- 1Department of Neurology, Shanghai East Hospital, Tongji University School of Medicine, Shanghai, China
- 2Pudong New Area Sanlin Community Health Service Center, Shanghai, China
Background and purpose: Estimating the global burden of ischemic strokes (IS) is crucial for enhancing prevention and control strategies.
Methods: We collected four epidemiological indicators—prevalence, incidence, deaths, and disability-adjusted life years (DALYs)—for ischemic stroke (IS) from the Global Burden of Disease (GBD) database, which covers the years 1990 to 2021. Our research analyzed the features of the IS burden and described the trends of these four indicators.
Results: The Joinpoint and age-period-cohort models reflected the changing trends in age-standardized indicators. Decomposition analysis examined the factors influencing each epidemiological indicator. The Bayesian Age-Period-Cohort (BAPC) model detailed changes in the number and rate of IS from 1990 to 2021 and projected trends through 2046. The Norpred model was used to verify the stability of the BAPC prediction results. The prevalence, incidence, deaths, and DALYs due to IS generally exhibited a downward trend. However, the predictions indicated that while the age-standardized incidence rate decreased from 1990 to 2015, this trend reversed between 2016 and 2021 and is expected to continue until 2046. This reversal is likely driven by factors such as population aging, given that age is a strongly correlated risk factor for IS. The IS burden was negatively associated with socio-demographic index (SDI) levels, with high systolic blood pressure identified as the largest risk factor for DALYs and deaths. The consistency between the BAPC and Norpred models enhances the reliability of these projections.
Conclusion: Over the past two decades, trends in prevalence, incidence, deaths, and DALYs have all declined. However, projections suggest that incidence will show an upward trend over the next two decades.
1 Introduction
Stroke, classified into ischemic and hemorrhagic subtypes, remains the second leading cause of death worldwide and the primary cause of disability both globally and in China, imposing a significant economic burden on society and resulting in poor quality of life for patients (1–3). Ischemic stroke (IS), which accounts for approximately 87% of stroke subtypes, is defined as an IS resulting from blockage of cerebral arteries. The restoration of blood flow as soon as possible through intravenous thrombolysis or mechanical thrombolysis is considered to be the primary treatment for IS (4, 5).
Nevertheless, the elevated mortality and disability rates observed in IS are attributable to several factors, including the limited duration of treatment windows and reperfusion injury resulting from oxidative stress and inflammation (6, 7). In addition to effective treatment, primary and secondary preventive measures, such as lifestyle modifications and blood pressure management, are crucial for the prevention of IS (8). Understanding the changing epidemiology of IS is significantly important for both clinical practice and public health to enhance stroke outcomes.
The Global Burden of Disease (GBD) Study aims to quantify the financial burden of health in diverse geographical regions over time, enhancing the efficacy of health systems and eliminating disparities1 (9, 10). The GBD collected data on 369 diseases and injuries across 204 countries, providing a comprehensive and annually updated assessment of the occurrence, prevalence, and mortality rates of disease and injury (10, 11). This offers a valuable opportunity to synthesize the distribution of global pressures for IS.
In this study, we analyzed the incidence, prevalence, mortality, and disability-adjusted life years (DALYs) of IS from 1990 to 2021, along with potential trends from 1990 to 2046 based on GBD 2021. This analysis establishes a foundation for enhancing primary and secondary prevention efforts and improving prognosis.
2 Methods
2.1 Data source
The data on the burden of IS in the present research were obtained from the GBD 2021, which provides researchers with easily accessible, integrated, and comprehensive epidemiological data. The GBD 2021 aggregates seven epidemiological indicators (such as death, incidence, prevalence, years of loss, years of life lost due to disability, DALYs, and maternal mortality ratio) for 376 diseases and injuries across 204 countries and territories, as well as 88 risk factors. Our research queried IS data through the Institute for Health Metrics and Evaluation (IHME). We selected “ischemic stroke” as the cause, four epidemiological indicators (prevalence, incidence, death, and DALYs) as measures, and three expressed units (number, percent, and rate). Based on socio-demographic index (SDI), gender, and age groups, we further analyzed and described the retrieved data. IS is defined as any atherosclerotic or thromboembolic event (excluding transient ischemic episodes) that obstructs blood flow to brain tissue and leads to the development of a cerebral infarction (12).
