Abstract
Introduction:
Resting-state electroencephalogram (EEG) presents a promising biometric modality due to its inherent liveness detection and resistance to spoofing, addressing critical vulnerabilities in conventional systems. However, its deployment faces fundamental trade-offs among accuracy, robustness, and hardware efficiency, particularly concerning optimal electrode configuration, discriminative feature extraction, and classifier generalization.
Methods:
To address these challenges, this study systematically evaluates thirteen entropy measures—including spectral entropy (SpEn), refined composite multiscale entropy, fuzzy entropy, and sample entropy (SaEn) etc.—alongside six classifiers (Quadratic Discriminant Analysis (QDA), Random Forests and Support Vector Machines etc.) for person authentication. Using 32-channel EEG recordings from 26 healthy participants under rigorous leave-one-out cross-validation (LOOCV), we quantified the impact of electrode selection and feature-classifier pairing.
Results:
Key findings demonstrate: QDA classifier achieved peak performance of 96.8% accuracy using 30 electrodes. Critically, a streamlined 9-electrode portable configuration retained 96.1% accuracy, demonstrating robust performance with reduced hardware requirements. SpEn measure exhibited superior biometric discriminability compared with other entropy measures, exceeding SaEn by 13.8 percentage points.
Conclusion:
These results advance the design of portable EEG biometric devices while highlighting entropy features’ scalability.
1 Introduction
Person authentication, verifying an identity claim through 1:1 biometric matching against stored templates, faces growing demands for enhanced security, privacy, and convenience. Conventional biometrics [e.g., fingerprint (Crouse et al., 2015), hand geometry (Bera et al., 2015), iris textures (Kumar and Passi, 2010)] and voice patterns (Pal and Saha, 2015) exhibit well-documented vulnerabilities including spoof susceptibility, template aging, and postmortem misuse risks. In contrast, electroencephalogram (EEG) signals offer inherent advantages as a biometric modality: spoofing resistance due to the non-replicable nature of neural dynamics, automatic postmortem invalidation, and continuous liveness monitoring capabilities (Billeci et al., 2013; Unnisa et al., 2025). These advantages, position EEG as a compelling biometric modality for next-generation security systems.
However, the transition of EEG-based authentication from laboratory environments to real-world deployment faces significant practical constraints (Unnisa et al., 2025). First, environmental fragility plagues resting-state EEG protocols—the dominant approach for its operational convenience (Di et al., 2019; Wang et al., 2016). Although passive acquisition of neural signatures avoids cognitive burdens (Kim and Kim, 2019; Waili et al., 2019), these protocols exhibit higher susceptibility to motion artifacts and ambient noise than stimulus-driven paradigms, critically compromising signal-to-noise ratios (SNR) in uncontrolled environments. For instance, Suppiah et al. (2016) demonstrated that even basic state transitions (eyes open/closed) introduce significant intra-subject variability in single-channel systems.
Second, hardware-accuracy tradeoffs impose scalability constraints (Carrión-Ojeda et al., 2021). Electrode count directly governs spatial resolution and system complexity: while high-density electrode arrays (64 + channels) achieve excellent discriminative performance, they incur prohibitive costs and operational complexity that hinder scalability (Barayeu et al., 2020). Conversely, consumer-grade devices (typically ≤16 channels) sacrifice accuracy for practical usability (Zhang et al., 2023). Necessitating application-specific optimization between performance and practicality (Kawala-Janik et al., 2015; Wu and Zhao, 2023).
The third challenge involves feature selection and classifier construction. Feature extraction challenges arise from EEG’s inherent nonlinearity and non-stationarity. Feature extraction from EEG signals can be performed in the temporal, spatial, and spectral domains, each offering distinct insights into the underlying neural activity (Ramzan and Dawn, 2023). In the time domain, autoregressive (AR) models are commonly used to extract features, while power spectral density (PSD) (Wang et al., 2019) and wavelet-based methods are employed in the frequency domain. Despite the utility of these methods, many traditional approaches may not fully capture the rich information in EEG signals. Entropy measures address this gap by quantifying signal uncertainty and complexity, offering robust analytical frameworks for EEG (Tenev et al., 2025; Yang et al., 2025). Recent research has explored advanced feature extraction techniques, such as entropy-based methods and time-frequency analysis, to improve the accuracy and robustness of EEG-based biometric systems (Hernández-Álvarez et al., 2022; Min et al., 2017; Vella et al., 2017). Multivariate Multiscale Entropy (MvMSE) captures the complexity of EEG signals across both temporal scales and spatial electrodes, enabling the characterization of spatiotemporal complexity profiles in multivariate signals (Lewandowska et al., 2023). Multivariate dispersion entropy (MvDPE) can simultaneously capture temporal dynamics and inter-channel interactions, providing stable estimates even for short time series (Azami et al., 2019). Through various variants including wavelet entropy, Shannon entropy, generalized Escort-Tsallis entropy, and Rényi entropy, these entropy measures effectively quantify signal complexity, providing new perspectives for deeply understanding and utilizing the individual characteristics of EEG signals.
In EEG-based authentication, classification methods primarily include machine learning (ML) and deep learning (DL) approaches. Traditional machine learning techniques, such as support vector machines (SVM), random forests (RF), and K-nearest neighbors (KNN), are widely used due to their simplicity, interpretability, and computational efficiency. For instance, Kaewwit et al. (2017) integrated AR modeling, independent component analysis, and KNN classifiers reaching 92.7% accuracy under 10-fold cross-validation. Hernández-Álvarez et al. (2022) achieved 91.1% accuracy using a RF approach. DL models, including convolutional neural networks (CNN), recurrent neural networks (RNN), long short-term memory (LSTM), and gated recurrent units (GRU), have emerged as a powerful tool for enhancing classification accuracy. For instance, the combination of CNN and LSTM models, as well as bidirectional LSTM with neural networks (BLSTM-NN), has demonstrated superior performance, with accuracies reaching 97.6%. Despite these advantages, DL models face challenges including high computational demands, substantial data requirements, and limited interpretability compared to ML alternatives.
Despite growing interest in EEG-based biometrics, the non-stationarity and non-linearity of EEG signals complicate feature extraction and classification, limiting practical deployment. Although prior studies improve accuracy, key gaps persist—including suboptimal feature selection, classifier robustness, and performance degradation with reduced electrodes. To address this, we systematically evaluate entropy features and classifiers for resting-state EEG person authentication, aiming to balance practicality and high performance. Key contributions are: (1) Entropy Feature Evaluation: Thirteen entropy measures (e.g., approximate entropy (ApEn), refined composite multiscale entropy (RCMSE), fuzzy entropy (FuEn) and spectral entropy (SpEn) etc.) are assessed, revealing SpEn ‘s superior efficacy for short, noisy EEG data in distinguishing individuals. (2) Classifier Benchmarking: Six algorithms are tested, with QDA and ensemble methods showing consistent robustness under resting-state conditions. (3) Optimized Configuration: Using only nine electrodes and QDA, we achieve 96.1% accuracy (26-subject dataset, leave-one-out validation), enhancing reliability while minimizing hardware complexity.
