessarily represent those of their affiliated organizations, or those of the publisher, the editors and the reviewers. Any product that may be evaluated in this article or claim that may be made by its manufacturer is not guaranteed or endorsed by the publisher.