2.2 Statistical description and analysis
The prevalence, incidence, deaths, and DALYs reflect the epidemiological trend of IS. To more accurately assess the disease burden of IS, age-standard rates (ASR) of prevalence (ASPR), incidence (ASIR), deaths (ASMR), and DALYs (ASDR) were calculated, reducing the heterogeneity caused by differences in the age structure of the population. Furthermore, to reflect the changing trend of the age-standard epidemiological indicators from 1990 to 2021, estimated annual percentage change (EAPC) and annual average percentage change (AAPC) were calculated. Previous research has detailed the concept and formula of EAPC (13, 14). Joinpoint regression software (version 4.9.1.0) analyzed the changes in the epidemiological trend, identified points of significant change, and calculated the annual percentage change (APC) and AAPC. Conventional descriptive methods are limited to describing only changes in epidemiological indicators over time and cannot eliminate or control for interactions between age, period, and cohort. In contrast, the age-period-cohort model integrates these three factors to reflect trends in disease changes by age, period, and cohort (15). The SDI is a composite indicator combining per capita income, average total education, and fertility rate to evaluate a country’s development status. We also analyzed the relationship between the five-level SDI and the burden of IS. The population attributable fraction (PAF) was used to estimate risk factors associated with changes in ASMR and DALY. A decomposition analysis of the incidence of IS was conducted to ascertain how much population-level changes have contributed to variations in incidence over the past 32 years. The Bayesian Age-Period-Cohort (BAPC) model integrates age, period, and cohort effects to describe the number and rate of changes in IS from 1990 to 2021 and to project trends to 2046. To verify the stability of the BAPC prediction results, a Norpred model was performed (16, 17).
3 Result
3.1 The distribution of IS in 2021
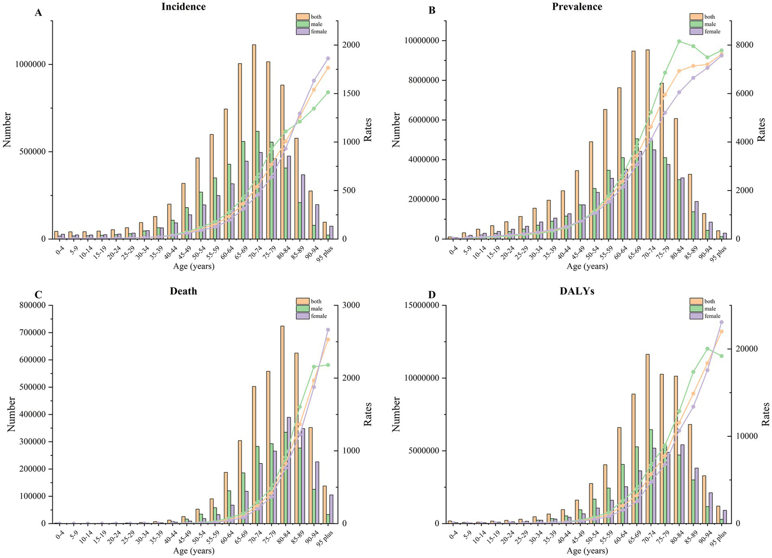
The distribution of incidence, prevalence, deaths, and DALYs across different age groups displayed a near-unimodal pattern in cases of IS (Figure 1). The highest incidence, prevalence, and DALYs of IS were found in the 70–74 years age group. IS deaths peaked in the 80–84 years age group. Prevalence was greater in men than in women across all age groups. However, deaths and DALYs related to IS were higher in men than in women before reaching 90 years, while the opposite was observed after 90. The incidence of IS was also more prevalent in men than in women below the age of 85, with the reverse seen above this cutoff. Additionally, age-standardized rates (ASR) of incidence, prevalence, deaths, and DALYs due to IS exhibited an overall upward trend with age.

Figure 1. The change trend of incidence (A), prevalence (B), death (C), and DALYs (D) by age in 2021.
