Abstract
Urban forests are critical infrastructure for mitigating environmental and social challenges cities face. Municipalities and non-governmental entities, among others, often set goals (e.g., tree planting or canopy targets) to support urban forests and their benefits. We develop the conceptual underpinnings for an analysis of where additional canopy can fit within the landscape, while considering factors that influence where trees can be planted, and canopy can grow (“practical canopy”). We apply this in New York City (NYC) to inform the setting of a canopy goal by the NYC Urban Forest Task Force (UFTF) for the NYC Urban Forest Agenda, which may trigger a virtuous cycle, or a positive feedback loop where people are mobilized to protect the urban forest, and its benefits that ultimately motivate people to commit to its conservation. We further develop framing for a “priority canopy” analysis to understand where urban forest expansion should be prioritized given more context (e.g., environmental hazards and local preferences), which can inform how expansion of the urban forest is achieved. We estimate an opportunity for 15,899 ha of new canopy in NYC given existing opportunities and constraints (practical canopy), which, if leveraged, could result in nearly doubling the canopy as of 2017 (17,253 ha). However, like existing canopy, practical canopy is not evenly distributed, in general, or across jurisdictions and land uses. Relying solely on areas identified as practical canopy to expand the urban forest would exacerbate these inequities. We discuss how the NYC UFTF established a visionary and achievable goal of at least 30% canopy cover by 2035, informed by this analysis and guided by priorities of equity, health, and resilience. Achievement of this goal will ultimately require a combination of protecting and stewarding the existing resource, and leveraging opportunities for tree planting. Achieving a more equitable urban forest will also require identification of priority canopy, and, in cases, creation of new opportunities for tree planting and canopy expansion. Overall, the collaborative establishment of such goals based on local context can be instrumental in creating a virtuous cycle, moving conservation actors toward exercising influence and agency within the social–ecological system.
Introduction
Urban forests are complex systems that include all trees in a city and the physical and social infrastructure on which they depend (adapted from Robertson and Mason, 2016). They also serve as critical infrastructure for mitigating various social and environmental challenges cities face. For example, urban forests help reduce the urban heat island effect (Alonzo et al., 2021), they support management of stormwater runoff (Selbig et al., 2022), and they are both comprised of and are habitat for various animal and plant species (Derby Lewis et al., 2019). Furthermore, benefits of urban forests including air quality improvement (Lai and Kontokosta, 2019), carbon sequestration (Nowak et al., 2013; Pregitzer et al., 2022), community cohesion (Campbell et al., 2016; Svendsen et al., 2016), and mental wellbeing (Berman et al., 2021), among others, are increasingly demonstrated and understood. Despite the increasing recognition of the roles that urban forests play, recent work indicates they are declining throughout the United States (Nowak and Greenfield, 2018). However, intentional planning for and maintenance of urban forests can help sustain and expand them through the long term (Dwyer et al., 2003).
As Morrison (2015, 2016) has described, targeted planning for conservation of a resource, with engagement of stakeholders and explicit consideration of people as part of a social–ecological system, can spur a positive feedback loop in which benefits of conservation outcomes beget more sustained conservation. This is described as the virtuous cycle framework, with the positive feedback loop itself being the eponymous “virtuous cycle” (Morrison, 2015, 2016). Assumptions of the framework are as follows: there is an objective (e.g., of a conservation organization) to protect an aspect of nature; people are integral to any conservation outcome; conservation needs to be incorporated into the landscape, rather than relying on relegating specific areas for conservation (e.g., of “wild nature,” sensu Morrison, 2015); conservation solutions are more durable when they tend to be made more mainstream and solutions can be made self-sustaining; and, while work focuses in certain places, it is important to strive to effect change more broadly. Ultimately, the virtuous cycle framework is intended to leverage theories of change, or hypotheses of how planning with people will benefit all nature (including people) in ways that will garner broader support for the focal resources. The framework can apply to urban forests, supporting the incorporation of human dimensions into their resource planning—a key need, previously identified by Dwyer et al. (2003).
Municipalities, non-governmental entities, stewardship or conservation organizations, and collaborative groups or coalitions sometimes support planning and maintenance of urban forests by setting goals to maintain or expand them and their benefits. These goals are often set within one of two frames—as tree planting targets, through which a number of new individual trees is set for planting, or tree canopy cover targets, which aim to increase the cumulative land area covered by leaves and branches of trees (McPherson and Young, 2010). While tree planting goals can be galvanizing, particularly shortly after they are established (Eisenman et al., 2021), they alone do not account for factors such as ongoing loss or removal of trees, or for the ongoing management needs of existing trees that support canopy expansion through time. They functionally only consider one element of a dynamic system and may not, in and of themselves, capture net effects of overall management of the urban forest (McPherson and Young, 2010). Achieving and maintaining a specific canopy cover ultimately requires holistic management of the urban forest that considers the life cycle of trees, including tree protection and care, in addition to planting (e.g., see the Chicago Region Tree Initiative 2050 Master Plan; Morton Arboretum, 2018). Furthermore, benefits of individual trees may be difficult to holistically track (depending on species, size, local context, and other factors), particularly while accounting for trees removed, while benefits can be calculated based on canopy cover, as with urban heat amelioration (Ziter et al., 2019) and stormwater management associated with interception of precipitation (Hirabayashi, 2015). Given these considerations, we focus on urban forestry goals for canopy rather than tree planting targets.
It is important that canopy goals respond to local constraints and opportunities to realize desired benefits. For example, factors such as residents' demand for or interest in trees and their benefits, soil conditions, and availability of resources for maintenance can play important roles. This insight was gleaned from experience of urban foresters, researchers, and community members and informed a transition by American Forests (a leading urban forestry organization) away from a universal recommendation of 40% canopy cover in cities (Leahy, 2017). The updated guidance came after more nuanced methodologies and processes to set canopy goals had been developed, including the “Three P's” (Raciti et al., 2006): (1) the “possible canopy,” which answers the question, “Where is it biophysically feasible to plant trees?”; (2) the “potential canopy,” which answers, “Where is it economically likely to plant trees?”; and, (3) the “preferable canopy” which answers, “Where is it socially desirable to plant trees?” Answering the questions embedded within the three P's, as well as identifying where trees already are, can support the community of people and organizations that plan for and manage the urban forest (Raciti et al., 2006). The concept of “possible canopy” has been applied in myriad municipalities (often cities and broader counties) including in New York City (NYC), New York (Grove et al., 2006; O'Neil-Dunne, 2012); Philadelphia, Pennsylvania (O'Neil-Dunne, 2011, 2019); and Charlotte and Mecklenburg County, North Carolina (O'Neil-Dunne, 2014). There are important examples of advancing beyond that, toward “preferable canopy” and prioritization schemes for new canopy (Locke et al., 2010, 2013), though efforts to refine mapping of where new canopy can go, and grounding prioritization in more localized needs, have been limited.