The remainder of this paper is organized as follows. Section 1 introduces the background, motivation, and research objectives. Section 2 details the methodology, including data acquisition, data preprocessing, entropy-based feature extraction, and classification algorithms. Section 3 presents the experimental results and performance analysis. Section 4 discusses the findings in the context of existing literature and highlights future research directions. Finally, Section 5 concludes the study and summarizes the key contributions.
2 Materials and methods
The experimental workflow follows five sequential phases: (1) EEG data acquisition, (2) preprocessing of raw recordings including artifact removal, (3) segmentation into fixed-length epochs, (4) development of a classification model using entropy-derived features (e.g., SaEn), and (5) performance evaluation of classifiers. This pipeline is schematically detailed in Figure 1. Each authentication trial constitutes a binary classification task: given a claimed identity, the system verifies whether a test EEG epoch matches the enrolled template for that individual (genuine user) or not (imposter).
Figure 1

Workflow of the proposed study and Channel location.
2.1 Data acquisition
Twenty-six healthy adults (aged 18 to 24 years; 12 males and 14 females) with no history of neurological disorders substance abuse history, or sleep abnormalities were recruited. The experiment was approved by the Academic Ethics Committee in accordance with the Declaration of Helsinki. Written informed consent was obtained from all participants. Based on the experimental design requirements for EEG biometric authentication, participants were seated in a sound-attenuated, electromagnetically shielded room while maintaining an awake, eyes-open state for 10 min to capture stable neural dynamics while minimizing fatigue-induced artifacts and standardizing data comparability with established resting-state EEG protocols (Polich, 2007), after which only the final 5 min were analyzed to ensure participants reached a stabilized resting baseline post-initial adaptation and exclude early-stage artifacts including electrode settling and transient alertness fluctuations (Shamlo et al., 2015). EEG data were acquired using a 32-channel Ag/AgCl electrode cap (Brain Products GmbH) positioned according to the 10–20 international system. The linked mastoids (A1/A2) served as reference electrodes to minimize frontal bias, enhance posterior signal fidelity, and reduce volume-conduction artifacts in temporal regions (Hu, 2017; Mu et al., 2017; Shamlo et al., 2015). Signals were digitized at 1000 Hz with 24-bit resolution, while electrode impedances were maintained below 5 kΩ throughout all recordings.
2.2 Data preprocessing
All EEG data processing was performed sequentially in MATLAB R2020a using EEGLAB toolbox and custom scripts. (1) Data first underwent 0.15 Hz high-pass filtering to eliminate baseline drift (2) Ocular artifacts were then corrected via Independent Component Analysis (ICA) using the extended Infomax algorithm, with components showing strong correlation ( > 0.7) with EOG channels being rejected. (3) Muscle artifacts were reduced through wavelet denoising (Daubechies-4 wavelet, 8–40 Hz range) using adaptive soft thresholding. (4) Powerline noise at 50 Hz was removed with a 4th-order Butterworth notch filter (2-Hz bandwidth). Continuous data from the final 5 min were segmented into non-overlapping 1-s epochs—a duration chosen to balance entropy feature stability in the -band (requiring ≥3 cycles) and sensitivity to microstate dynamics (typically 80–120 ms per state). This pipeline yielded a final dataset of 7,800 artifact-free epochs (300 epochs per subject across 26 subjects), processed within the Neuroscan Scan 4.3 environment. The experiments were conducted on a computer equipped with an Intel Core i7-7700K CPU @ 4.20GHz, 16GB of memory, and an NVIDIA GeForce GTX 1080Ti GPU.
2.3 Feature extraction
Thirteen entropy features—ApEn, RCMSE, FuEn, kolmogorov entropy (KE), multiscale entropy (MSE), MvDPE, permutation entropy (PE), sample entropy (SaEn), SpEn, symbolic transfer entropy (STE), wavelet log energy entropy (WLE) and wavelet packet energy entropy (WPE), MvMSE,—were extracted from each 1-s EEG epoch, grouped into thirteen complementary paradigms addressing distinct aspects of EEG non-stationarity, with parameters rigorously optimized for electrophysiological relevance:
-
Time-Domain Regularity Metrics (ApEn, SaEn, FuEn): Quantify local signal predictability through instantaneous amplitude variations. Parameters of ApEn/SaEn were set m = 2, r = 0.2 × SD (SD: epoch-level standard deviation) based on established EEG benchmarks (Yang al et al., 2025). This configuration optimally captures microstate transitions (80–120 ms duration) while ensuring cross-subject comparability (Hu and Min, 2018). SaEn improves upon ApEn by eliminating self-matches for enhanced consistency in short time-series (Richman and Moorman, 2000), while FuEn employs Gaussian fuzzy membership for noise robustness (Xiang et al., 2015).
-
Spectral/Time-Frequency Disorder Metrics (SpEn, WLE, WPE): Map oscillatory instability through energy distribution irregularities. SpEn applies Shannon entropy to normalized FFT power spectra (256-point Hamming window, 50% overlap) (Kannathal et al., 2005). WLE and WPE use 5-level Daubechies-4 wavelet decomposition, computing log-energy entropy () and full-tree energy distribution, respectively.
-
Ordinal-Pattern Complexity Metrics (PE, MvDPE): Detect macro-scale temporal reorganizations via rank-order dynamics. PE parameters (m = 5, τ = 4, s = 2) capture cross-frequency coupling (Min et al., 2017). MvDPE extends this with multivariate symbolic analysis (c = 6 symbol classes, d = 3 delay) for spatial pattern characterization (Azami et al., 2019).
-
Multi-Scale & Information Dynamics (MSE, RCMSE, MvMSE, STE, KE): Characterize cross-hierarchy dynamics. Multi-scale entropies (MSE/RCMSE) apply scale factorτ = 20 to SaEn-based coarse-grained sequences, covering band dynamics while RCMSE reduces variance through composite averaging (Wu et al., 2014). MvMSE adopts m = 2, r = 0.2 × SD (consistent with time-domain metrics) for multichannel analysis. STE quantifies directional information flow via first-difference binarization (Δx > 0 → ‘1’) (Vicente et al., 2011). KE estimates system randomness with m = 6 optimized through grid search (Schouten et al., 1994).
The parameterization of 13 Entropy metrics for EEG-based person authentication are shows as Table 1. Parameters without neurophysiological baselines were optimized via grid search (e.g., m∈ (4.8) for KE), maximizing identifiability index I across 26 subjects using 10-fold cross-validation. Physiological adaptations (m = 2, τ = 20, r = 0.2 × SD) and noise mitigation (FuEn/STE/RCMSE) ensured robust biometric authentication.