3.2 Global trend of IS from 1990 to 2021
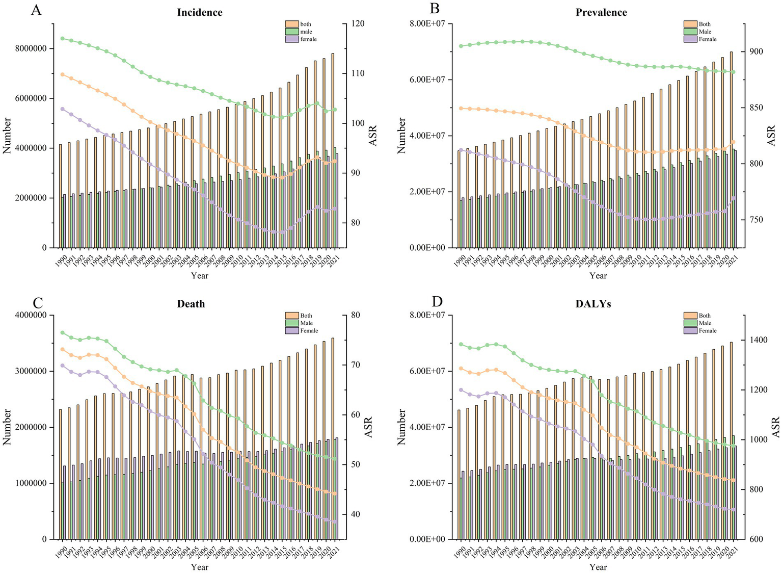
Overall, the ASIR of IS exhibited a decline from 109.79 (93.56 to 127.62) in 1990 to 92.39 (79.84 to 105.82) in 2019, representing a 15.85% reduction (Table 1). Similarly, the ASMR (EAPC -1.83, 95% CI: −1.92 to −1.74), ASPR (EAPC -0.67, 95% CI: −0.76 to −0.58), and DALYs rate (EAPC -1.59, 95% CI: −1.68 to −1.5) of IS also decreased significantly (Figure 2; Supplementary Tables S1–S3). APC by Joinpoint regression analysis is shown in Table 2. From 1990 to 2021, there was a general downward trend in ASIR in IS (AAPC = −0.57, p < 0.05). However, this trend reversed in 2015, with ASIR increasing significantly from 2015 to 2019 (APC = 1.17, p < 0.05) and then decreasing slightly after 2020 (APC = −0.58, p < 0.05). A similar pattern was observed in the ASPR, ASMR, and DALYs, which also demonstrated a general downward trend. The ASPR exhibited the most pronounced decline from 1990 to 2006 (APC = −0.42, p < 0.05), followed by the ASMR (APC = −3.21, p < 0.05) and DALYs (APC = −3.31, p < 0.05). This decline was most notable between 2003 and 2007.

Table 1. Numbers and ASR per 100,000 cases of IS incidence in 1990 and 2021, along with the relative changes and EAPC in ASR per 100,000 cases from 1990 to 2021, categorized by global, SDI, and GBD regions.

Figure 2. The change trend of incidence (A), prevalence (B), death (C), and DALYs (D) from 1990 to 2021.

Table 2. Joinpoint regression analysis of IS, ASIR, ASPR, ASMR, and DALYs globally from 1990 to 2021.
3.3 Age, period, and cohort effects
Table 3 demonstrates the age-period-cohort effect on IS ASIR, ASPR, ASMR, and DALY rates. The ASIR showed an increase starting from the age range of 10–14 years, peaking in the age range of 90–94 years. The ASPR rose from the ages of 0–4 years, reaching its peak at the ages of 80–84 years. The ASMR and DALYs also increased from the ages of 15–19, peaking at ages 95 and older. Additionally, the ASIR, ASPR, ASMR, and DALYs displayed an upward trend between the periods of 1992–1996 and 2017–2021. The birth cohort data for each age group indicated that the ASIR, ASPR, ASMR, and DALYs of IS in the earlier period were lower than those in the later period across all age groups.
3.4 Relationship between IS burden and SDI levels
Figure 3 shows that the ASIR (r = −0.079, p = 0.037), ASPR (r = −0.159, p < 0.001), ASMR (r = −0.103, p = 0.006), and ASDR (r = −0.151, p < 0.001) exhibit a gradual decrease with increasing SDI values. Based on the categorization criteria for SDI in the 2021 GBD, 204 countries and territories worldwide are divided into five levels: high SDI, high-middle SDI, middle SDI, low-middle SDI, and low SDI. To elucidate the relationship between SDI and epidemiological trends in IS more specifically, we described the trends in ASIR, ASPR, ASMR, and DALYs for IS from 1990 to 2021 in countries with different SDI levels. Both ASIR and ASPR show an upward trend in the middle SDI, while individuals in other SDI levels experience a downward trend. The age-standardized mortality and DALYs in all SDI regions decreased from 1990 to 2021 (Table 4).

Figure 3. Changes in the ASIR, ASPR, ASMR, and DALYs of gout globally and across different SDI regions. (A) ASIR, (B) ASPR, (C) ASMR, and (D) DALYs.

Table 4. The change in ASR of prevalence, incidence, deaths, and DALYs from 1990 to 2021 among different SDI levels.