A combination of the natural history and landscape context of cities, and the historic priorities and decisions of institutions and communities of people affecting land use, have contributed to the current urban forest in a given city (Roman et al., 2018). In particular, the natural history of a city has implications for the characteristics of the urban forest that the city might strive for. For example, in Phoenix, the vision for its urban forest is one that “reflects and preserves the beauty of the Sonoran Desert,” focusing on local species, such as palo verde (Parkinsonia florida), ironwood (Olneya tesota), and mesquite (Prosopis spp.), with a 25% tree canopy cover goal by 2030 (City of Phoenix, 2009). In contrast, in subtropical, humid Louisville, Kentucky, a goal of 45% canopy cover was set to aggressively combat trends of tree loss and ongoing risks, particularly for ash trees (Fraxinus spp.), identified in local research efforts (Louisville-Jefferson County Metro Government, 2015). In some cases, local stakeholders may also decide areas are not appropriate for urban forestry because of their natural history. For example, in NYC, the master plan for the reclamation of the Fresh Kills Landfill ultimately prioritized restoring tidal marshes to the area (Field Operations, 2006).
While natural history provides a lens for ecological opportunities and constraints, decisions about a city landscape are ultimately influenced and made by people and institutions with varying priorities and levels of both direct and indirect influence. The distribution of tree canopy thus often reflects legacies of historic policy, land use, and sometimes socially exclusionary efforts, which had influence on the urban forest. For example, in United States cities, tree canopy is often less prevalent in areas that were historically the subject of discriminatory lending practices, such as “redlining,” which codified neighborhood demographic make-up as a determinant for default risk on property loans (Locke et al., 2021). The result of redlining was systemic disinvestment in immigrant (particularly Mexican, Jewish, and Asian), poor, and, especially, Black (including Black Latinx) neighborhoods, as residents were less able to attain loans and mortgages from banks (Woods, 2012). Furthermore, in many areas, it was common to add racially restrictive covenants in property deeds that prohibited the sale of homes to people of color (Nardone et al., 2021). Thus, people of color have had limits, beyond economic, in where they can purchase property, sometimes keeping them in the redlined areas that not only tend to have less tree canopy (Locke et al., 2021), but also have less vegetation overall (Namin et al., 2020), and are significantly hotter (Hoffman et al., 2020). Variation in conditions within a city can also be associated with zoning and land use (e.g., see Maantay, 2002, 2007) and highlights the need for place-specific investigation of social and development histories that have shaped the current landscape. For example, in NYC, while there is lower tree canopy cover in redlined areas in four out of the five boroughs, there is no discernable trend in Manhattan, where lower tree canopy tends to be associated with higher incomes (Treglia et al., 2021a). Such variation may be the result of varying development histories across the five boroughs, as Manhattan is historically more densely developed as a whole and there is not much variation in tree canopy across most parts of the borough. Nonetheless, benefits from an expanded urban forest can have the greatest positive impact in neighborhoods with socially vulnerable residents (Zhou et al., 2021). Such expansion of the urban forest can be driven by current priorities, but aspects of it may be influenced by historic factors that set forth constraints in the contemporary landscape, such as where there is pavement, underground utilities, and land uses or built features that may conflict with trees, their roots, or their canopy.
Understanding natural and social context can help guide setting and implementation of urban forestry goals, and engagement with stakeholders in the process can set off a virtuous cycle. In support of that, we developed the concept of “practical canopy,” a data-based analysis that identifies where new canopy can likely fit within a given landscape, to inform setting of tree canopy goals while accounting for local context—particularly factors that affect where trees may be planted and where canopy can grow given real world constraints. We also propose a subsequent step, mapping of “priority canopy.” This step goes beyond the question of what opportunities currently exist to develop a better understanding of where expansion of the urban forest is locally desired or needed, which can indicate, in some cases, that landscape change is required to achieve these priorities. We build on existing approaches, incorporating elements from all “Three P's” (Grove et al., 2006). We then describe our effort to map practical canopy in NYC to support development of a canopy cover goal by the collaborative stakeholder group, the NYC Urban Forest Task Force (UFTF), for inclusion in the NYC Urban Forest Agenda (NYC Urban Forest Task Force, 2021). In the past, while at least one canopy goal had been proposed, 30% by 2030 (from 2006) based on analysis of “possible canopy” (Grove et al., 2006), a tree planting goal (of one million trees within 10 years) was ultimately adopted as part of a mayoral initiative, PlaNYC (Campbell, 2017). The mapped practical canopy is not intended to be prescriptive of where trees should be planted or canopy should be added, or how a canopy goal should be achieved. Instead, it is one step in creating a virtuous cycle (Morrison, 2016), wherein ongoing work toward implementation and achievement of the goal can spur further interest and ultimately conservation of the urban forest. The development and results of the practical canopy analysis engaged stakeholders directly by providing information asked for in the process of setting a tree canopy goal, and moving the NYC UFTF toward exercising agency in the social–ecological system by requiring explicit articulation of values and objectives (particularly priorities of equity, health, and resilience). We suggest this virtuous cycle can begin with the engagement of stakeholders in setting an urban forest goal, with buy-in developed through conversations built, in part, on data and analysis. It can then be reinforced as the goal and supporting information become socialized, with broader support developed as the benefits of the urban forest are more fully realized.
In mapping practical canopy, we sought to answer the following: (1) How much opportunity for additional tree canopy do we estimate exists in the current NYC landscape? (2) How does this vary by geographic scale, jurisdiction, and land use? and (3) How does the practical canopy compare to existing and “possible” canopy (sensu Grove et al., 2006)? Furthermore, we describe how this information supported discussions about potential to expand the urban forest in ways that address existing inequities, a priority identified by the NYC UFTF, which led to their setting a goal of at least 30% tree canopy cover by 2035 for NYC as part of the NYC Urban Forest Agenda. The hope is this process has set forth a virtuous cycle that continuously brings in more actors—including policymakers and those immediately affected by the resource—who strive to maintain and expand the urban forest across temporal and spatial scales for its intrinsic value and its benefits, and ultimately the sustenance of a self-supporting social–ecological system.