Table 1
| Entropy type | Key parameters | Physiological basis |
|---|---|---|
| ApEn/SaEn/FuEn | m = 2, r = 0.2 × SD | Microstate dynamics (80–120 ms) |
| PE | m = 5, τ = 4, s = 2 | cross-frequency coupling |
| MvDPE | c = 6, d = 3 | Non-Gaussian spatial patterns |
| MSE/RCMSE | τ = 20, SaEn base | band multiscale dynamics |
| MMSE | m = 2, r = 0.2 × SD, τ = 20 | Cross-channel & cross-scale interactions |
| STE | Δx>0 → ‘1’ | Directed information flow |
| SpEn | None | Shannon entropy on normalized FFT spectrum |
| WLE/WPE | Daubechies-3, Levels = 5 | Wavelet subband/full-tree energy entropy |
| KE | m = 6 | Grid search |
Parametric specifications of entropy metrics.
2.4 Classification model
Given the absence of a standardized EEG classification framework, we rigorously evaluated six distinct classifiers to ensure robustness across diverse subjects and entropy features: KNN, Logistic Regression (LR), Support Vector Machines (SVM), Random Forests (RF), Quadratic Discriminant Analysis (QDA), and an ensemble voting classifier. This multi-algorithm approach mitigates model-specific biases and leverages complementary strengths for person authentication. As a non-parametric instance-based method, KNN avoids assumptions about data distribution, making it suitable for EEG’s non-stationary characteristics. It implements learning based on the K-nearest neighbors of the training samples, with K empirically determined to be 7 in our study. LR was selected for its efficiency in high-dimensional spaces and probabilistic class outputs. Regularization strength (inverse of penalty weight), optimizing generalization via grid search. SVM, belonging to the class of generalized linear classifiers, relies heavily on kernel functions. When training an SVM classifier with the Radial Basis Function (RBF) kernel, particular emphasis must be placed on two crucial parameters: c and g. A smaller value of c typically leads to a smoother decision surface, enhancing generalization, whereas a larger c aims to classify all training examples more accurately, albeit potentially at the expense of overfitting. The parameter g reflects the influence weight of individual training examples, playing a vital role in shaping the decision boundary. Based on an exhaustive grid search method (Lameski et al., 2015), we determined optimal values of c = and g = for our study. RF, an ensemble of decision trees, ensure diversity by allowing each tree to depend on independently sampled random vector values, thereby maintaining a uniform distribution across all trees in the forest. In our study, we meticulously selected the number of trees to be 300 and the number of input variables considered for each split to be 2, based on comprehensive validation. QDA seeks an optimal linear combination of features that statistically maximizes the separation between objects belonging to different classes, characterized by a quadratic decision boundary. This technique is particularly robust, leveraging posterior distributions to accurately estimate the class of a given test sample. Lastly, the voting classifier integrates diverse classifiers through fusion methods, enhancing the overall robustness and accuracy of the classification system. Specifically, soft fusion (Vote_s) employs the average predicted probabilities to determine the target subject, offering a probabilistic interpretation of the classification results. Conversely, hard fusion (Vote_h) utilizes a majority voting approach, providing a deterministic outcome based on the collective decision of the ensemble classifiers. By leveraging these fusion methods, we further strengthen the reliability and performance of our classification framework.
2.5 Evaluation method
To assess the performance of the proposed classifier, detection quality was evaluated using three complementary metrics: (1) leave-one-out cross-validation (LOOCV) was applied at the subject level to prevent data leakage, ensuring robustness in feature set identification; (2) average accuracy, precision, recall, F1-score, and confusion matrix were calculated across combinations of feature sets, classifiers, channels, and subject groups to quantify the overall detection efficacy;(3) receiver operating characteristic (ROC) analysis was adopted as the primary metric for binary classification tasks. As defined by ROC theory: ROC curves plot sensitivity (true positive rate) against 1-specificity (false positive rate) under varying classification thresholds. The optimal threshold corresponds to the point closest to the top-left corner of the curve. The area under the ROC curve (AUC) provides a quantitative performance measure, where higher values indicate superior separability (AUC = 1: perfect classifier; AUC < 0.5: worse than random). ROC curves were generated per subject by iteratively adjusting the decision threshold for binary predictions. AUC values were computed using the trapezoidal rule.
3 Results
To evaluate classifier performance in person authentication, we compared the average accuracy of across six classifiers utilizing EEG signals from a single electrode combined with thirteen entropy-based feature sets. Figure 2 demonstrates that classifier selection critically influenced performance. QDA achieved peak accuracy (63.6%), while RF performed poorest (55.7%). The results demonstrated that the mean accuracy using single electrode remained suboptimal for practical deployment, even with multi-feature fusion. Prior to inferential analysis, we assessed the normality of paired differences and homogeneity of variances. While the assumption of equal variance was met, the normality assumption was violated for most comparisons. Consequently, the nonparametric Wilcoxon signed-rank test was employed for paired comparisons (Candia-Rivera and Valenza, 2022). To mitigate Type I error inflation due to multiple testing, false discovery rate (FDR) correction was applied to all p-values. Wilcoxon signed-rank test (n = 26 subjects) revealed several significant differences after FDR adjustment: QDA surpassed KNN (W = 0.000, p < 0.001, = 1.000, Median_diff = −0.070), LR (W = 1.000, p < 0.001, = 0.994, Median_diff = 0.034), and Linear SVM (W = 3.000, p < 0.001, = 0.983, Median_diff = 0.041). Similarly, the Vote_h outperformed KNN (W = 0.000, p < 0.001, = 1.000, Median_diff = 0.063) and LR (W = 0.000, p < 0.001, = 1.000, Median_diff = 0.049). No significant differences were observed between. KNN and Linear SVM (W = 12.000, p = 0.037, = − 0.675, Median_diff = −0.044); QDA and Vote_h (W = 138.000, p = 0.353, = 0.2137, Median_diff = 0.003). Overall classifier ranking by performance was: QDA ≈ Vote_s > Vote_h > RBFSVM > LR > Linear SVM > KNN > RF.
Figure 2

Comparison of average identification accuracy among different classifiers using a single electrode combined with all thirteen entropy feature sets, wilcoxon signed-rank test (p < 0.001).
To evaluate the impact of various entropy features on person authentication performance, we computed the average classification accuracy across eight classifiers for each feature type, utilizing resting-state EEG signals from all 30 electrodes. As shown in Figure 3, feature type markedly affected authentication accuracy. The SpEn feature achieved the highest biometric authentication accuracy (90.5%), followed by RCMSE (89.5%) and WLE at 89.1%. WPE and ApEn also exhibited robust performance, with accuracies of 88.2 and 86.7%, respectively. Moderate results were observed for FuEn (85.6%), MSE (84.9%) and KE (84.0%). Conversely, MvDPE (83.6%), PE (83.2%), STE (82.3%), MvMSE (77.5%), and SaEn (76.7%) exhibited comparatively lower classification performance. Among thirteen entropy features, SpEn demonstrated superior performance, exceeding SaEn by 13.8 percentage points in classification accuracy, thereby establishing SpEn as the optimal feature for characterizing individual uniqueness in resting-state EEG data.
