ORIGINAL RESEARCH article
Front. Microbiol.
Sec. Microbiological Chemistry and Geomicrobiology
This article is part of the Research TopicMicrobial Adaptation and Metabolic Reprogramming under Emerging Contaminants Stress in Engineered Water/Wastewater Treatment EcosystemsView all 3 articles
Trophic levels of decomposers in the treatment of herbicide wastewater: A mediator of positive interactions among microbial community assembly, function and stability
Provisionally accepted- 1Shandong Normal University, Jinan, China
- 2Chinese Academy of Sciences Nanjing Institute of Geography and Limnology, Nanjing, China
Select one of your emails
You have multiple emails registered with Frontiers:
Notify me on publication
Please enter your email address:
If you already have an account, please login
You don't have a Frontiers account ? You can register here
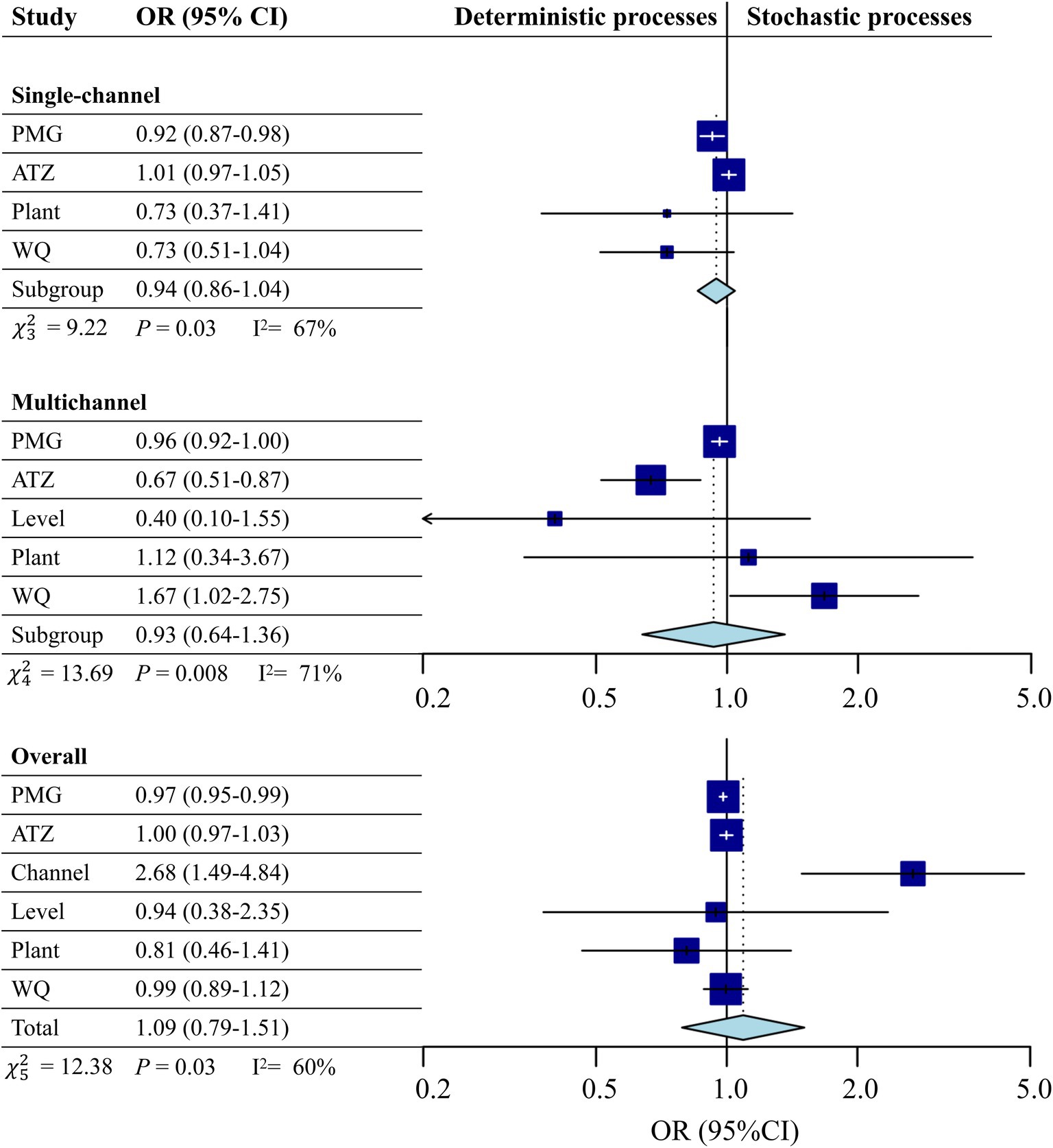
Current wastewater treatment methods tend to acclimate to sludge, but they may not be able to address the presence of herbicides with complex components in agricultural runoff. In this study, we constructed decomposer trophic levels by setting single-channel and multichannel sequencing processes for different herbicide-containing wastewater treatments. Each treatment unit was divided into bacteria-only, wetland plant-only, and wetland plant-microbe continuum treatments. We designed three experiments to investigate the effects of herbicide type, trophic level and biological interaction on system stability, which was predominantly controlled by microbial community assembly processes and functions. The results revealed a threshold for the transition from stochastic to deterministic processes as the concentrations of the herbicides glyphosate (PMG) and atrazine (ATZ) increased. Compared with the effluent water quality of the single herbicide treatment, the decomposer trophic level significantly increased the stochastic effect of the system on effluent water quality. The similarity differences caused by the drift from the parallel units in the primary levels (ca. Dintralevels=0.22) bridged the gap to the secondary levels (ca. Dintralevels/Dinterlevels=1.13), which resulted in the best community stability. Analysis of the microbial community life history strategies indicated that multichannel configurations led to a transition in microbial metabolic capacity (RS selection) and environmental responsiveness (RC selection) under herbicide stress to maintain community stability. Therefore, the system stability in the water treatment process could be optimized by the systematic design of the microbial decomposition trophic level, which is considered an important contributor to the positive coordination between biodiversity and function.
Keywords: Trophic levels of decomposers, Herbicide wastewater, Microbialcommunity assembly, Function and stability, Microbial Diversity
Received: 02 Oct 2025; Accepted: 24 Nov 2025.
Copyright: © 2025 XU, Wu, Teng, Wei, Wang, Zhao, Liu, Wang and Kong. This is an open-access article distributed under the terms of the Creative Commons Attribution License (CC BY). The use, distribution or reproduction in other forums is permitted, provided the original author(s) or licensor are credited and that the original publication in this journal is cited, in accordance with accepted academic practice. No use, distribution or reproduction is permitted which does not comply with these terms.
* Correspondence: Fei XU
Disclaimer: All claims expressed in this article are solely those of the authors and do not necessarily represent those of their affiliated organizations, or those of the publisher, the editors and the reviewers. Any product that may be evaluated in this article or claim that may be made by its manufacturer is not guaranteed or endorsed by the publisher.