Methods
General definitions and process of mapping practical canopy
We define practical canopy as the spaces or areas within a landscape where it is estimated that new tree canopy can be grown from newly planted trees (or potentially existing ones), while accounting for constraints associated with land use, land cover, and built infrastructure. Mapping practical canopy assumes such constraints are static (i.e., unchanging in the foreseeable future), with analysis based on spatial data (raster or vector) that represent the landscape at a point in time or under different scenarios (e.g., with future development scenarios modeled). Furthermore, it requires those involved in the work (e.g., researchers, managers, and advocates) to make assumptions or decisions about how features on the landscape can functionally constrain planting of new trees and expansion of canopy (e.g., athletic fields would generally be considered as having a conflicting land use, and tall buildings could physically limit where tree canopy can grow). It is ultimately intended to offer insight into how much new canopy a landscape may accommodate in its current form. Mapping of practical canopy is not intended to be prescriptive in terms of where new canopy should be added, as it is a spatial model that does not necessarily resolve conflicting values, or incorporate local perspectives, all constraints at play, and the potential to change the landscape in ways that can create new opportunities for canopy or tree planting (by, e.g., de-paving land). However, it can support conversations about these factors.
Mapping practical canopy entails three general steps that rely on spatial data for the focal area and assumptions for where new trees can be planted and where canopy could exist in the spatial model (termed “allowability” for planting and canopy; Figure 1).
-
Delineate planting allowability, or where within the landscape trees can likely be planted. This involves developing assumptions of what types of land use and land cover are suitable for tree planting and applying them to relevant spatial data (it is then assumed that canopy could cover these spaces).
-
Delineate canopy allowability, or where within the landscape tree canopy could likely exist. This involves developing assumptions of where tree canopy would not conflict with other land use, land cover, or built environmental features in the landscape and applying them to the spatial data. This does not account for whether trees could be planted near those spaces but is framed as “if trees exist nearby, could canopy grow to fill the space?”
-
“Grow” tree canopy from spaces considered allowable for planting (and potentially from existing canopy), constrained to areas delineated as allowable for canopy. The maximum amount that canopy is grown can be specified based on additional assumptions regarding how large trees may be anticipated to grow.
Figure 1

Diagram illustrating the general concept of how practical canopy is considered across the landscape, including whether trees can be planted given features on the ground and whether canopy could or would be allowed to occur (e.g., canopy from trees at grade would not be tall enough to overlap tall buildings and may not be allowed to exist in certain portions of airports). Additional factors such as underground infrastructure (not shown) can also be considered. Practical canopy is ultimately the canopy that could be grown given the combined consideration of where trees can be planted and grow. Note the opaque tree depicts an existing tree; the transparent ones represent hypothetical trees that could be planted and would contribute to realization of practical canopy.
While practical canopy mapping can be conducted for an entire city based on a holistic set of data and assumptions, it can also be stratified to incorporate unique assumptions for different geographic units or land use, zoning, and jurisdiction, among other characterizations.
Mapping practical canopy in New York City
Creating a base layer: Processing land cover and land use data layers
We combined a suite of relevant data layers related to where trees can likely be planted (planting allowability) and where canopy could theoretically exist (canopy allowability) in the current landscape into a single data layer, hereafter referred to as the “base layer” (the full list of data layers used is available in Supplementary material). The base layer was developed primarily from a suite of planimetric layers reflecting features across the landscape including building footprints, roadbeds, medians, sidewalks, parking lots, and recreation fields, among others, as two-dimensional polygons. We retained information associated with these data layers as needed—for example, we included estimated building height from the building footprint layer, useful in setting canopy allowability. While individual properties were not wholesale included in the base layer, we included boundaries of particular types for which we specifically delineated planting and canopy allowability (e.g., airports and community gardens). Furthermore, we masked out areas considered natural, as areas for which canopy is not necessarily appropriate given ecological context and management goals. We did this based on a data layer from the NYC Department of Parks and Recreation (NYC Parks) for properties managed by that agency (the Dominant Type dataset), and an ecological cover type map from the Natural Areas Conservancy (O'Neil-Dunne et al., 2014) for the rest of the landscape. For informing the discussion of practical canopy with the NYC UFTF, staff from NYC Parks and the Natural Areas Conservancy provided estimates of potential for new canopy in the near term for these spaces within city-owned land as an aggregate (i.e., not spatially explicit), suggesting a relatively small area of canopy (81 ha) may be added to these spaces as a result of natural processes (e.g., succession) or planting in the next 10–15 years.
All datasets included in the base layer were the most recent available (spanning 2010–2021) and represented an approximation of the landscape at the time of analysis. Many of the datasets originated from a set of planimetric data based on digitization of aerial imagery from 2014, though we supplemented more recent data as available, such as of building footprints and landscape elements within NYC Parks' jurisdiction. We augmented data on roads based on spatial joins between roadbeds and a regularly updated line dataset of roadways maintained by the City government.
We generally used the spatial data as obtained from the various sources, with two main exceptions (detailed data processing steps and list of data used are available in Supplementary material). First, airports were treated as a special case, as there are often height restrictions that extend beyond their boundaries (e.g., per Zoning Resolution of the City of New York, 1993). Thus, we manually extended the boundaries of the two active airports in NYC, based on input from partners who have experience in this realm and visible patterns of limited trees along flight lines in aerial imagery. Second, boundaries of recreation fields often only encompassed actual playing surfaces (or even a subset, such as the infield diamond of a baseball field) and did not include other, adjacent, actively used spaces such as where players sit. We examined myriad examples of these data with aerial imagery, and after consultation with local experts, we buffered recreation fields by 30.48 m (100 ft) before incorporating them into the base layer to account for such limits of these data. All data used were downloaded in or reprojected to a common coordinate reference system, EPSG 2263 [New York State Plane, Long Island Zone (ft), NAD 83], which supports accurate area calculations for the focal area. Spatial data were processed using a combination of ArcGIS Pro version 2.8 (Esri Inc., 2021), PostgreSQL version 13.0/PostGIS 3.1 (PostGIS Project Steering Committee, 2021; The PostgreSQL Global Development Group, 2021), and QGIS version 3.12 (QGIS.org, 2020).
Defining planting and canopy allowability
For each layer we incorporated into the base layer, we considered whether the areas represented could likely support new trees being planted (with canopy growing directly above those spaces; “planting allowable”), new tree canopy overhanging (“canopy allowable”), or neither (see Figures 2A,B). This enabled us to approximate where new trees and their respective canopy could be added to the landscape while avoiding fundamental conflicts with current land use (e.g., active recreation fields), land cover (e.g., avoiding existing canopy), and infrastructure (e.g., canopy generally cannot extend atop taller buildings). A list of the types of polygons present in the base layer and the designation assigned for planting and canopy allowability can be found in Supplementary material.