Figure 3

Mean classification accuracy per feature type across eight classifiers using resting-state EEG signals from all 30 electrodes.
Furthermore, we integrated the classifier selected from prior analysis (QDA) with 13 distinct entropy measures to evaluate their person authentication performance using resting-state EEG. As depicted in Figure 4, the classification accuracies achieved were: SpEn (93.2%), RCMSE (92.2%), WPE (90.0%), STE (87.8%), ApEn (87.7%), WLE (85.5%), FuEn (84.7%), PE (84.6%), MSE (84.4%), KE (83.3%), MvDPE (77.5%), MvMSE (75.8%), and SaEn (72.4%). Statistical validation, following normality and homogeneity of variance tests which indicated non-normal distributions, was performed using the wilcoxon signed-rank test (n = 26 subjects). Results confirmed that entropy selection critically governs classification accuracy (p < 0.001). SpEn significantly outperforming all other entropies except RCMSE and WPE (p < 0.001 for all other comparisons), with the most pronounced disparity observed between SpEn and SaEn (W = 0.000, p < 0.001, = 1.000), indicating an exceptional effect size. These results align with the trends in Figure 3 but demonstrate marginal improvement due to QDA optimization, confirming the robustness of entropy features across classifier configurations.
Figure 4

Comparison of the performance (accuracy with standard deviation) of all 13 entropy features within the QDA framework revealed significant performance differences, as confirmed wilcoxon signed-rank test (p < 0.001).
To systematically assess the effect of electrode count, we performed ten independent experiments for each cumulative electrode configuration, with N incrementally increased from 1 to 30, and calculated the mean accuracy. Figure 5 reveals a triphasic growth pattern in mean identification accuracy: a steep increase (1–4 electrodes), marginal gains (4–9 electrodes), and asymptotic stability (>9 electrodes) (Δ accuracy <0.5%, p > 0.05 for all classifiers except RBFSVM). The QDA classifier exemplifies this trend, achieving peak stability (96.0%) at 9 electrodes—only 0.8% below its 29-electrode maximum (96.8%). Subsequent electrode additions yielded no statistically significant improvement (p > 0.05), reinforcing that excessive electrodes increase hardware complexity and subject discomfort without meaningful gains. Thus, we propose a 9-electrode/QDA configuration as the optimal trade-off, achieving 96.0% accuracy while minimizing resource burden—a critical consideration for practical biometric systems.
Figure 5

The average accuracy varies with the increasing of the number of subjects when using different classifier.
In addition to the classifiers employed, the features extracted from diverse electrodes play a crucial role. Since EEG signals recorded from various electrodes reflect the functions and characteristics of distinct brain regions, they underpin the feasibility of EEG-based identification. Consequently, the unique characteristics of brain regions among individuals lead to variations in identification performance across different electrodes. As illustrated in Figure 5, statistical analysis of cumulative channel contributions reveals distinct inter-electrode variability in subject discriminability. Electrode TP8 exhibits greater universality, enabling the distinction of most subjects. Conversely, electrode Oz demonstrates greater homogeneity, with less pronounced individual characteristics, rendering it challenging to differentiate among subjects when used in isolation. This suggests that each subject may possess their own optimal electrode for achieving optimal identification performance. Given that normality and homogeneity of variance assumptions were violated, nonparametric, Wilcoxon signed-rank tests were applied to compare performance across eight classifiers and multiple electrode configurations (Table 2). Results revealed significant performance stratification: both QDA and Vote_s outperformed the other classifiers (p < 0.001, FDR-corrected). Although no statistically significant difference was found between QDA and Vote_s (W = 159.5, p = 0.144; = 0.314), the latter entails substantially higher computational cost due to its ensemble structure. Thus, for the 9-electrode configuration, QDA is recommended as it achieves comparable accuracy with considerably lower computational overhead—an essential balance for practical, deployable EEG biometric systems.
Table 2
| Classifier | W | p | Median_diff | |
|---|---|---|---|---|
| QDA, KNN | 0.000 | <0.001 | 1.000 | 0.017 |
| QDA, LR | 82.000 | 0.002 | 0.647 | 0.001 |
| QDA, LinearSVM | 3.000 | <0.001 | 0.987 | 0.018 |
| QDA, RBFSVM | 9.000 | <0.001 | 0.961 | 0.023 |
| QDA, RF | 0.000 | <0.001 | 1.000 | 0.035 |
| QDA, Vote_s | 159.000 | 0.144 | 0.314 | 0.001 |
| QDA, Vote_h | 57.000 | 0.004 | 0.755 | 0.004 |
| Vote_s, KNN | 0.000 | <0.001 | 1.000 | 0.017 |
| Vote_s, LR | 61.000 | 0.001 | 0.738 | 0.001 |
| Vote_s, LinearSVM | 0.000 | <0.001 | 1.000 | 0.017 |
| Vote_s, RF | 0.000 | <0.001 | 1.000 | 0.035 |
| Vote_s, Vote_h | 0.000 | <0.001 | 1.000 | 0.036 |
| KNN, LinearSVM | 215.000 | 0.719 | 0.075 | 0.001 |
| KNN, RBFSVM | 163.000 | 0.164 | 0.299 | 0.006 |
| KNN, RF | 0.000 | <0.001 | 1.000 | 0.018 |
| KNN, LR | 0.000 | <0.001 | −1.000 | −0.015 |
| KNN, Vote_h | 0.000 | <0.001 | −1.000 | −0.014 |
| LR, LinearSVM | 29.000 | <0.001 | 0.875 | 0.016 |
| LR, RBFSVM | 6.000 | <0.001 | 0.974 | 0.023 |
| LR, RF | 0.000 | <0.001 | 1.000 | 0.033 |
| LR, Vote_h | 37.000 | <0.001 | 0.841 | 0.003 |
| LinearSVM, RBFSVM | 131.000 | 0.043 | 0.437 | 0.005 |
| LinearSVM, RF | 0.000 | <0.001 | 1.000 | 0.017 |
| LinearSVM, Vote_h | 0.000 | <0.001 | −1.000 | −0.013 |
| RBFSVM, RF | 145.000 | 0.082 | 0.376 | 0.013 |
| RBFSVM, Vote_s | 0.000 | <0.001 | −1.000 | −0.023 |
| RBFSVM, Vote_h | 7.000 | <0.001 | −0.970 | −0.019 |
| RF, Vote_h | 0.000 | <0.001 | −1.000 | −0.032 |
Results of wilcoxon signed-rank tests for 8 classifiers.
To validate the optimal configuration—nine electrodes, thirteen entropy-based features, and a QDA classifier—we generated receiver operating characteristic (ROC) curves. Figure 6 shows for all 26 subjects, revealing outstanding classification performance. Notably, several subjects achieved a perfect AUC of 1.00, indicating flawless separability, while the majority attained AUC values exceeding 0.95, demonstrating high robustness.
