METHODS article
Front. Neurosci.
Sec. Neuroscience Methods and Techniques
This article is part of the Research TopicAdvances in Explainable Analysis Methods for Cognitive and Computational NeuroscienceView all 5 articles
Motor Imagery EEG Classification via Wavelet-Packet Synthetic Augmentation and Entropy-Based Channel Selection
Provisionally accepted- Putian University, Putian, China
Select one of your emails
You have multiple emails registered with Frontiers:
Notify me on publication
Please enter your email address:
If you already have an account, please login
You don't have a Frontiers account ? You can register here
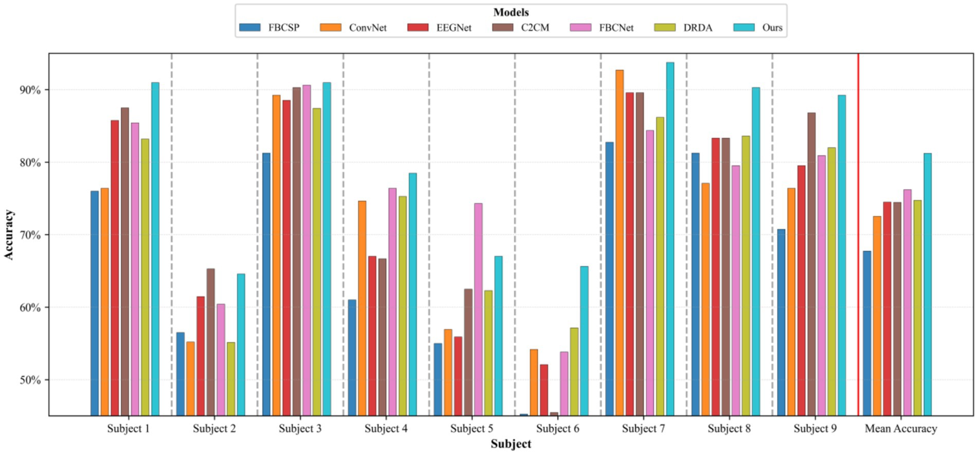
Introduction: Motor-imagery (MI) brain–computer interfaces often suffer from limited EEG datasets and redundant channels, hampering both accuracy and clinical usability. We address these bottlenecks by presenting a unified framework that simultaneously boosts classification performance, reduces the number of required sensors, and eliminates the need for extra recordings. Methods: A three-stage pipeline is proposed. 1) Wavelet-packet decomposition (WPD) partitions each MI class into low-variance "stable" and high-variance "variant" trials; sub-band swapping between matched pairs generates synthetic trials that preserve event-related desynchronization / synchronization signatures. 2) Channel selection uses wavelet-packet energy entropy (WPEE) to quantify both spectral-energy complexity and class-separability; the top-ranked leads are retained. 3) A lightweight multi-branch network extracts multi-scale temporal features through parallel dilated convolutions, refines spatial patterns via depth-wise convolutions, and feeds the fused spatiotemporal tensor to a Transformer encoder with multi-head self-attention; soft-voted fully-connected layers deliver robust class labels. Results: On BCI Competition Ⅳ2a and PhysioNet MI datasets the proposed method achieves 86.81% and 86.64% mean accuracies, respectively, while removing 27% of sensors. These results outperform the same network trained on all 22 channels, and paired t-tests confirm significant improvements (p < 0.01). Discussion: Integrating WPD-based augmentation with WPEE-driven channel selection yields higher MI decoding accuracy with fewer channels and without extra recordings.The framework offers a computationally efficient, clinically viable paradigm for enhanced EEG classification in resource-constrained settings.
Keywords: EEG, Motor Imagery, Data augmentation, channel selection, transformer
Received: 20 Aug 2025; Accepted: 24 Oct 2025.
Copyright: © 2025 Zheng, Qian and Zhao. This is an open-access article distributed under the terms of the Creative Commons Attribution License (CC BY). The use, distribution or reproduction in other forums is permitted, provided the original author(s) or licensor are credited and that the original publication in this journal is cited, in accordance with accepted academic practice. No use, distribution or reproduction is permitted which does not comply with these terms.
* Correspondence: Minmin Zheng, 1143008188@qq.com
Disclaimer: All claims expressed in this article are solely those of the authors and do not necessarily represent those of their affiliated organizations, or those of the publisher, the editors and the reviewers. Any product that may be evaluated in this article or claim that may be made by its manufacturer is not guaranteed or endorsed by the publisher.