Figure 2

Illustrative maps representing the process of mapping practical canopy in New York City, including delineation of where the landscape was considered allowable for tree planting (A), where the landscape was considered allowable or not for canopy (B), and how the two were used together to map practical canopy (C). The concepts apply the same in the top and bottom images, but in areas of the landscape with different levels of development and complexity. Imagery is courtesy of the City of New York, Department of Information Technology and Telecommunications.
We considered spaces as not allowable for tree planting when:
-
Tree planting would, in general, be implicitly incompatible with the use of, or the infrastructure in the space, as discernable in the available data. For example, spaces encompassed within building footprints, active recreation fields, roadbeds, and water bodies were not considered “allowable” for tree planting in our analysis.
-
Logistics or regulations are generally understood to substantially constrain tree planting in certain parts of the landscape with specific land uses, histories, or infrastructure, such as airports and landfills. Cemeteries were also included in this category; while some cemeteries have canopy cover and are managed in part to maintain trees, management practices and logistical constraints can vary widely and thus we erred on the conservative side in this case.
-
Ground level surfaces were estimated to be paved in any way, given that there is often substantial work required to make the space suitable for planting a tree (albeit see section on street trees below). Recognizing trees require some space to even be planted, non-paved areas were required to be a minimum area of 2.32 m2 (representing a small tree bed).
We considered spaces as not allowable for additional canopy on the landscape when:
-
Infrastructure that trees would generally not be tall enough to overhang was present (such as buildings taller than 10.67 m and roadway overpasses; see Supplementary material for further detail).
-
Clear lines of sight and unplanted areas are required as standard procedure to manage things like risk associated with downed branches (e.g., over travel and shoulder lanes of highways).
-
Overhanging canopy may conflict with the primary use of a space (e.g., community gardens that rely on sun exposure for fruit and vegetable production).
-
There is existing canopy.
This delineation of allowability for planting and canopy was conducted for the entirety of NYC, excluding natural areas (beyond the scope of the effort described herein) and sidewalks in rights of way, where street trees could be planted (treated uniquely, per the section Estimating planting allowability for street trees).
Estimating planting allowability for street trees
Street trees in NYC are trees associated with public surface streets, typically planted along sidewalks, under the jurisdiction of NYC Parks. They were considered separately from other trees because they are subject to specific rules regarding where they can be planted due to their potential impacts on intersections, sidewalks, and existing street trees documented in the Street Tree Planting Standards for New York City (City of New York, 2016). Per these rules, a street tree should generally be planted: (1) a minimum of 6.10 m away from another street tree and (2) a minimum of 12.19 m from the corner of a road intersection (City of New York, 2016). To simulate new street trees, we used the base layer in conjunction with data from the most recent (2015–2016) street tree census, to assign areas that comply with these rules as “planting allowable” on each blockface (the continuous frontage along a block, along a single street, between corners at either end; The City of New York, 2017). We then used a data layer representing estimated capacity for street trees along each blockface (provided by NYC Parks) to determine how many additional trees may be planted given the existing ones. We then randomly placed up to that number of points along the respective blockfaces, in accordance with the aforementioned standards.
“Growing” the canopy
With the areas considered allowable for new tree planting and canopy designated, as well as the points representing potential locations of new street trees, we modeled or “grew” the canopy (illustrated in Figure 2). This entailed buffering the plantable areas and simulated street tree points to represent canopy grown, restricted to the areas considered allowable for canopy. To set a buffer, we calculated the average estimated canopy diameter of street trees and those in landscaped portions of city-owned parkland for the 10 most common species in each, leveraging diameter at breast height from respective datasets (see Treglia et al., 2021a for a more in-depth discussion of these data) and species-specific growth equations (McPherson et al., 2016). The buffer employed was 4.11 m (representing a 8.22 m diameter canopy per tree). The model is not temporal in nature; thus, while myriad factors influence canopy size of individual trees, our approach is intended to represent a general average at any given time since young trees are typically planted as larger ones senesce through time. We attributed the canopy “grown” to new trees associated either with plantable areas or with the simulated new street trees. In instances where practical canopy from these sources could overlap (e.g., along boundaries between individual properties and rights of way), we attributed the area of overlap to street trees for accounting purposes, given they are all within the jurisdiction of a single entity (NYC Parks). The spatial data, representing canopy “grown” in this step (restricted to exclude spaces considered not allowable for canopy) and those representing plantable area, together comprised the final practical canopy layer (depicted in Figure 2C).
Characterizing practical canopy in New York City
Once the practical canopy layer was developed, we overlaid it with spatial data representing a suite of political, administrative, and jurisdictional datasets to derive descriptive summaries for interpretation, to enable comparison with the distribution of existing canopy, and to support discussion with members of the NYC UFTF. We summarized practical canopy data citywide, and by the following units, in order of decreasing size: boroughs (each representing a single county, and with an elected representative, a Borough President); City Council Districts (each with an elected City Council Member); Community Districts (each with an associated board of community members); and Neighborhood Tabulation Areas (NTAs; a unit used for planning purposes designed to be smaller than City Council Districts, with ~15,000 residents within each). Each is relevant to planning and decision-making in NYC, as they align with specific levels of governance, civic engagement, or serve as planning units. We focus our results herein on citywide, borough, and NTA scales, representing the largest and smallest scales, to help highlight overall trends as well as local nuance. NTAs also include aggregated areas that have unique, non-residential uses (e.g., large tracts of land dedicated to parks and airports), which we included in summaries and analysis. Though a set of newer NTA boundaries is available, updated after the 2020 decennial census, we used the previously developed layer, created following the 2010 decennial census, to support comparison with previous analyses, such as those of existing canopy (Treglia et al., 2021b). A detailed map of boroughs and NTAs is available in Supplementary Figure 1.
We also delineated whether practical canopy was associated with street trees, plantable area, or the “growth” around plantable areas, and we characterized the distribution of practical canopy by general jurisdiction (e.g., City properties and rights of way (assumed to be City land), New York State, Federal, or private), and for private property, generalized land uses. Ownership data were generally derived from a parcel dataset available for NYC, MapPLUTO (version 20v6), or agency-specific datasets, described in appendices of Treglia et al. (2021a).