3.5 Population attributable fraction of the IS
The risk factors for IS-related ASMR and DALYs are divided into three categories: environmental risks, behavioral risks, and metabolic risks. In both 1990 and 2021, the leading risk factor for IS-related ASMR was elevated systolic blood pressure. In 2021, elevated systolic blood pressure was also identified as the primary factor for DALYs in both men and women, with respective percentages of 58.38 and 58.71%. Secondhand smoking was the primary contributor to DALYs, with a PAF of 57.23% (95% CI 43.56–68.28), particularly among males, who exhibited a PAF of 56.16% (95% CI 42.37–67.64). For women, the most significant risk factor for DALYs was identified as elevated systolic blood pressure, with a PAF of 58.21% (95% CI: 44.33 to 69.23) (Figure 4; Table 5; Supplementary Table S4).
3.6 Decomposition analysis of IS
Decomposition analyses provide insights into the influence of population aging, population growth, and epidemiology on the burden of ischemic stroke (IS). From 1990 to 2021, there was a notable increase in the incidence of IS globally and across the five SDI regions. This increase can be primarily attributed to population growth at the demographic level. Over the past three decades, population growth has accounted for 64.7, 98.11, and 59.31% of the observed increase in incidence rates globally, in the medium-high SDI region, and in the medium SDI region, respectively (Table 6). The impact of population growth on morbidity was most significant in the high SDI region (142.82%), followed by the low SDI region (116.49%), and then the low and medium SDI regions (65.3%) (Figure 5; Table 6).
3.7 Frontier analysis of IS DALYs
The effective difference (EF) and variance were observed to be relatively minor in the low SDI region, while the EF and variance exhibited notable discrepancies in the high SDI region. Additionally, our observations indicated a notable degree of heterogeneity in the EF when the SDI was between 0.6 and 0.8. The five countries closest to the frontier were Somalia, Puerto Rico, Ethiopia, Israel, and El Salvador. In contrast, the five countries furthest from the frontier were North Macedonia, Egypt, Bulgaria, Iraq, and Serbia (see Figure 6).

Figure 6. Frontier analysis using ASDR. The solid black line indicates the frontier, while the dots indicate the countries and regions. The red dots show a downward trend in IS ASDR from 1990 to 2021, whereas the blue dots indicate the opposite trend.
3.8 Prediction analysis
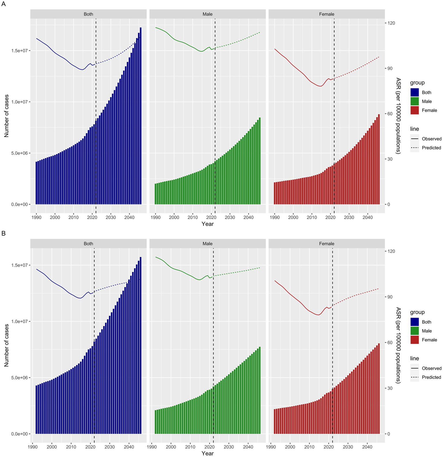
To delineate and forecast the incidence trends of IS up to 2046, the BAPC model and Norpred were employed. A notable increase in the number of incidences was observed for both genders from 1990 to 2046, as indicated by the BAPC model. However, the ASIR demonstrated a fluctuating trend, initially declining and then increasing, with females showing a more pronounced trajectory. Specifically, the ASIR declined from 1990 to 2015. This downward trend reversed between 2016 and 2021, with projections indicating its continuation until 2046 (Figure 7A). The trend predicted by Norpred was also consistent with that of the BAPC (Figure 7B).

Figure 7. Projected ASIR for IS by gender (both men and women) from 1990 to 2046 based on the BAPC model (A) and Norpred (B).
4 Discussion
Our research provided the most up-to-date description and analysis of global epidemiological trends in IS incidence, prevalence, mortality, and DALYs based on the latest data from the 2021 GBD. From 1990 to 2021, the incidence, prevalence, mortality, and DALYs for IS showed a consistent upward trajectory. However, a downward trend was observed in the ASIR, ASPR, ASMR, and DALYs. This finding aligns with the observations made by Zhang et al. in their research using the GBD 2019. The decline in mortality and DALYs for IS may be attributed to several factors. First, intensive care management methods for patients with severe strokes are becoming increasingly sophisticated (18). Second, the use of tissue fibrinogen activators in treatment regimens is also a significant contributing factor (19). Additionally, advances in endovascular thrombectomy may also play a role. In conclusion, these factors suggest that the observed trends result from a complex interplay of systemic improvements in stroke management (12). Moreover, the epidemiological trend of IS in 2021 showed variations related to age and gender. In particular, age-specific rates of incidence, prevalence, mortality, and DALYs for IS demonstrated an overall increase with age, a finding corroborated by previous research. This trend has also been confirmed by previous studies (20). The aging population appears to significantly contribute to the rising incidence. A total of 85% of strokes occur in individuals aged 65 and older, and the incidence of stroke doubles every decade after the age of 55 (21). The molecular mechanisms of the immune system dysregulate with age, affecting the pathophysiology and transcriptional amplitude in stroke patients, thereby playing a crucial role in determining the incidence and outcomes of stroke (22).