Figure 6

ROC curves demonstrating high-performance person authentication using optimized EEG configuration (9 electrodes, 13 entropy features, QDA).
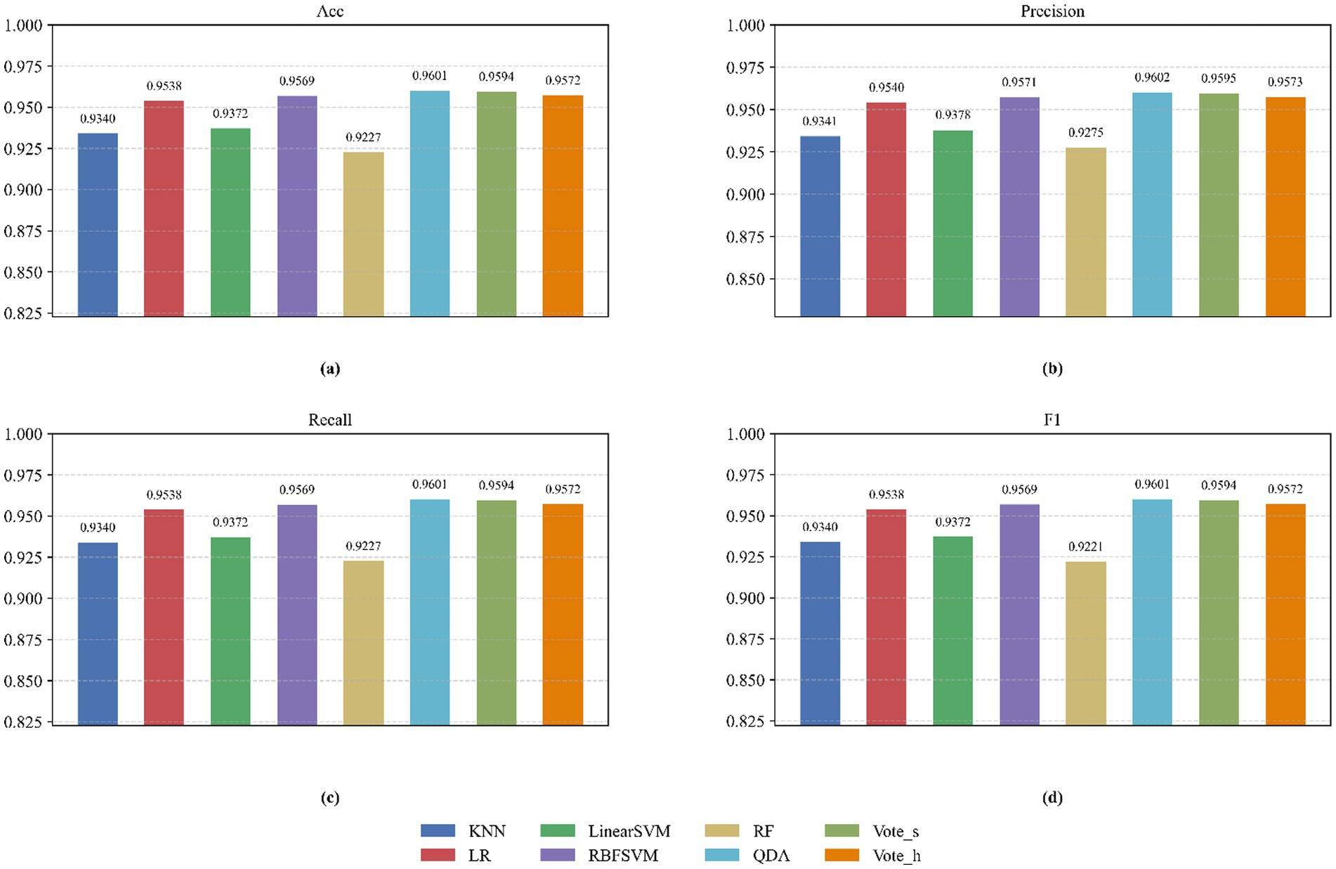
We quantified the performance of eight classifiers under optimal channel-feature combinations by computing mean accuracy, precision, recall, F1-score, and confusion matrices. As shown in Figure 7, QDA consistently achieved superior overall accuracy, significantly outperforming all counterparts, Ensemble methods (Vote_s and Vote_h) ranked second, while RBFSVM, Linear SVM, KNN, and LR demonstrated intermediate efficacy. In contrast, RF exhibited suboptimal performance across all metrics, aligning with its known limitations in high-dimensional EEG data. Table 3 further details the discriminative capability through confusion matrices. QDA exhibited the highest diagonal accuracy (reflecting correct class assignments) and optimally balanced precision-recall tradeoffs for both positive and negative classes. Specifically, it minimized misclassification rates (e.g., 2.4% inter-class confusion) while maintaining 96% class-wise precision and recall – a critical advantage for person identification robustness.
Figure 7

Classifier Performance Comparison: (a) Mean Accuracy, (b) Precision, (c) Recall, and (d) F1-Score for 13 entropy features from nine channel sets.
Table 3
| Classifier | Actual value/Predicted value | Negative | Positive |
|---|---|---|---|
| KNN | Negative | 6,131 | 359 |
| Positive | 347 | 6,143 | |
| LR | Negative | 6,222 | 268 |
| Positive | 330 | 6,160 | |
| LinearSVM | Negative | 6,093 | 397 |
| Positive | 287 | 6,203 | |
| RBFSVM | Negative | 6,176 | 314 |
| Positive | 244 | 6,246 | |
| RF | Negative | 6,243 | 247 |
| Positive | 625 | 5,865 | |
| QDA | Negative | 6,233 | 257 |
| Positive | 259 | 6,231 | |
| Vote_s | Negative | 6,231 | 259 |
| Positive | 266 | 6,224 | |
| Vote_h | Negative | 6,234 | 256 |
| Positive | 298 | 6,192 |
Confusion matrix of eight model.
4 Discussion
Recently, several research groups have tackled the problem of utilizing EEG signals for person authentication (Boubakeur et al., 2017; Maiorana et al., 2015). Their approaches can be broadly categorized into three types:(1) Rest State EEG: Rocca et al. extracted biometric traits for person authentication using resting EEG signals, leveraging different recording sessions separated in time to demonstrate the repeatability of EEG features. By employing autoregressive statistical modeling and a linear classifier, a high degree of accuracy was achieved (La Rocca et al., 2013). (2) Event-Stimulated EEG: Yang et al. (2011) employed an event-related potential, specifically P300, to study person authentication using a learning vector quantization neural network, achieving a correct authentication rate of 92.1%. (3) Mental Imagery EEG: Nieves and Manian (2016) proposed an automatic person authentication system based on EEG signals derived from simple motor imagery movements, utilizing a minimum number of channels. A comprehensive review of EEG-based person authentication methods can also be found in Fraschini et al. (2018).
