REVIEW article
Front. Microbiol.
Sec. Antimicrobials, Resistance and Chemotherapy
Recent Advances in the Biosynthetic Pathway and Structural Modification of Gentamicin
Provisionally accepted- 1Jining Medical University, Jining, China
- 2Shenyang Pharmaceutical University College of Life Sciences and Pharmacy, Benxi, China
Select one of your emails
You have multiple emails registered with Frontiers:
Notify me on publication
Please enter your email address:
If you already have an account, please login
You don't have a Frontiers account ? You can register here
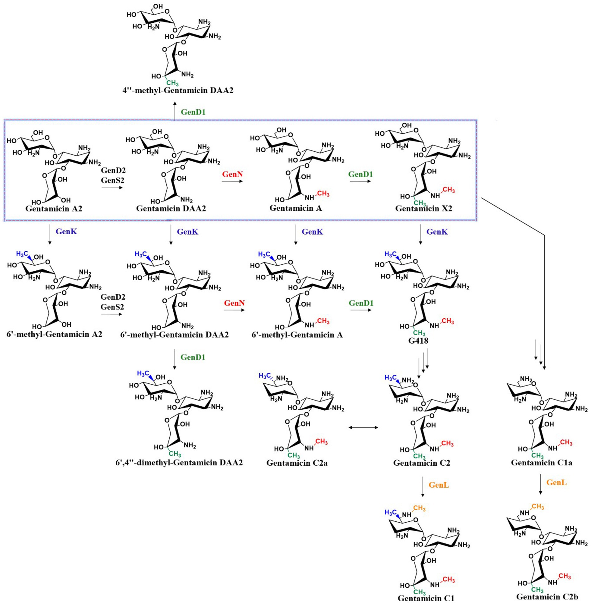
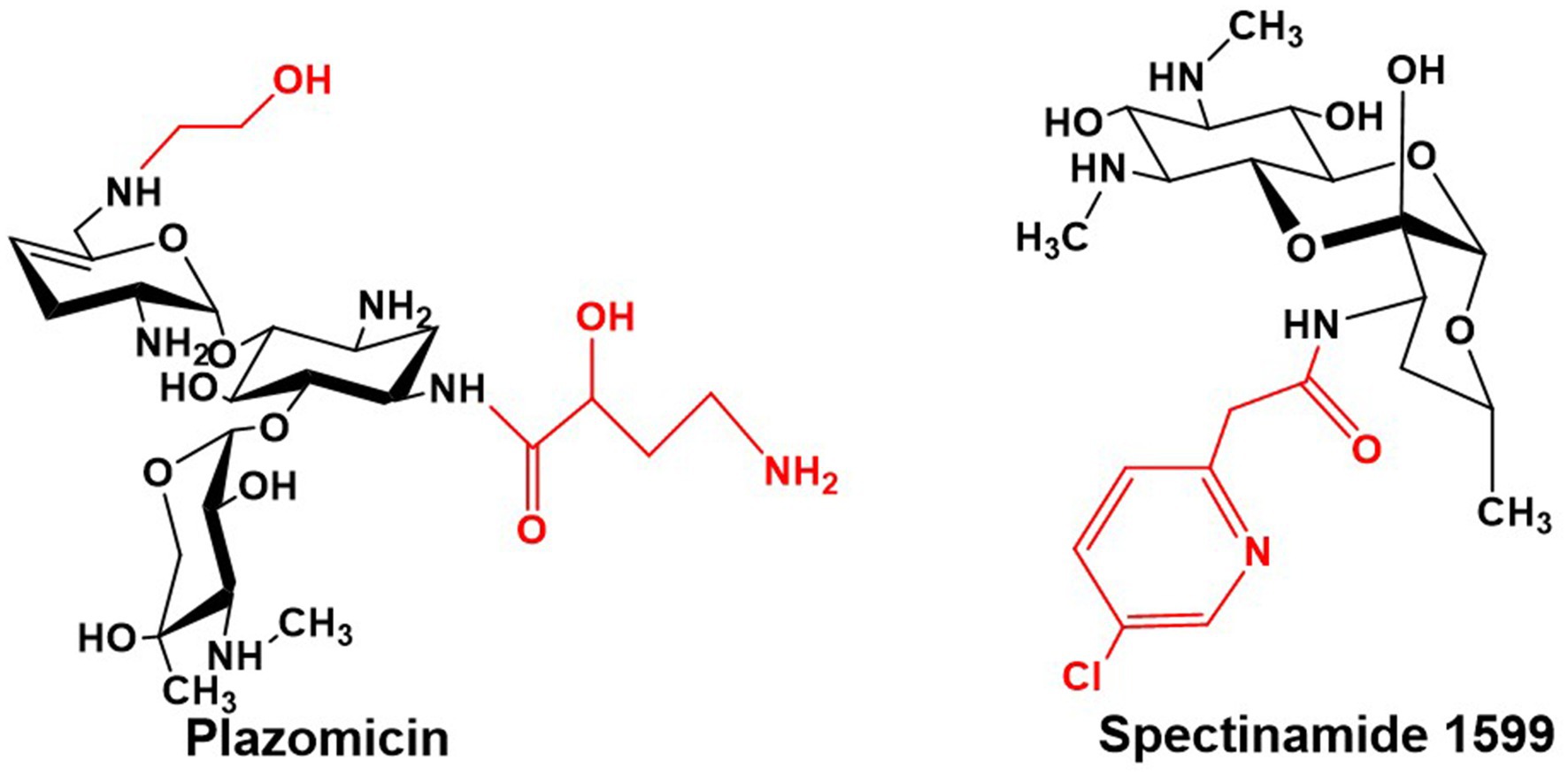
As a member of the first-generation aminoglycoside antibiotics, gentamicin was once widely used in clinical practice. However, due to its drug resistance, toxicity, and side effects and the development of novel antibiotics, gentamicin has gradually faded from the spotlight. However, in recent years, aminoglycoside antibiotics have regained significant attention from the medical community as a critical therapeutic option for severe infections caused by multidrug-resistant bacteria. This review provides a detailed overview of the complete biosynthetic pathway of gentamicin and its recent advances, including the biosynthesis of the core structure 2-deoxystreptamine (2-DOS), the biosynthesis of the first pseudotrisaccharide intermediate gentamicin A2, the key branch point intermediate X2, and its parallel pathways. The methylation network, the transamination–epimerization network, and the di-deoxygenation processes within the gentamicin biosynthetic system are highlighted. Recent progress in the engineering of the gentamicin biosynthetic pathway and the