As we age, there is an imbalance between pro-inflammatory and anti-inflammatory molecules, with the former becoming more predominant. This low-grade, chronic inflammatory state heightens the risk of stroke. Additionally, the aging immune system may provoke potentially harmful immune responses following a stroke, accelerate neurodegeneration, and significantly influence stroke prognosis (23, 24). Elderly patients who have experienced a cerebrovascular accident are more susceptible to immune deficiencies, vascular dysfunction, and a higher risk of infections (25). Furthermore, the aging process is linked to larger cerebral infarcts, worsening neurological deficits post-stroke, and damage to the blood–brain barrier (26). These factors can explain the increase in ASIR, ASPR, ASMR, and DALYs of IS in 2021 with age.
The SDI is often used to gauge economic advancement within a region or country. Studies have shown that the epidemiological patterns of IS may change according to economic development levels (27). Therefore, we conducted a comprehensive analysis of the relationship between the epidemiological trends of IS and SDI levels. We observed that SDI levels were negatively associated with ASIR, ASPR, ASMR, and DALYs in IS. In general, SDI, ASIR, and ASPR of IS exhibited an upward trend, while ASMR and DALYs showed a downward trend. Authoritative statistics show that low- and middle-income countries have higher stroke mortality rates and tend to experience lower ages of onset, accounting for a relatively high proportion of strokes (19–30%), exacerbating the burden of disability and DALYs lost in developing countries (4, 28, 29).
Identifying risk factors is crucial in preventing IS. The primary risk factor for IS-related death and the global DALY rate in 2021 was high systolic blood pressure. Systolic blood pressure (SBP) is linked to various cardiovascular outcomes, including ischemic heart disease, with high SBP being the most significant contributor to SBP-related deaths (30–32). It has been demonstrated that DALYs and deaths associated with elevated SBP were increased. At the global level, 26% of DALYs occurred in individuals with SBP between 140 and 150 mmHg, while 45% occurred in those with SBP of 160 mmHg or higher. Individuals with high SBP (140 mmHg or higher) account for 73.2% (95% UI, 71. 5%-75. 0%) of all SBP-related deaths (33). Consequently, managing blood pressure is critical for IS prevention. Strategies include implementing community-level blood pressure screening programs for high-risk groups; developing mobile health applications to help patients monitor and manage their blood pressure; reducing salt in processed foods; and conducting public education campaigns. Additionally, we identified high LDL cholesterol and elevated fasting blood glucose as significant risk factors. To address these, we should promote cholesterol screening, conduct educational programs to guide high-risk individuals in managing lipid levels, implement early diabetes screening and prevention plans, and offer comprehensive management for diabetes patients, including diet, exercise, and medication. Environmental factors also play a critical role, with household air pollution from solid fuels being a major contributor. To mitigate this, we can promote clean cooking technologies and fuels, especially in low-income and rural areas, phase out high-pollution fuels, and conduct public education campaigns to raise awareness about the dangers of indoor air pollution.
Frontier analysis, based on the SDI and age-standardized DALYs, provided key insights into the trajectory of global IS DALYs from 1990 to 2021. The overall narrative presents a clear picture: the burden of DALYs due to IS increased as the SDI rose. However, an in-depth examination of the 2021 data revealed subtle differences across the various SDI regions. In the low-SDI region, Somalia, Ethiopia, and El Salvador showed limited potential for DALY improvement. Among all the regions, North Macedonia has the greatest potential for enhancing DALYs, and local governments should implement additional relevant measures to foster DALY improvements.
In the prediction analysis, the age-standardized rate and numbers of new cases for IS from 2020 to 2046 showed a gradual increasing trend. Population aging may provide a more plausible explanation for the phenomenon. The 20th century witnessed an unprecedented increase in average life expectancy and a rapid decline in human fertility in many countries worldwide. Globally, the proportion of the population older than 60 years increased from 9.2% in 1990 to 11.7% in 2013 and is projected to reach 21.1% by 2050 (34). Among the 293 GBD causes, IS was identified as an age-related diseases (35). 85% of strokes occur in individuals over 65 years of age, and the incidence of stroke doubles every decade after the age of 55 (21). Therefore, the rates of aging are accelerating, leading to an increased burden of IS. The burden of age-related diseases accounts for 51.3% of the overall burden (35). Based on the World Health Organization’s concept of healthy aging, each country should develop a monitoring and evaluation framework tailored to its own national realities, providing vital references for optimizing prevention and control strategies.