When compared to existing EEG-based authentication methods, the proposed method for person authentication exhibits improved performance with a more robust detector. Unlike many previous works that rely on event-related potentials (e.g.,Mu et al., 2017; Yeom et al., 2013) or task-induced mental imagery (Rodrigues et al., 2016), our approach utilizes resting-state EEG, which offers greater practicality for real-world applications by eliminating the need for active user participation or stimulus presentation equipment. Moreover, while some studies such as Maiorana et al. (2016) also employed resting-state EEG, they utilized substantially more electrodes (19 channels) compared to our configuration (9 channels), which increases setup complexity and subject discomfort. Our electrode reduction strategy, informed by systematic channel selection, demonstrates that comparable—in fact superior—accuracy can be achieved with fewer electrodes, enhancing usability without compromising performance.
Another critical differentiation lies in our feature extraction framework. While earlier studies predominantly utilized temporal, spectral, or wavelet-based features, we introduced a comprehensive entropy-based feature set that captures the nonlinear dynamics and complexity of resting-state EEG signals. Specifically, our findings indicate that SpEn outperforms other entropy measures, suggesting that frequency domain unpredictability provides particularly discriminative information for identity authentication. This represents a significant departure from conventional power-based or ERP-component features commonly used in prior literature.
Classifier selection further distinguishes our work. Whereas several previous studies employed Support Vector Machines (Mu et al., 2017; Yeom et al., 2013), k-NN (Maiorana et al., 2016), or neural networks (Yang et al., 2011), we implemented Quadratic Discriminant Analysis (QDA), which proved highly effective in modeling the distribution of entropy features. The superior performance of QDA (96.1% accuracy) compared to other classifiers in our study—and relative to those reported in prior works—may be attributed to its ability to handle non-linear class boundaries and different covariance structures across subjects, which is especially relevant given the high intersubject variability in EEG signals.
Furthermore, a comparison of related classification performances from previous studies is presented in Table 4. When compared to existing EEG-based identification/authentication methods, the proposed method for person authentication exhibits improved performance with a more robust detector. Given the reduced need for electrodes and the fusion of multiple classifier advantages, the proposed method is more convenient and effective.
Table 4
| Author | Classifier | EEG paradigm | Number of electrodes | Accuracy (%) |
|---|---|---|---|---|
| Maiorana et al. (2016) | Nearest-neighbor | Resting-state | 19 | 87.9 |
| Mu et al. (2017) | SVM | Event-Related Potential | 22 | 90.7 |
| Rodrigues et al. (2016) | Optimum-path Forest classifier | Motor Imagery | 30 | 87.0 |
| Yeom et al. (2013) | SVM | Event-Related Potential | 5 | 86.3 |
| This paper | QDA | Resting-state | 9 | 96.1 |
Performance comparison of the previous works.
The experimental results can be summarized as follows: (1) Utilizing a reduced number of electrodes for person authentication is feasible and practical. Specifically, the highest accuracy of 96.1% was achieved using nine electrodes and a QDA classifier, making it suitable, convenient, and comfortable for daily applications. (2) The significance of different electrodes in person authentication varies considerably. The electrode TP8 exhibited the best distinguishability for person authentication, with most subjects being distinguishable using this electrode. Conversely, the electrode Oz demonstrated the weakest distinguishability. (3) Among 13 entropy feature sets, SpEn exhibited superior person identification performance, whereas SaEn demonstrated significantly lower efficacy with marked differences from all other entropy measures. (4) Variations exist among classifiers for person authentication. The performance ranking of the eight classifiers was QDA ≈ vote_s > vote_h > radial basis function support vector machine (RBFSVM) > logistic regression (LR) > linear support vector machine (Linear SVM) > k-nearest neighbors (KNN) > random forest (RF).
However, this study has some limitations: (1) The sample size was relatively small, with only 26 subjects and 300 epochs per subject studied. For future research, we plan to recruit a substantial number of volunteers to further validate the performance. (2) Some classifier parameters were not optimized. As this work focused on evaluating the feasibility of the proposed method, finding the optimal classifier configuration conditions was beyond the scope of this paper. Future research will explore further performance improvements through parameter tuning. (3) The experiment was conducted in a controlled environment and has not been tested in outdoor natural settings, where various noise and uncertainty factors may affect authentication accuracy. In our future work, it will be meaningful to conduct further research in two areas: (i) validating the robust performance of person authentication with a larger pool of participants and (ii) exploring the actual application of an EEG-based person authentication system. For robust performance, it may be helpful to measure uncertainty in fusing different features and classifiers at an appropriate level in a given system, as well as to capture the sensitivity of the obtained results. For practical applications, although we performed an offline analysis on EEG datasets recorded from online experiments in this study, further research in a real-time online experimental environment is needed to confirm the findings. A real-time person authentication system using wireless EEG devices such as smartphones, tablets, and cloud servers could have widespread future applications. Therefore, a mobile person authentication system needs to be developed for online real-time applications. A global sensitivity and uncertainty analysis for the person authentication system will be beneficial in validating the robustness of the authentication results in the future. Considering convenience in practical applications, different priority channel regions and a reduced number of electrodes can be used for real-time person identity detection and authentication, which could benefit human authentication methods such as Brain Print or EEG passwords.
5 Conclusion
In this study, we propose an approach for a resting EEG-based system that utilizes thirteen entropy feature sets, six classifier types, and select electrodes to enhance the efficiency of person identity detection. The research findings demonstrate that the choice of feature sets and classifiers significantly impacts person authentication performance. Experimental results reveal that the proposed method achieves a commendable accuracy of 96.1% and offers a more robust detector. LOOCV suggests substantial potential applicability for person authentication using this approach. A resting EEG-based person authentication system promises valuable insights into biometric characteristics across relevant fields and serves as a significant supplement to existing methods.
Statements
Data availability statement
The original contributions presented in the study are included in the article/supplementary material, further inquiries can be directed to the corresponding author.
Ethics statement
The studies involving humans were approved by Sun Yat Shen University Ethics Review Committee. The studies were conducted in accordance with the local legislation and institutional requirements. The participants provided their written informed consent to participate in this study. Written informed consent was obtained from the individual(s) for the publication of any potentially identifiable images or data included in this article.
Author contributions
RenyY: Conceptualization, Funding acquisition, Investigation, Methodology, Validation, Visualization, Writing – original draft, Writing – review & editing. LZ: Investigation, Project administration, Software, Writing – original draft. YP: Methodology, Software, Writing – original draft. BZ: Methodology, Software, Writing – review & editing. LH: Methodology, Software, Writing – review & editing. JP: Methodology, Resources, Writing – review & editing. BX: Data curation, Writing – review & editing. RenhY: Conceptualization, Funding acquisition, Supervision, Writing – review & editing.