Canopy comparisons
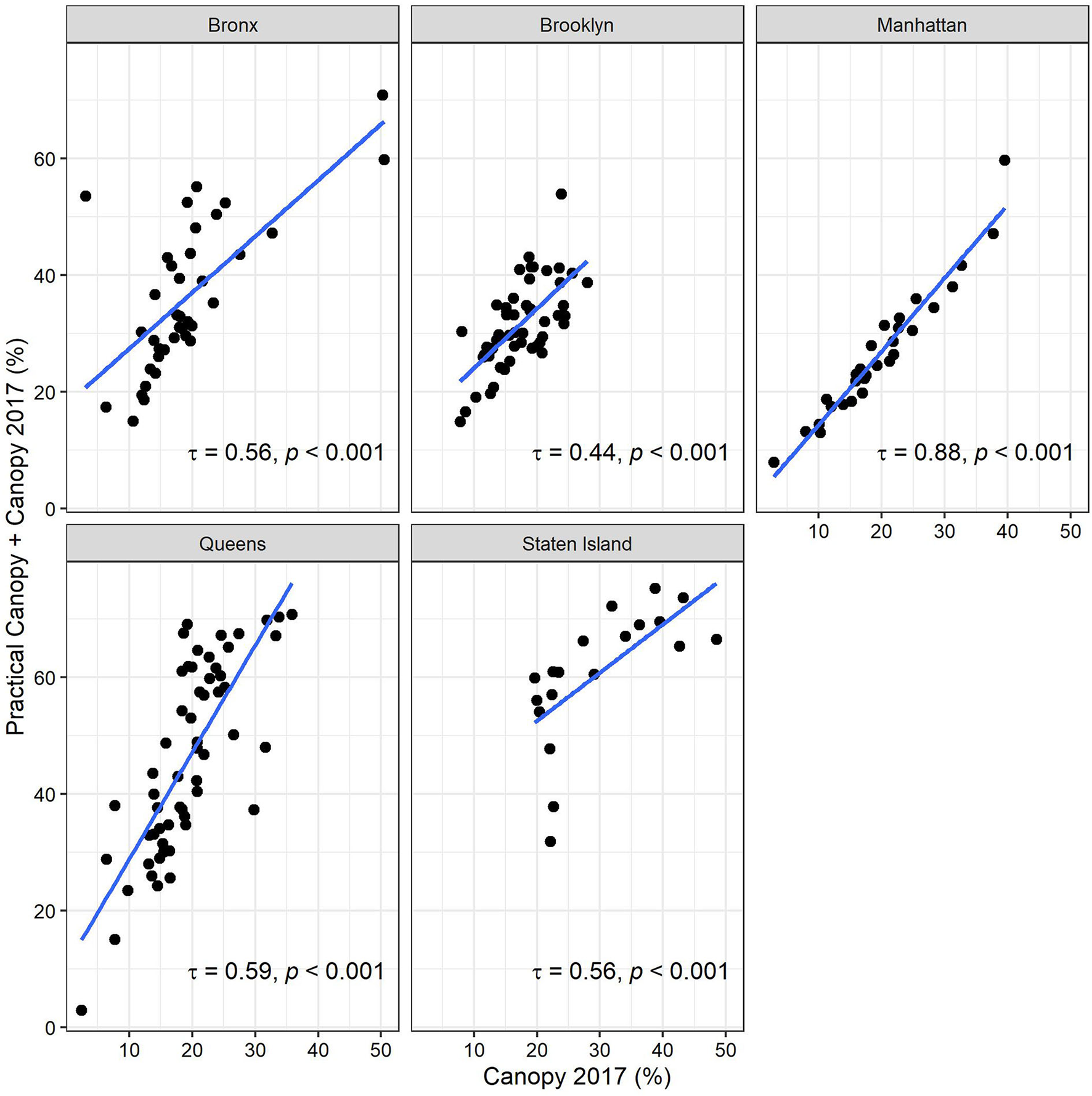
We compared the distribution of potential for canopy based on practical canopy by administrative or political unit to the distribution of existing canopy as of 2017, the most recent time point for which there is a robust, LiDAR-based canopy data layer, using the results from Treglia et al. (2021b). This comparison allows us to understand what the practical canopy means in terms of opportunities to expand the urban forest in different spaces across the city. At the scale of NTAs, both citywide and by borough, we examined Kendall's τ correlations (Kendall, 1938) to understand the relationship between the percentage of each area covered by canopy as of 2017 and that which would be covered by canopy with the inclusion of practical canopy. This offers insight into whether, in general, adding practical canopy would change the rank order of NTAs in terms of total canopy (positive correlations would suggest that, in general, practical canopy would not change which areas have the most and least canopy). We considered significance for Kendall's τ correlations based on α = 0.05 and incorporated best-fit lines with scatterplots of the data to support interpretation. This analysis was conducted using the cor.test function in R version 4.0.2 (R Core Team, 2020). We also examined whether realizing practical canopy would reduce the disparity in tree canopy by comparing the ranges in canopy cover across NTAs by borough based on the existing canopy and the existing plus practical canopy.
We also compared the practical canopy to an estimate of “possible canopy” for NYC (sensu Grove et al., 2006; considered as a representation of where canopy is “biophysically feasible”). For this, we calculated the possible canopy using a comparable methodology to that described by Grove et al. (2006) and Raciti et al. (2006), as the land area that was not existing canopy, water, buildings, roads, or railroads (added as an available, relevant land cover class for this analysis). For this work, we leveraged the most recent high-resolution land cover data for NYC representing the landscape as of 2017. This comparison allowed us to better understand the differences between the existing typology of potential for new canopy and our proposal, “practical canopy.”
Results
Summaries by borough and Neighborhood Tabulation Area
The spatial data layer of practical canopy we developed for NYC represents 15,899 ha (20.31% of the NYC land area) that we estimate could likely be covered by tree canopy from planting and growth of additional trees while accounting for constraints associated with current land use, land cover, and the built environment. The resultant data layer from this work, as well as summaries by borough, City Council District, Community District, and Neighborhood Tabulation Area (2010) are available in a public repository at https://zenodo.org/record/6547492 (Treglia et al., 2022).
The distribution of practical canopy among the five boroughs of NYC generally followed their rank order by land area, with Queens containing the largest share of all practical canopy in NYC (42.70%) and Manhattan containing the smallest (3.09%) (Table 1). Brooklyn and Staten Island were the only boroughs that did not follow this trend; Brooklyn is the second largest borough but has the third highest practical canopy area, and Staten Island is the third largest borough, but has the second highest practical canopy area. The trends in terms of practical canopy by borough align with trends in existing canopy, as of the most recently available canopy dataset for NYC. Staten Island, followed by Queens, had the largest portion of its area identified as practical canopy (27.05 and 24.00%, respectively), with Manhattan having the lowest (8.30%) (Table 1).