4.1 Limitations
This study’s reliance on the GBD database presents several limitations. As a secondary data source, our analysis may reflect the biases inherent in GBD’s data collection and modeling techniques. Although GBD provides global health metrics, its applicability is limited by variations in national health systems and data collection capabilities. Additionally, GBD might not fully capture local health trends, particularly in areas with limited data availability. Delays in data updates can also impact the timeliness of results, especially in a rapidly evolving global health context. Therefore, it is important to interpret and apply the findings with caution and, whenever possible, validate them using other data sources.
Data availability statement
The datasets presented in this study can be found in online repositories. The names of the repository/repositories and accession number(s) can be found in the article/Supplementary material.
Author contributions
HZ: Data curation, Resources, Writing – original draft, Writing – review & editing. SL: Data curation, Resources, Software, Writing – original draft. YJ: Conceptualization, Methodology, Software, Writing – original draft. WC: Formal analysis, Supervision, Visualization, Writing – original draft. WZ: Conceptualization, Resources, Supervision, Writing – original draft. DH: Conceptualization, Writing – review & editing.
Funding
The author(s) declare that financial support was received for the research and/or publication of this article. This study was supported by the National Natural Science Foundation of China (grant nos. 82000378).
Acknowledgments
We would like to express our deepest gratitude to the Institute for Health Metrics and Evaluation (IHME) for granting access to the GBD database. Our sincere thanks go to the entire GBD study team for their tireless efforts in compiling and maintaining this invaluable resource.
Conflict of interest
The authors declare that the research was conducted in the absence of any commercial or financial relationships that could be construed as a potential conflict of interest.
Publisher’s note
All claims expressed in this article are solely those of the authors and do not necessarily represent those of their affiliated organizations, or those of the publisher, the editors and the reviewers. Any product that may be evaluated in this article, or claim that may be made by its manufacturer, is not guaranteed or endorsed by the publisher.
Supplementary material
The Supplementary material for this article can be found online at: https://www.frontiersin.org/articles/10.3389/fneur.2025.1492691/full#supplementary-material
Abbreviations
GBD, Global Burden of Disease; UI, Uncertainty intervals; CI, Confidence intervals; DALYs, Disability-Adjusted Life Years; EAPC, Estimated Annual Percentage Change; BAPC, Bayesian age-period-cohort; ASR, Age-standardized rate; SDI, Socio-demographic Index; ASIR, Age-standardized rate of Incidence; ASPR, Age-standardized rate of Prevalence; ASMR, Age-standardized rate of Death; ASDR, Age-standardized rate of DALYs; IS, Ischemic strokes; APC, Annual percentage change; AAPC, Annual average percentage change; PAF, Population-attributable fraction.
Footnotes
References
1. GBD 2019 Stroke Collaborators. Global, regional, and national burden of stroke and its risk factors, 1990-2019: a systematic analysis for the global burden of disease study 2019. Lancet Neurol. (2021) 20:795–820. doi: 10.1016/S1474-4422(21)00252-0
2. Zhou, M, Wang, H, Zeng, X, Yin, P, Zhu, J, Chen, W, et al. Mortality, morbidity, and risk factors in China and its provinces, 1990-2017: a systematic analysis for the global burden of disease study 2017. Lancet. (2019) 394:1145–58. doi: 10.1016/S0140-6736(19)30427-1
3. Pandian, JD, Gall, SL, Kate, MP, Silva, GS, Akinyemi, RO, Ovbiagele, BI, et al. Prevention of stroke: a global perspective. Lancet Lond Engl. (2018) 392:1269–78. doi: 10.1016/S0140-6736(18)31269-8
4. Virani, SS, Alonso, A, Benjamin, EJ, Bittencourt, MS, Callaway, CW, Carson, AP, et al. American Heart Association Council on epidemiology and prevention statistics committee and stroke statistics subcommittee. Heart disease and stroke Statistics-2020 update: a report from the American Heart Association. Circulation. (2020) 141:e139–596. doi: 10.1161/CIR.0000000000000757
5. Qin, C, Yang, S, Chu, YH, Zhang, H, Pang, XW, Chen, L, et al. Signaling pathways involved in ischemic stroke: molecular mechanisms and therapeutic interventions. Signal Transduct Target Ther. (2022) 7:215. doi: 10.1038/s41392-022-01064-1
6. Chamorro, Á, Dirnagl, U, Urra, X, and Planas, AM. Neuroprotection in acute stroke: targeting excitotoxicity, oxidative and nitrosative stress, and inflammation. Lancet Neurol. (2016) 15:869–81. doi: 10.1016/S1474-4422(16)00114-9
7. Shaik, NF, Regan, RF, and Naik, UP. Platelets as drivers of ischemia/reperfusion injury after stroke. Blood Adv. (2021) 5:1576–84. doi: 10.1182/bloodadvances.2020002888
8. Diener, HC, and Hankey, GJ. Primary and secondary prevention of ischemic stroke and cerebral hemorrhage: JACC focus seminar. J Am Coll Cardiol. (2020) 75:1804–18. doi: 10.1016/j.jacc.2019.12.072
9. GBD 2017 Causes of Death Collaborators. Global, regional, and national age-sex-specific mortality for 282 causes of death in 195 countries and territories, 1980-2017: a systematic analysis for the global burden of disease study 2017. Lancet. (2018) 392:1736–88. doi: 10.1016/S0140-6736(18)32203-7
10. GBD 2019 Diseases and Injuries Collaborators. Global burden of 369 diseases and injuries in 204 countries and territories, 1990-2019: a systematic analysis for the global burden of disease study 2019. Lancet Lond Engl. (2020) 396:1204–22.
