ORIGINAL RESEARCH article
Front. Microbiol.
Sec. Microbiotechnology
Phenotypic and Functional Characterization of Soil Pseudomonas Strains Reveals Multi-Metal Tolerance and Bioremediation Potential
Provisionally accepted- 1University of Foggia, Foggia, Italy
- 2Universidade de Evora, Evora, Portugal
Select one of your emails
You have multiple emails registered with Frontiers:
Notify me on publication
Please enter your email address:
If you already have an account, please login
You don't have a Frontiers account ? You can register here
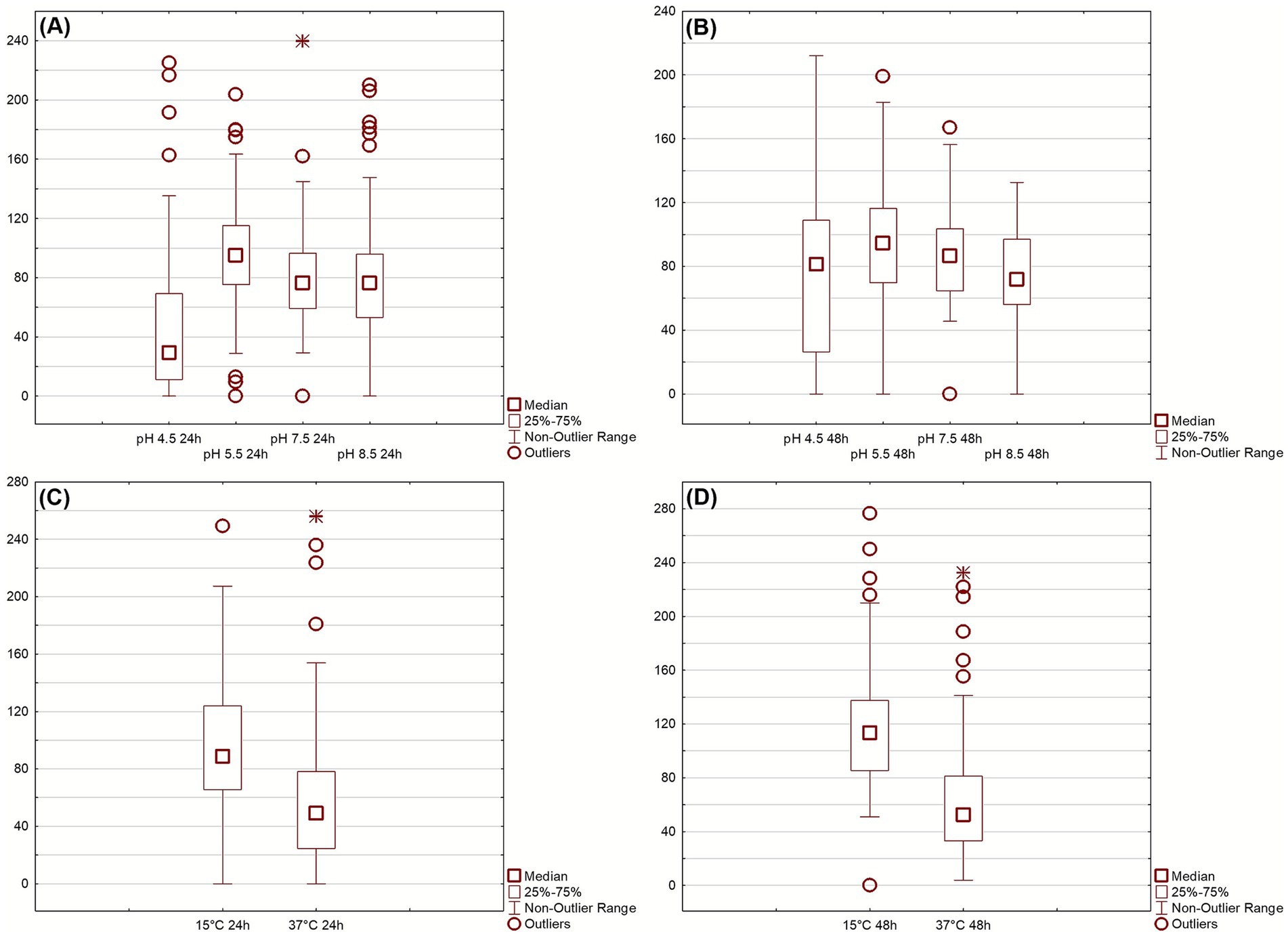
The increasing occurrence of illegal urban waste dumping represents a growing environmental concern due to the accumulation of heavy metals in soils and their long-term impact on soil health and microbial communities. This study investigated indigenous Pseudomonas isolates from twelve contaminated soils collected in Southern Italy, aiming to evaluate their adaptive responses to abiotic stress and their potential for bioremediation. A total of one hundred isolates were obtained and screened for growth under heavy-metal stress conditions (Cu, Pb, Cr, Zn, As). Growth-based tolerance assays were used as a preliminary screening, and only isolates showing measurable removal capacity were further characterized using ICP–OES analysis. Selected strains exhibited broad tolerance across different single-metal exposures, with removal efficiencies exceeding 65 % for Cr, Zn, Cu, and As, and up to 90 % for Pb. These isolates also demonstrated robust growth under osmotic and acidic stress, and maintained viability at low temperatures, suggesting a high level of ecological adaptability. Phylogenetic analysis based on 16S rRNA sequencing confirmed their affiliation within the P. fluorescens and P. putida groups, taxa known for their metabolic flexibility and stress resistance. The convergence of high removal efficiency, stress tolerance, and phylogenetic diversity indicates that these isolates represent strong candidates for bioaugmentation in metal-polluted soils. Future studies will focus on co-exposure experiments with mixed metals to evaluate synergistic and antagonistic effects and to validate their performance under complex contamination scenarios.
Keywords: Pseudomonas, heavy metal, bioremediation, soil contamination, metal resistance, metal reduction
Received: 24 Oct 2025; Accepted: 27 Nov 2025.
Copyright: © 2025 De Santis, Bevilacqua, Conceição, Laranjo, Francavilla, Marone, Corbo and Sinigaglia. This is an open-access article distributed under the terms of the Creative Commons Attribution License (CC BY). The use, distribution or reproduction in other forums is permitted, provided the original author(s) or licensor are credited and that the original publication in this journal is cited, in accordance with accepted academic practice. No use, distribution or reproduction is permitted which does not comply with these terms.
* Correspondence: Antonio Bevilacqua
Disclaimer: All claims expressed in this article are solely those of the authors and do not necessarily represent those of their affiliated organizations, or those of the publisher, the editors and the reviewers. Any product that may be evaluated in this article or claim that may be made by its manufacturer is not guaranteed or endorsed by the publisher.