Table 1
| Borough | Land area (ha) | Practical canopy (ha) | Existing canopy 2017 (ha) | Practical canopy cover (%) | % of total practical canopy | “Possible canopy” (ha) | Mean NTA practical canopy (%) ±SD | Range of NTA existing canopy (%) | Range of NTA practical + existing canopy (%) |
|---|---|---|---|---|---|---|---|---|---|
| Bronx | 11,024 | 1,948 | 2,733 | 17.67 | 12.25 | 4,294 | 17.03 ± 9.25 | 3.06–50.47 | 14.93–70.81 |
| Brooklyn | 17,968 | 2,591 | 3,165 | 14.42 | 16.3 | 7,300 | 14.17 ± 5.48 | 7.82–27.99 | 14.90–53.93 |
| Manhattan | 5,914 | 491 | 1,264 | 8.3 | 3.09 | 1,675 | 6.83 ± 3.38 | 2.90–39.51 | 7.87–59.67 |
| Queens | 28,280 | 6,788 | 5,344 | 24 | 42.7 | 12,811 | 26.60 ± 11.71 | 2.43–35.83 | 2.95–70.79 |
| Staten Island | 15,085 | 4,080 | 4,748 | 27.05 | 25.66 | 6,743 | 30.81 ± 8.54 | 19.67–48.46 | 31.81–75.22 |
| Citywide | 78,272 | 15,899 | 17,254 | 20.31 | 100 | 32,823 | 18.95 ± 11.56 | 2.43–50.47 | 2.95–75.22 |
Summary information of land area, existing canopy, practical canopy, and “possible canopy” (sensu Grove et al., 2006), by borough of New York City and citywide.
Columns titled with ‘NTA’ contain aggregate statistics for the respective Neighborhood Tabulation Areas.
Practical canopy within NTAs (Figure 3A) generally reflects the patterns within the respective boroughs, as the rank order for average percent of land area mapped as practical canopy by NTA within each borough was the same as the rank order for percentage of land area mapped as practical canopy by borough as a whole (Table 1). There is substantial variation in the percentage of each unit mapped as practical canopy at this more granular scale; the lowest value for an NTA was 2.74%, in the Clinton area of western Manhattan (MN15) and the highest value was 49.87%, in Cambria Heights, eastern Queens (QN33). In terms of areas with special uses, the one representing JFK International and LaGuardia Airports (QN-98) had the lowest percentage of area with practical canopy (0.52%), and Riker's Island (BX-98) had the most (50.47%). The variation tends to be moderated within every borough except for Queens (Table 1).
Figure 3

Maps illustrating the practical canopy (A) and existing canopy as of 2017 (B) as percent of land area by Neighborhood Tabulation Area. Thicker borders delineate the borough boundaries [with boroughs labeled on (A)]. Borough and Neighborhood Tabulation Area Boundaries are from the City of New York, Department of City Planning. Non-residential areas are generally aggregated by borough in those datasets and as presented here. Summaries of existing canopy cover are from Treglia et al. (2021b).
Citywide, only 6.38% of practical canopy was attributable to street trees, with the remainder associated with spaces considered allowable for planting (34.57%) or the buffered area representing canopy growth from those spaces (59.05%). The Bronx and Queens both have about 6% of their practical canopy attributable to street trees, though Manhattan and Brooklyn have substantially more (14.60 and 10.31%, respectively); Staten Island has less, only 3.42%. In terms of jurisdiction, the majority of practical canopy mapped (68.78%) was within private property, followed by city land (25.28%; primarily within rights of way, generally associated with canopy grown from plantable area within adjacent properties; see available results files), state (4.14%), and federal properties (1.80%) (Figure 4A). While this varied by borough, Manhattan was the only one not to have the majority of practical canopy within private property (the majority there, 56.97%, was within the jurisdiction of the city). Furthermore, the large majority of practical canopy mapped on private property was within 1–2 family residential properties, and this was true across all boroughs except for Manhattan, in which the majority of private property practical canopy fell within 3+ family residential properties (Figure 4B). These breakdowns by NTA are available in summary result files (Treglia et al., 2022).
Figure 4

Stacked bar charts showing the distribution of practical canopy by ownership type, as well as existing canopy and land with neither canopy nor mapped practical canopy, both citywide and by borough (A), and the breakdown of practical canopy among different land uses of private property, citywide and by borough (B). For (A), City Property includes rights of way, generally within the jurisdiction of the City of New York; when State or Federal practical canopy is not discernable, it represented a small very small portion, if any, of the practical canopy. For (B), land uses are aggregated from parcel data for NYC (see Supplementary material).
Practical canopy compared to existing (2017) canopy and “possible” canopy
The 15,899 ha of practical canopy mapped citywide is nearly the same area covered by canopy in NYC as of 2017, 17,254 ha (Treglia et al., 2021a), indicating the potential to nearly double tree canopy at this scale if all practical canopy were realized and existing canopy cover was maintained (achieving 42.35% canopy cover total). Given the variation in borough-level canopy and practical canopy (Table 1) the largest relative increases would be the greatest in Queens (127.04%), more than doubling its canopy, and the smallest would be in Manhattan (38.84%), with the potential relative increases in other boroughs ranging 71.27–85.93%.
Citywide and across all five boroughs, we found significant positive correlations between the practical canopy and practical plus existing canopy within NTAs (Figure 5). This indicates that, in general, the rank order of the NTAs in terms of canopy would not change if all practical canopy mapped in this analysis were realized. Furthermore, in all boroughs, the range of canopy cover across the NTAs would increase. Thus, while all NTAs would see at least some increase in canopy cover, realizing all practical canopy would lead to an increase in the disparity between areas with the most and least canopy; the ranges in canopy across NTAs would increase in all boroughs and citywide (Table 1).
Figure 5

Scatterplots, by borough, showing existing canopy (as of 2017) and the combination of practical and existing canopy, both as percentages of land area for each Neighborhood Tabulation Area. τ represents Kendall's τ correlation coefficient, and p represents the respective p-value. Best-fit lines are displayed to support interpretation.
Our estimate of “possible canopy” (sensu Grove et al., 2006) (32,823 ha) was more than double the area of practical canopy. The “possible canopy,” relative to practical canopy, was highest in Manhattan and Brooklyn (3.41 and 2.82 times higher, respectively) and lowest in Staten Island (1.65 times higher). “Possible canopy” covered 41.93% of the NYC landscape, and if added to existing canopy would suggest opportunity for a total of 63.98% canopy cover citywide.
