You're viewing our updated article page. If you need more time to adjust, you can return to the old layout.

ORIGINAL RESEARCH article

Front. Neurol.

Sec. Neurological Biomarkers

Associations between Blood glucose - lipid levels and post-intravenous thrombolysis outcomes in stroke patients: A retrospective study utilizing logistic regression analysis

    LH

    Liu He

    RL

    Rong Li

    YL

    Yan Liu

    XT

    Xin Tan

    LW

    Lei Wang

    XZ

    Xi Zhu

    QZ

    Qiang Zhou

    ZY

    Zhiyong Yang

    HL

    Hua Liu

  • Department of neurology, Affiliated Hospital of Southwest Jiaotong University, The Third People's Hospital of Chengdu, Chengdu Sichuan 610031, China, Chengdu, China

Article metrics

View details

243

Views

The final, formatted version of the article will be published soon.

Abstract

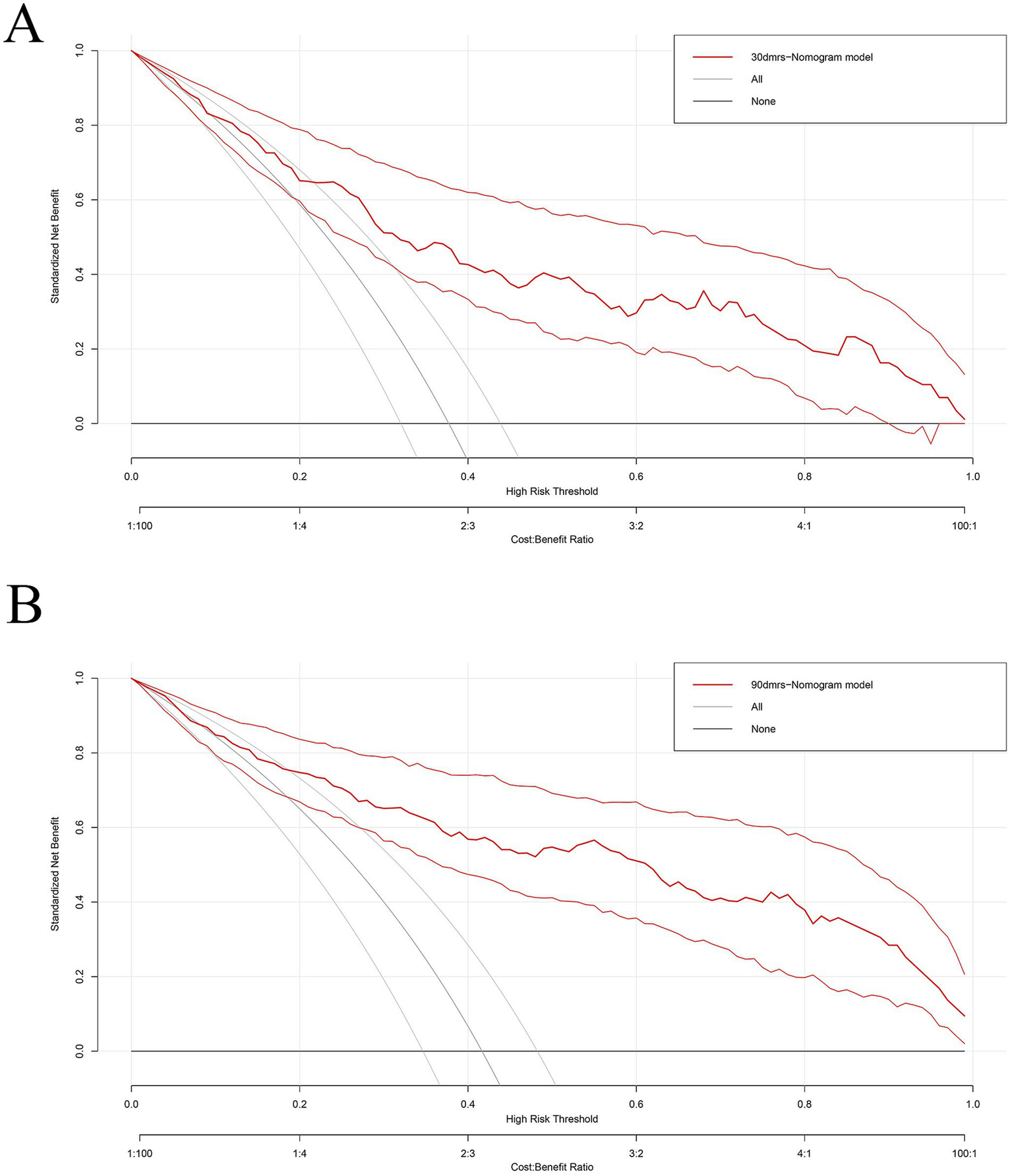
Objective: This study investigates the relationship between blood glucose and lipid profiles and the functional outcomes of acute ischemic stroke (AIS) patients treated with intravenous thrombolysis. Methods: We retrospectively analyzed data from AIS patients admitted to a tertiary hospital in Chengdu between September 2023 and March 2025. Patients were grouped according to post-thrombolysis modified Rankin Scale (mRS) scores into good outcome (0–2) and poor outcome (3–6) categories. Multivariable logistic regression and nomogram modeling were used to identify predictors of 30- and 90-day outcomes. Results: The final predictive model included 11 variables, and the results showed higher age, smoking, diabetes, higher systolic blood pressure (SBP) , higher diastolic blood pressure (DBP), higher total cholesterol (TC), lower high-density lipoprotein cholesterol (HDL), higher low-density lipoprotein cholesterol (LDL), higher haemoglobin A1c (HbA1c), and higher fasting plasma glucose (FPG) were independent risk factors. This model demonstrated robust predictive performance and accuracy across all timepoints (training dataset at 30 days, the AUC of 0.821 ,95%CI: 0.765-0.877; training dataset at 90 days, the AUC of 0.871 ,95%CI: 0.824-0.919). Conclusion: Blood glucose and lipid levels are linked to outcomes after intravenous thrombolysis in stroke. Despite model limitations, these modifiable parameters may support risk-stratified management, potentially improving functional outcomes post-thrombolysis.

Summary

Keywords

Acute ischemic stroke, blood glucose-lipid levels, intravenousthrombolysis, logistic regression model, Modified Rankin scale

Received

03 October 2025

Accepted

02 February 2026

Copyright

© 2026 He, Li, Liu, Tan, Wang, Zhu, Zhou, Yang and Liu. This is an open-access article distributed under the terms of the Creative Commons Attribution License (CC BY). The use, distribution or reproduction in other forums is permitted, provided the original author(s) or licensor are credited and that the original publication in this journal is cited, in accordance with accepted academic practice. No use, distribution or reproduction is permitted which does not comply with these terms.

*Correspondence: Hua Liu

Disclaimer

All claims expressed in this article are solely those of the authors and do not necessarily represent those of their affiliated organizations, or those of the publisher, the editors and the reviewers. Any product that may be evaluated in this article or claim that may be made by its manufacturer is not guaranteed or endorsed by the publisher.

Outline

Share article

Article metrics