Funding
The author(s) declare that financial support was received for the research and/or publication of this article. This work was supported by the Humanity and Social Science Planning Fund of Ministry of Education (24YJAZH194, 23YJA910002), the Scientific Research Projects of Guangdong Provincial Department of Education - Special Projects in key areas (2024ZDZX3055), the National Statistical Science Research Project (2025LZ033), the Guangdong Philosophy and Social Sciences Planning Project (GD25CYJ22), and the Guangdong Provincial Educational Science Planning Project (2025GXJK0098).
Conflict of interest
The authors declare that the research was conducted in the absence of any commercial or financial relationships that could be construed as a potential conflict of interest.
Generative AI statement
The authors declare that no Gen AI was used in the creation of this manuscript.
Any alternative text (alt text) provided alongside figures in this article has been generated by Frontiers with the support of artificial intelligence and reasonable efforts have been made to ensure accuracy, including review by the authors wherever possible. If you identify any issues, please contact us.
Publisher’s note
All claims expressed in this article are solely those of the authors and do not necessarily represent those of their affiliated organizations, or those of the publisher, the editors and the reviewers. Any product that may be evaluated in this article, or claim that may be made by its manufacturer, is not guaranteed or endorsed by the publisher.
References
1
Azami H. Fernández A. Escudero J. (2019). Multivariate multiscale dispersion entropy of biomedical times series. Entropy21:913. doi: 10.3390/e21090913
2
Barayeu U. Horlava N. Libert A. Van Hulle M. (2020). Robust single-trial EEG-based authentication achieved with a 2-stage classifier. Biosensors10:124. doi: 10.3390/bios10090124
3
Bera A. Bhattacharjee D. Nasipuri M. (2015). Fusion-based hand geometry recognition using dempster–Shafer theory. Int. J. Pattern Recognit. Artif. Intell.29:1556005. doi: 10.1142/S0218001415560054
4
Billeci L. Sicca F. Maharatna K. Apicella F. Narzisi A. Campatelli G. et al . (2013). On the application of quantitative EEG for characterizing autistic brain: a systematic review. Front. Hum. Neurosci.7:442. doi: 10.3389/fnhum.2013.00442
5
Boubakeur M. R. Wang G. Zhang C. Liu K. (2017). EEG-based person recognition analysis and criticism. In 2017 IEEE international conference on big knowledge (ICBK) (pp. 155–160).
6
Candia-Rivera D. Valenza G. (2022). Cluster permutation analysis for EEG series based on non-parametric Wilcoxon–mann–Whitney statistical tests. SoftwareX19:101170. doi: 10.1016/j.softx.2022.101170
7
Carrión-Ojeda D. Fonseca-Delgado R. Pineda I. (2021). Analysis of factors that influence the performance of biometric systems based on EEG signals. Expert Syst. Appl.165:113967. doi: 10.1016/j.eswa.2020.113967
8
Crouse D. Han H. Chandra D. Barbello B. Jain A. K. (2015). Continuous authentication of mobile user: fusion of face image and inertial measurement unit data. In 2015 international conference on biometrics (ICB) (pp. 135–142). IEEE.
9
Di Y. An X. He F. Liu S. Ke Y. Ming D. (2019). Robustness analysis of identification using resting-state EEG signals. IEEE Access7, 42113–42122. doi: 10.1109/ACCESS.2019.2907644
10
Fraschini M. Didaci L. Marcialis G. L. (2018). EEG-based personal identification: comparison of different functional connectivity metrics. doi: 10.1101/254557
11
Hernández-Álvarez L. Barbierato E. Caputo S. Mucchi L. Hernández Encinas L. (2022). EEG authentication system based on one-and multi-class machine learning classifiers. Sensors23:186. doi: 10.3390/s23010186
12
Hu J. (2017). Automated detection of driver fatigue based on adaboost classifier with EEG signals. Front. Comput. Neurosci.11:72. doi: 10.3389/fncom.2017.00072
13
Hu J. Min J. (2018). Automated detection of driver fatigue based on EEG signals using gradient boosting decision tree model. Cogn. Neurodyn.12, 431–440. doi: 10.1007/s11571-018-9485-1
14
Kumar A. Passi A. (2010). Comparison and combination of iris matchers for reliable personal authentication. Pattern Recogn.43, 1016–1026. doi: 10.1016/j.patcog.2009.08.016
15
Kaewwit C. Lursinsap C. Sophatsathit P. (2017). High accuracy EEG biometrics identification using ICA and AR model. J. Inf. Commun. Technol.16, 354–373. doi: 10.32890/jict2017.16.2.8
16
Kawala-Janik A. Pelc M. Podpora M. (2015). Method for EEG signals pattern recognition in embedded systems. Elektron. ir Elektrotech.21, 3–9. doi: 10.5755/j01.eee.21.3.9918
17
Kannathal N. Choo M. L. Acharya U. R. Sadasivan P. K. (2005). Entropies for detection of epilepsy in EEG. Comput. Methods Prog. Biomed.80, 187–194. doi: 10.1016/j.cmpb.2005.06.012
18
Kim D. Kim K. (2019). Resting state EEG-based biometric system using concatenation of quadrantal functional networks. IEEE Access7, 65745–65756. doi: 10.1109/ACCESS.2019.2917918
19
Lameski P. Zdravevski E. Mingov R. Kulakov A. (2015) SVM parameter tuning with grid search and its impact on reduction of model over-fitting. In rough sets, fuzzy sets, data mining, and granular computing: 15th international conference, RSFDGrC 2015, Tianjin, China, November 20–23, 2015, proceedings (pp. 464–474) Springer International Publishing
20
La Rocca D. Campisi P. Scarano G. (2013) Stable EEG features for biometric recognition in resting state conditions International joint conference on biomedical engineering systems and technologies313–330Berlin, HeidelbergSpringer Berlin Heidelberg
21
Lewandowska M. Tołpa K. Rogala J. Piotrowski T. Dreszer J. (2023). Multivariate multiscale entropy (mMSE) as a tool for understanding the resting-state EEG signal dynamics: the spatial distribution and sex/gender-related differences. Behav. Brain Funct.19:18. doi: 10.1186/s12993-023-00218-7
22
Maiorana E. La Rocca D. Campisi P. (2016). Eigenbrains and eigentensorbrains: parsimonious bases for EEG biometrics. Neurocomputing171, 638–648. doi: 10.1016/j.neucom.2015.07.005
23
Mu Z. Hu J. Min J. Yin J. (2017). Comparison of different entropies as features for person authentication based on EEG signals. IET Biometrics6, 409–417. doi: 10.1049/iet-bmt.2016.0144
24
Min J. Wang P. Hu J. (2017). Driver fatigue detection through multiple entropy fusion analysis in an EEG-based system. PLoS One12:e0188756. doi: 10.1371/journal.pone.0188756
25
Maiorana E. La Rocca D. Campisi P. (2015). On the permanence of EEG signals for biometric recognition. IEEE Trans. Inf. Forensics Secur.11, 163–175.