Discussion
Our estimate of practical canopy suggests the existing NYC landscape could likely support 15,899 ha of additional tree canopy. If all practical canopy were realized and the existing canopy is maintained, the canopy cover in NYC would nearly double, to 42.35% of the land area. The methodology we developed relies on making explicit assumptions of where trees could be planted, informed by local context and data, and thus enables deeper conversations or iterative analysis depending on the needs of those using the information. Comparing existing canopy cover, “possible canopy,” and practical canopy additionally provides a more complete picture of urban forest possibilities in a way that enables discussion of what may be required to address inequities in the NYC urban forest. Notably, the existing urban forest in NYC should not be taken for granted, as it is susceptible to loss from various challenges, requiring ongoing protection and stewardship (Treglia et al., 2021a). Protection and stewardship would also be required for newly planted trees to achieve the canopy simulated in the practical canopy analysis. It is imperative that future planning efforts take these dynamics into account. Ultimately, by promoting deeper conversation and a nuanced understanding of the landscape, the practical canopy analysis facilitates a framework for a “priority” canopy, which can then be acted upon. Our NYC practical canopy analysis grounded discussions around what a visionary and achievable goal could be in the current urban landscape. It not only informed the goal of at least 30% canopy cover by 2035 put forth in the NYC Urban Forest Agenda, but also has made clear that to achieve a more just urban forest, it will likely be necessary to create new spaces for planting, beyond what exists in the current landscape. Throughout this process, conversations have been in line with what is required to set forth a virtuous cycle (Morrison, 2015, 2016) where technical information and analysis, such as practical canopy mapping, support buy-in for planning and implementation efforts, in iteratively larger circles of stakeholders.
The concept of practical canopy is broadly transferable, and implementation can be adapted to a given place using locally relevant data and assumptions. Efforts for operationalizing it in small areas can potentially leverage on-the-ground mapping and knowledge, although robust analysis of for broader areas (e.g., citywide) requires reliable data on land use, land cover, and built infrastructure, for which availability varies substantially. Thus, we hope that as more data are generated for different cities, this type of work can be broadly replicated, but the analysis, as we have conducted it in NYC, may not be readily accomplished everywhere. As with any modeling effort, despite the local expertise and relatively rich data we incorporated into our analysis for NYC, there are limits in our results. In some cases, for example, we identify that the available data do not fully capture constraints in terms of where the urban forest could be expanded, with practical canopy appearing in the infield of Kissena Velodrome in Queens, as that space is not entirely reflected as an active recreation space in the data, and while underground infrastructure can limit opportunities for planting, such data were not available. There may also be cases of underestimation of practical canopy, such as associated with our assumptions of limited opportunity for planting on cemeteries and within airport boundaries. Thus, more robust data and even further refined assumptions could improve this analysis, and if applied in different places, different factors may need to be accounted for. Furthermore, future work can include sensitivity analyses to yield a more complete understanding of how different datasets and assumptions impact the results. In addition, the urban forest is also just one part of an urban system; other forms of greenspace and open space, such as green roofs, green walls, and gardens, offer myriad benefits and could also be considered in a broadened scope.
We see the iterative process of considering data and assumptions together as a refinement of the three P's (“possible,” “potential,” and “preferable” canopy; Grove et al., 2006) as the general categories of each P, “biophysical,” “economic,” and “preferable,” are not truly distinct. Instead, they inform each other and are dependent on the people making decisions, generally based on the data available. Their application then demands a step that is “practical,” working explicitly to ground conversations and priorities without being prescriptive. Our effort to explicitly document the data and assumptions can enable researchers and practitioners to refine this work based on new information or different objectives. For example, while cemeteries were considered not suitable for tree planting in our analysis, we recognize there is variation in how cemeteries are managed. The Green-Wood cemetery, as a case in point, is an arboricultural leader, qualified as a Level III Arboretum (Treglia et al., 2021a). Thus, additional opportunities for new canopy can be explicitly incorporated with refined or targeted analyses and assumptions. Functionally, the practical canopy is a spatial model that does not necessarily incorporate local perspectives, all constraints at play, or the potential to fundamentally change the landscape to create new canopy or planting opportunities (e.g., un-paving land). However, it can ultimately inform where fundamental changes to the landscape may be needed to achieve expansion of the urban forest.
The comparisons between the practical canopy and both the existing and “possible” canopies for NYC elucidate how context dependent understanding of opportunities for urban forest expansion can be. We expected the “possible canopy” to be greater than practical canopy because the former focuses only on relatively coarse assumptions of where new canopy can go based on the biophysical landscape, without consideration for where trees from which that canopy would grow can be planted or what the actual land uses are (e.g., if land is used for active recreation). In early work, we explored applying the “possible canopy” methodology of Grove et al. (2006) for NYC. We recognized its utility in starting conversations, and we began to better understand its limits. It ultimately inspired development of the idea of practical canopy, particularly given the wealth of data available for NYC that enabled a more realistic model that can account for specific constraints and opportunities for the urban forest. For example, while “possible canopy” does not allow canopy over any buildings or roadways, we were able to incorporate potential for canopy over short buildings and surface roads into practical canopy.
In exploring the relationships between practical canopy and existing canopy, we observed that while all areas of the city had some practical canopy, many areas with little existing canopy also had little practical canopy. Examples include in midtown Manhattan and, to a more moderate degree, the South Bronx (Figure 3). While one might expect that places with low canopy would have more opportunity for new canopy because they have not been paid attention to for urban greening, our results show that the existing landscapes, driven by various factors that shaped development history, have real constraints in terms of expanding the urban forest, as these areas have urban forms that are largely incompatible with broad greening efforts. Places with low canopy cover that have generally not had green space prioritized have often been paved over for other uses (Gould and Lewis, 2017) and are not simply “low-hanging fruit” for expanding the urban forest. We see this is indeed a general trend, as realizing practical canopy cannot counter the disparities in existing canopy across the city, though there are exceptions (see Figure 5).
