ORIGINAL RESEARCH article
Front. Neurosci.
Sec. Brain Imaging Methods
This article is part of the Research TopicAdvancing neuroimaging diagnostics with machine learning and computational modelsView all 3 articles
A Deep Hybrid CSAE-GRU Framework with Two-Stage Balancing for Automatic Epileptic Seizure Detection Using EEG-Derived Features
Provisionally accepted- 1Henan University of Science and Technology, Luoyang, China
- 2The First Affiliated Hospital of Henan University of Science and Technology, Luoyang, China
Select one of your emails
You have multiple emails registered with Frontiers:
Notify me on publication
Please enter your email address:
If you already have an account, please login
You don't have a Frontiers account ? You can register here
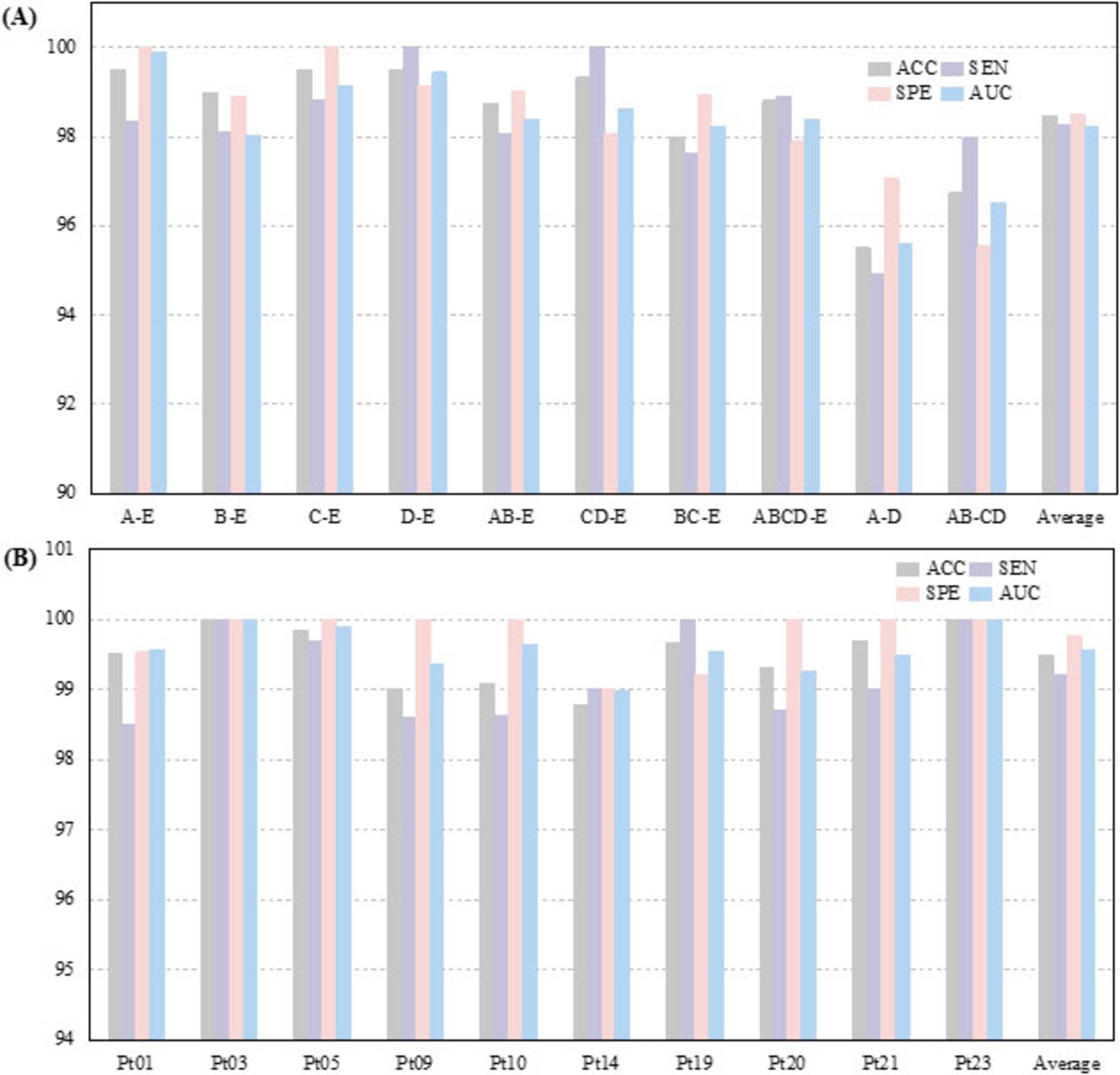
Abstract Introduction: Epilepsy is a neurological disorder characterized by abnormal neuronal discharges in the brain, posing a persistent challenge in clinical diagnosis. This study presents a high-performance epileptic seizure detection framework that integrates advanced feature extraction and classification techniques using EEG signals. Methods: We conduct experiments on the Bonn and CHB-MIT EEG datasets. The EEG signals are preprocessed through bandpass filtering and five-level Discrete Wavelet Transform (DWT) decomposition. From each sub-band, four representative features are systematically extracted. To mitigate severe class imbalance, we propose a two-stage balancing strategy: cluster centroid-based under-sampling initially reduces the interictal-to-ictal ratio to 2:1, followed by Borderline Synthetic Minority Oversampling Technique (BLSMOTE) in the feature space. A hybrid classification model that combines Convolutional Sparse Autoencoder (CSAE) with Gated Recurrent Unit (GRU) is proposed in the paper. The encoder weights from the pre-trained CSAE are transferred to the GRU-based classifier to enhance feature representation and model generalization. Results: The proposed method achieves outstanding performance, with accuracy, sensitivity, specificity, precision, f1 score and AUC of 98.46%, 98.27%, 98.50%, 98.36%, 98.31% and 98.23% on the Bonn dataset, and 99.49%, 99.21%, 99.77%, 99.49%, 99.35% and 99.57% on the CHB-MIT dataset, respectively. These results validate the effectiveness of the proposed approach. Discussion: This study introduces a novel framework combining cluster centroid-based under-sampling, BLSMOTE oversampling, and transfer learning via CSAE-GRU integration. The method offers a promising direction for reliable and clinically applicable automated epilepsy diagnosis.
Keywords: Seizure detection, Convolutional Neural Network, Gated recurrent unit, Sparse autoencoder, Borderline Synthetic Minority Oversampling Technique
Received: 04 Sep 2025; Accepted: 27 Oct 2025.
Copyright: © 2025 Xiang, Liu, Chen, Zheng, Zhang and Du. This is an open-access article distributed under the terms of the Creative Commons Attribution License (CC BY). The use, distribution or reproduction in other forums is permitted, provided the original author(s) or licensor are credited and that the original publication in this journal is cited, in accordance with accepted academic practice. No use, distribution or reproduction is permitted which does not comply with these terms.
* Correspondence: Wenna Chen, chenwenna0408@163.com
Disclaimer: All claims expressed in this article are solely those of the authors and do not necessarily represent those of their affiliated organizations, or those of the publisher, the editors and the reviewers. Any product that may be evaluated in this article or claim that may be made by its manufacturer is not guaranteed or endorsed by the publisher.