26
Nieves O. Manian V. (2016). Automatic person authentication using fewer channel EEG motor imagery. In 2016 World Automation Congress (WAC) (pp. 1–6)
27
Pal M. Saha G. (2015). On robustness of speech based biometric systems against voice conversion attack. Appl. Soft Comput.30, 214–228. doi: 10.1016/j.asoc.2015.01.036
28
Polich J. (2007). Updating p300: an integrative theory of p3a and p3b. Clin. Neurophysiol.118, 2128–2148. doi: 10.1016/j.clinph.2007.04.019
29
Ramzan M. Dawn S. (2023). Fused CNN-LSTM deep learning emotion recognition model using electroencephalography signals. Int. J. Neurosci.133, 587–597. doi: 10.1080/00207454.2021.1941947
30
Richman J. S. Moorman J. R. (2000). Physiological time-series analysis using approximate entropy and sample entropy. Am. J. Phys. Heart Circ. Phys.278, H2039–H2049. doi: 10.1152/ajpheart.2000.278.6.H2039
31
Rodrigues D. Silva G. F. Papa J. P. Marana A. N. Yang X. S. (2016). EEG-based person identification through binary flower pollination algorithm. Expert Syst. Appl.62, 81–90. doi: 10.1016/j.eswa.2016.06.006
32
Shamlo N. B. Mullen T. Kothe C. Su K. M. Robbins K. A. (2015). The prep pipeline: standardized preprocessing for large-scale EEG analysis. Front. Neuroinform.9:16. doi: 10.3389/fninf.2015.00016
33
Suppiah H. T. Low C. Y. Chia M. (2016). Effects of sport-specific training intensity on sleep patterns and psychomotor performance in adolescent athletes. Pediatr. Exerc. Sci.28, 588–595. doi: 10.1123/pes.2015-0205
34
Schouten J. C. Takens F. Van Den Bleek C. M. (1994). Maximum-likelihood estimation of the entropy of an attractor. Phys. Rev. E49, 126–129. doi: 10.1103/PhysRevE.49.126
35
Tenev A. Markovska-Simoska S. Müller A. Mishkovski I. (2025). Entropy, complexity, and spectral features of EEG signals in autism and typical development: a quantitative approach. Front. Psych.16:1505297. doi: 10.3389/fpsyt.2025.1505297
36
Unnisa Z. Tariq A. Din I. U. Shehzad D. Serhani M. A. Belkacem A. N. et al . (2025). Threats and mitigation strategies for electroencephalography-based person authentication. Int. J. Telemed. Appl.2025:3946740. doi: 10.1155/ijta/3946740
37
Vella F. Infantino I. Scardino G. (2017). Person identification through entropy oriented mean shift clustering of human gaze patterns. Multimed. Tools Appl.76, 2289–2313. doi: 10.1007/s11042-015-3153-9
38
Vicente R. Wibral M. Lindner M. Pipa G. (2011). Transfer entropy—a model-free measure of effective connectivity for the neurosciences. J. Comput. Neurosci.30, 45–67. doi: 10.1007/s10827-010-0262-3
39
Wang M. El-Fiqi H. Hu J. Abbass H. A. (2019). Convolutional neural networks using dynamic functional connectivity for EEG-based person identification in diverse human states. IEEE Trans. Inf. Forensics Secur.14, 3259–3272. doi: 10.1109/TIFS.2019.2916403
40
Wang H. McIntosh A. R. Kovacevic N. Karachalios M. Protzner A. B. (2016). Age-related multiscale changes in brain signal variability in pre-task versus post-task resting-state EEG. J. Cogn. Neurosci.28, 971–984. doi: 10.1162/jocn_a_00947
41
Wu J. Zhao C. (2023). A review of source imaging techniques based on EEG. J. Artif. Intell. Med. Sci.4, 53–58. doi: 10.55578/joaims.231215.001
42
Wu S. D. Wu C. W. Lin S. G. Lee K. Y. Peng C. K. (2014). Analysis of complex time series using refined composite multiscale entropy. Phys. Lett. A378, 1369–1374. doi: 10.1016/j.physleta.2014.03.034
43
Waili T. Johar G. Sidek K. Nor N. S. H. M. Yaacob H. Othman M. (2019). EEG based biometric identification using correlation and MLPNN models. Int. J. Online Biomed. Eng.15, 77–90. doi: 10.3991/ijoe.v15i10.10880
44
Xiang J. Li C. Li H. Cao R. Wang B. Han X. et al . (2015). The detection of epileptic seizure signals based on fuzzy entropy. J. Neurosci. Methods243, 18–25. doi: 10.1016/j.jneumeth.2015.01.015
45
Yang R. Zhang L. Yang R. Hou L. Zhu D. Zhong B. (2025). Multiple entropy fusion predicts driver fatigue using forehead EEG. Front. Neurosci.19:1567146. doi: 10.3389/fnins.2025.1567146
46
Yang X. Dai J. Zhang H. Wu B. Su Y. Chen W. et al . (2011). P300 wave-based person identification using LVQ neural network. J. Converg. Inf. Technol.6, 296–302. doi: 10.4156/JCIT.VOL6.ISSUE3.34
47
Yeom S. K. Suk H. I. Lee S. W. (2013). Person authentication from neural activity of face-specific visual self-representation. Pattern Recogn.46, 1159–1169. doi: 10.1016/j.patcog.2012.10.023
48
Zhang J. Li J. Huang Z. Huang D. Yu H. Li Z. (2023). Recent progress in wearable brain–computer interface (BCI) devices based on electroencephalogram (EEG) for medical applications: a review. Health Data Sci.3:0096. doi: 10.34133/hds.0096
Summary
Keywords
bioinformation technique, electroencephalogram (EEG), entropies, person authentication, classifier
Citation
Yang R, zhang L, Peng Y, Zhong B, Hou L, Peng J, Xu B and Yang R (2025) Evaluation of entropy features and classifier performance in person authentication using resting-state EEG. Front. Neurosci. 19:1651501. doi: 10.3389/fnins.2025.1651501
Received
21 June 2025
Accepted
22 October 2025
Published
04 November 2025
Volume
19 - 2025
Edited by
Serap Aydin, Hacettepe University, Türkiye
Reviewed by
Samet Çelik, Bartin University, Türkiye
Raissa Schiavoni, University of Salento, Italy
Updates
Copyright
© 2025 Yang, zhang, Peng, Zhong, Hou, Peng, Xu and Yang.
This is an open-access article distributed under the terms of the Creative Commons Attribution License (CC BY). The use, distribution or reproduction in other forums is permitted, provided the original author(s) and the copyright owner(s) are credited and that the original publication in this journal is cited, in accordance with accepted academic practice. No use, distribution or reproduction is permitted which does not comply with these terms.
*Correspondence: Renhuan Yang, yangli357616338@126.com
Disclaimer
All claims expressed in this article are solely those of the authors and do not necessarily represent those of their affiliated organizations, or those of the publisher, the editors and the reviewers. Any product that may be evaluated in this article or claim that may be made by its manufacturer is not guaranteed or endorsed by the publisher.