11. GBD 2019 Demographics Collaborators. Global age-sex-specific fertility, mortality, healthy life expectancy (HALE), and population estimates in 204 countries and territories, 1950-2019: a comprehensive demographic analysis for the global burden of disease study 2019. Lancet. (2020) 396:1160–203. doi: 10.1016/S0140-6736(20)30977-6
12. Renedo, D, Acosta, JN, Leasure, AC, Sharma, R, Krumholz, HM, de Havenon, A, et al. Burden of ischemic and hemorrhagic stroke across the US from 1990 to 2019. JAMA Neurol. (2024) 81:394–404. doi: 10.1001/jamaneurol.2024.0190
13. Bu, X, Xie, Z, Liu, J, Wei, L, Wang, X, Chen, M, et al. Global PM2.5-attributable health burden from 1990 to 2017: estimates from the global burden of disease study 2017. Environ Res. (2021) 197:111123. doi: 10.1016/j.envres.2021.111123
14. Han, T, Chen, W, Qiu, X, and Wang, W. Epidemiology of gout—global burden of disease research from 1990 to 2019 and future trend predictions. Ther Adv Endocrinol Metab. (2024) 15:20420188241227295. doi: 10.1177/20420188241227295
15. Li, Y, Ning, Y, Shen, B, Shi, Y, Song, N, Fang, Y, et al. Temporal trends in prevalence and mortality for chronic kidney disease in China from 1990 to 2019: an analysis of the global burden of disease study 2019. Clin Kidney J. (2022) 16:312–21. doi: 10.1093/ckj/sfac218
16. Wen, H, Xie, C, Wang, L, Wang, F, Wang, Y, Liu, X, et al. Difference in long-term trends in COPD mortality between China and the U.S., 1992–2017: An age-period-cohort analysis. Int J Environ Res Public Health. (2019) 16:1529. doi: 10.3390/ijerph16091529
17. Available online at: https://pubmed.ncbi.nlm.nih.gov/35728417/
18. Bevers, MB, and Kimberly, WT. Critical Care Management of Acute Ischemic Stroke. Curr Treat Options Cardiovasc Med. (2017) 19:41.
19. de Havenon, A, Abbasi, M, Yaghi, S, Delic, A, Bangad, A, Johnston, K, et al. Effect of Alteplase on ischemic stroke mortality is dependent on stroke severity. Ann Neurol. (2023) 93:1106–16. doi: 10.1002/ana.26621
20. GBD 2016 Stroke Collaborators. Global, regional, and national burden of stroke, 1990-2016: a systematic analysis for the global burden of disease study 2016. Lancet Neurol. (2019) 18:439–58.