development of novel gentamicin derivatives as new aminoglycoside antibiotics are also summarized. Finally, this review offers perspectives on the future research directions and uses of gentamicin. In summary, a detailed dissection of the complex biosynthetic network of gentamicin is provided to lay the groundwork for targeted and random structural modifications of gentamicin using combinatorial biosynthetic and high-throughput screening technologies to develop new aminoglycoside antibiotics with lower host toxicity and greater activity against resistant strains.
Keywords: Gentamicin, biosynthesis, methylation network, transamination–epimerization network, Di-deoxygenation, Structural modification
Received: 29 Oct 2025; Accepted: 17 Nov 2025.
Copyright: © 2025 Chen, Zou, Qian, Ni and Xia. This is an open-access article distributed under the terms of the Creative Commons Attribution License (CC BY). The use, distribution or reproduction in other forums is permitted, provided the original author(s) or licensor are credited and that the original publication in this journal is cited, in accordance with accepted academic practice. No use, distribution or reproduction is permitted which does not comply with these terms.
* Correspondence:
Xiaotang Chen, xiaotangchen@mail.jnmc.edu.cn
Xianpu Ni, nixianpu126@126.com
Huanzhang Xia, hzxia@syphu.edu.cn
Disclaimer: All claims expressed in this article are solely those of the authors and do not necessarily represent those of their affiliated organizations, or those of the publisher, the editors and the reviewers. Any product that may be evaluated in this article or claim that may be made by its manufacturer is not guaranteed or endorsed by the publisher.
