ORIGINAL RESEARCH article
Front. Neurosci.
Sec. Translational Neuroscience
This article is part of the Research TopicNeuromuscular disorders: biomarkers, precision diagnosis, and targeted therapeuticsView all 4 articles
Cerebrospinal Fluid Proteomic Profiling Reveals Potential Biomarkers and Altered Pathways in Myotonic Dystrophy Type 1 (DM1)
Provisionally accepted- 1Stanford University Stanford University Department of Neurology & Neurological Sciences, Stanford, United States
- 2Center for Neurogenetics and Department of Molecular Genetics & Microbiology, College of Medicine, University of Florida, Gainesville, FL 32603, USA, Gainesville, United States
- 3Department of Neurology, Stanford Health Care, Stanford, CA, 94305, Stanford, United States
Select one of your emails
You have multiple emails registered with Frontiers:
Notify me on publication
Please enter your email address:
If you already have an account, please login
You don't have a Frontiers account ? You can register here
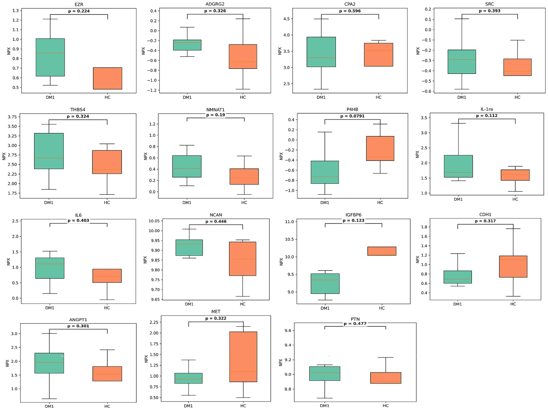
Myotonic dystrophy (DM), the most common adult-onset muscular dystrophy, affects not only motor function and muscle integrity but also leads to debilitating cardiopulmonary, gastrointestinal, and multisystem complications. Central nervous system (CNS) involvement is increasingly recognized, manifesting as impairments in working memory, executive function, sleep regulation, and mood and behavior. These interrelated, multisystemic features contribute to multifaceted symptoms that significantly reduce quality of life for patients and their families. To identify potential biomarkers of CNS disease activity, we performed proteomic analyses of cerebrospinal fluid (CSF) samples from patients with type 1 DM (DM1; n=11) and healthy controls (n=5) using Olink monoclonal antibody panels. LASSO (Least Absolute Shrinkage and Selection Operator) regression was applied to identify proteins most relevant for distinguishing DM1 from controls. Pathway enrichment was assessed using the Reactome database. Across 1,072 quantified proteins, six candidate biomarker proteins were differentially expressed between groups: CKAP4, SCARF1, NCAM1, CD59, PTH1R, and CA4. LASSO analysis further identified 15 proteins discriminating DM1 and controls, implicating pathways related to neuronal health, neuroinflammation, cognitive impairment, skeletal abnormalities, motor control, neuromuscular junction integrity, and cytoskeletal regulation. Dysregulated pathways included IGF transport, MAPK signaling, NCAM signaling, and broader signal transduction cascades pathways also implicated in other neurodevelopmental, neurodegenerative, and neuromuscular disorders. This study represents the first exploratory CSF proteomic profiling in DM1, highlighting dysregulated protein networks that may underlie CNS dysfunction. These findings provide novel insights into DM1 pathophysiology and support the potential of CSF proteomic signatures as candidate diagnostic tools, indicators of disease activity, and measures of therapeutic response, pending validation in larger, independent cohorts.
Keywords: Myotonic dystrophy type 1, Proteomics, potential cerebrospinal fluid signatures, protein pathways, neuromuscular disorders
Received: 20 Sep 2025; Accepted: 07 Nov 2025.
Copyright: © 2025 Zafarullah, Kamali, Hagerman, Ghiglieri, Duong, Wang, Sampson and Day. This is an open-access article distributed under the terms of the Creative Commons Attribution License (CC BY). The use, distribution or reproduction in other forums is permitted, provided the original author(s) or licensor are credited and that the original publication in this journal is cited, in accordance with accepted academic practice. No use, distribution or reproduction is permitted which does not comply with these terms.
* Correspondence: Marwa Zafarullah, mzafar@stanford.edu
Disclaimer: All claims expressed in this article are solely those of the authors and do not necessarily represent those of their affiliated organizations, or those of the publisher, the editors and the reviewers. Any product that may be evaluated in this article or claim that may be made by its manufacturer is not guaranteed or endorsed by the publisher.