21. Androvic, P, Kirdajova, D, Tureckova, J, Zucha, D, Rohlova, E, Abaffy, P, et al. Decoding the transcriptional response to ischemic stroke in young and aged mouse brain. Cell Rep. (2020) 31:107777. doi: 10.1016/j.celrep.2020.107777
22. Chen, Q, Wu, M, Tang, Q, Yan, P, and Zhu, L. Age-related alterations in immune function and inflammation: focus on ischemic stroke. Aging Dis. (2024) 15:1046–74. doi: 10.14336/AD.2023.0721-1
23. Fulop, T, Larbi, A, Pawelec, G, Khalil, A, Cohen, AA, Hirokawa, K, et al. Immunology of aging: the birth of Inflammaging. Clin Rev Allergy Immunol. (2023) 64:109–22. doi: 10.1007/s12016-021-08899-6
24. Mayne, K, White, JA, McMurran, CE, Rivera, FJ, and de la Fuente, AG. Aging and neurodegenerative disease: is the adaptive immune system a friend or foe? Front Aging Neurosci. (2020) 12:572090. doi: 10.3389/fnagi.2020.572090
25. Gallizioli, M, Arbaizar-Rovirosa, M, Brea, D, and Planas, AM. Differences in the post-stroke innate immune response between young and old. Semin Immunopathol. (2023) 45:367–76. doi: 10.1007/s00281-023-00990-8
26. Liberale, L, Bonetti, NR, Puspitasari, YM, Vukolic, A, Akhmedov, A, Diaz-Cañestro, C, et al. TNF-α antagonism rescues the effect of ageing on stroke: perspectives for targeting inflamm-ageing. Eur J Clin Investig. (2021) 51:e13600. doi: 10.1111/eci.13600
27. Zhao, D, Liu, J, Wang, W, Zeng, Z, Cheng, J, Liu, J, et al. Epidemiological transition of stroke in China: twenty-one-year observational study from the Sino-MONICA-Beijing project. Stroke. (2008) 39:1668–74. doi: 10.1161/STROKEAHA.107.502807
28. Hathidara, MY, Saini, V, and Malik, AM. Stroke in the young: a global update. Curr Neurol Neurosci Rep. (2019) 19:91. doi: 10.1007/s11910-019-1004-1
29. Wang, J, Bai, L, Shi, M, Yang, L, An, Z, Li, B, et al. Trends in age of first-ever stroke following increased incidence and life expectancy in a low-income Chinese population. Stroke. (2016) 47:929–35. doi: 10.1161/STROKEAHA.115.012466
30. Collins, R, Peto, R, MacMahon, S, Godwin, J, Qizilbash, N, Collins, R, et al. Blood pressure, stroke, and coronary heart disease. Part 2, short-term reductions in blood pressure: overview of randomised drug trials in their epidemiological context. Lancet Lond. Engl. (1990) 335:827–38. doi: 10.1016/0140-6736(90)90944-Z
31. Feigin, VL, Stark, BA, Johnson, CO, Roth, GA, Bisignano, C, Abady, GG, et al. Effect of blood pressure lowering and antihypertensive drug class on progression of hypertensive kidney disease: results from the AASK trial. JAMA. (2002) 288:2421–31. doi: 10.1001/jama.288.19.2421
32. Van Gaal, LF, Mertens, IL, and De Block, CE. Mechanisms linking obesity with cardiovascular disease. Nature. (2006) 444:875–80. doi: 10.1038/nature05487
33. Forouzanfar, MH, Liu, P, Roth, GA, Ng, M, Biryukov, S, Marczak, L, et al. Global burden of hypertension and systolic blood pressure of at least 110 to 115 mm hg, 1990-2015. JAMA. (2017) 317:165–82. doi: 10.1001/jama.2016.19043
34. Sander, M, Oxlund, B, Jespersen, A, Krasnik, A, Mortensen, EL, Westendorp, RGJ, et al. The challenges of human population ageing. Age Ageing. (2015) 44:185–7. doi: 10.1093/ageing/afu189
Keywords: global burden of disease study, ischemic stroke, Joinpoint regression, trends analysis, preventive health services, forecasting analysis
Citation: Zhao H, Lu S, Jie Y, Chao W, Zhu W and Huang D (2025) Comprehensive analysis of the ischemic stroke burden at global, regional, and national levels (1990–2021): trends, influencing factors, and future projections. Front. Neurol. 16:1492691. doi: 10.3389/fneur.2025.1492691
Edited by:
Ciro Fernando Bustillo LeCompte, Toronto Metropolitan University, CanadaReviewed by:
Sonia Santos Lasaosa, Lozano Blesa University Clinical Hospital, SpainAbdullah M. Al-Qudah, University of Pittsburgh Medical Center, United States
Mrinalini Srivastava, Indian Institute of Technology Delhi, India
Copyright © 2025 Zhao, Lu, Jie, Chao, Zhu and Huang. This is an open-access article distributed under the terms of the Creative Commons Attribution License (CC BY). The use, distribution or reproduction in other forums is permitted, provided the original author(s) and the copyright owner(s) are credited and that the original publication in this journal is cited, in accordance with accepted academic practice. No use, distribution or reproduction is permitted which does not comply with these terms.
*Correspondence: Dongya Huang, ZG9uZ3lhaHVhbmc3N0Bob3RtYWlsLmNvbQ==
†These authors have contributed equally to this work