Our results show that reducing disparities in tree canopy across NYC will require meaningful changes in the landscape that enable more planting of trees where there is little canopy. In general, urban forest goals are often established at a citywide level to improve access to benefits of trees and their canopy, and sometimes vegetation more generally, as in the case of efforts to mitigate urban heat challenges, particularly given warming temperatures associated with climate change (Eisenman et al., 2021). However, consideration of more granular spatial units is often needed to be relevant for the local impacts of challenges such as the urban heat island effect: in NYC, Johnson et al. (2020) identified a 32% vegetative cover threshold within a 12.6 ha area (approximately equivalent to a Manhattan block) before temperatures are cooled by vegetation, and in Madison, WI, USA, Ziter et al. (2019) suggested that 40% canopy cover in a 25 ha area is required before the cooling effects of increased vegetation are felt. When we consider our practical canopy results, neither the hottest areas (see Johnson et al., 2020) nor the areas with the most heat-vulnerable communities (mapped by the NYC Department of Health and Mental Hygiene) are among those with the most practical canopy (with a notable exception of Jamaica, Queens; Figure 3) or those that would see their circumstances substantially change in terms of canopy (Figure 6). This result may partially reflect that the driving force in the urban heat island effect is the differential rates of energy storage and release by different substrates, of which impervious surfaces (buildings and paved surfaces) store and release the most heat (Ward and Grimmond, 2017). Thus, the hottest areas (albeit not always the most heat-vulnerable ones) may inherently be some of those with the least practical canopy given the high densities of impervious surfaces. In addition, the findings of Ziter et al. (2019) and Johnson et al. (2020) suggest some of these interventions have to be considered at a scale as small as individual blocks, since at larger scales, cooling effects of trees may not be felt from one edge of a unit to another. Further research is needed to better understand how temperature reduction benefits of urban forests scale across the landscape and could inform more specific local goals, though expanding the benefits of the urban forest such as this can ultimately help increase support for the resource in the positive feedback loop of the virtuous cycle. While increasing access to the urban forest and its benefits is important through lenses of equity, public health, and general climate resilience, it is important that communities affected are authentically engaged, with opportunities for their visions to be elevated to support their self-determination for a more just end result (Campbell et al., 2022). Further, such engagement, in concert with other policies, can help prevent consequences such as green gentrification, if the goal is to expand urban forest to those who stand to benefit the most (Gould and Lewis, 2012; Schell et al., 2020; Campbell et al., 2022; García-Lamarca et al., 2022).
Figure 6

Maps illustrating what canopy cover (%) would be if all practical canopy mapped were realized, assuming maintenance of existing canopy as of 2017 (A), and the NYC Heat Vulnerability Index (2018 version), by Neighborhood Tabulation Area (B). Borough and Neighborhood Tabulation Area Boundaries are from the City of New York, Department of City Planning. Non-residential areas are generally aggregated by borough in those datasets and as presented here. Data on existing canopy used in (A) are from Treglia et al. (2021b); the NYC Heat Vulnerability Index is available from the NYC Department of Health and Mental Hygiene at https://a816-dohbesp.nyc.gov/IndicatorPublic/VisualizationData.aspx?id=2411,719b87,107,Map,Score,201.
Three examples of means by which the landscape can be changed to accommodate expansion of the urban forest are as follows: through broad changes in zoning regulations; rezoning specific neighborhoods; and redesigning streetscapes, within which street trees are generally planted. For example, in 2008, the City Planning Commission in NYC created a requirement in the zoning resolution that in almost all cases, new buildings and large alterations citywide have to either plant or protect a street tree for every 7.62 m of frontage on the building (Zoning Resolution of the City of New York, 2011). Furthermore, local areas can have more regulations or enabling conditions that support protection and expansion of the urban forest as part of zoning processes, and rezoning can result in future development (or redevelopment) that creates more opportunities for tree planting and canopy growth; special purpose zoning districts can also be established with more specific urban forestry requirements (e.g., as with the Special Natural Area District; Treglia et al., 2021a). Finally, the COVID-19 pandemic and a citywide commitment to decrease dependence on fossil fuels have created space for conversations on re-envisioning the right-of-way (Freudenberg et al., 2021). Streetscapes can be designed to prioritize vegetation and permeable surfaces, often in concert with other sustainability and livability improvements, such as for pedestrians and cycling. This can ultimately support de-pavement and tree planting, and even daylighting of below-ground streams (that were once aboveground) with riparian vegetation buffers (Freudenberg et al., 2021). Deciding which strategy makes sense where and how to prioritize expansion of the urban forest requires coordination with those who will be affected by such decisions and landscape changes.
Deciding when and how to promote landscape change is a subsequent step from identifying the priority canopy, or where canopy is most desired and needed for its benefits, regardless of existing constraints. This can build on and perhaps incorporate existing prioritization approaches that strive to represent various perspectives from across a city (e.g., Locke et al., 2010, 2013), while centering on more local perspectives. Stakeholders and decision makers can inspect the results in dialogue within the context of other relevant initiatives, the policy landscape, and priorities of the local communities. Specifically, high practical canopy but low existing canopy in an area can suggest the need to leverage available planting spaces; low practical and low existing canopy may suggest a need to re-envision the local landscape; and areas with high existing canopy, in general, may require tree preservation and stewardship efforts, and it is critical that these be considered more broadly in planning for the resource. Practical and existing canopy each reflect some dimensions of land use and social or natural histories that can be made more explicit, and preferences and needs for the future can be developed from there, by or with local communities.
Understanding dimensions of existing and practical canopy can also have implications for broader urban forest planning efforts, particularly when considered with jurisdictional and land use data. Based on our analysis in NYC, from a citywide perspective, it may be critical to prioritize engagement with private property owners, particularly those that own 1–2 family residential properties (Figure 4B), given the substantial practical canopy there. Yet, geographically targeted analyses, such as in heat-vulnerable areas with limited practical canopy, may guide local efforts involving the community and government agencies to ensure a robust urban forest in the public space (e.g., street trees) or to redesign the streetscape or rezone an area to create opportunities for additional tree plantings. In such local efforts, however, it is critical to ensure local stakeholders such as residents and community-based organizations are authentically engaged. Through dialogue with local communities (tenants, homeowners, workers, political and economic actors, identity affiliations, and others), at the scale of participation that is appropriate (Arnstein, 1969; Campbell et al., 2021), valuable additional information for the priority canopy framework can be included. The landscape of politics often defines this information, for example, to balance sometimes competing priorities and understand tradeoffs (e.g., increasing building height and density to promote an increase in housing density). The urgency of climate change also requires different information to be incorporated into urban forest decision-making, such that heat- and flood-tolerant tree species need to be considered at the same time as the mitigation effects of the urban forest. As urban forest goals are implemented, these complexities can be layered on top of the existing and practical canopies to create a priority canopy.
In NYC, our development of the practical canopy analysis was spurred by conversations with other stakeholders in the NYC UFTF, in part, as a means of informing the canopy goal in the NYC Urban Forest Agenda (NYC Urban Forest Task Force, 2021). The Task Force was composed of approximately 50 organizations that worked to collaboratively develop the NYC Urban Forest Agenda between 2019 and 2021. During this time, the NYC UFTF agreed they needed, among other things, a citywide goal that would support planning, guide policy initiatives, and to spark individual and collective action. Canopy was agreed upon as preferred metric for goal setting for several reasons: it can be measured and compared through time using periodic LiDAR-based data (when available); its change over time reflects a collection of actions or events relative to the resource (including planting, protection or lack thereof, maintenance, and stochastic events); its extent may correlate to service provisioning; and it can be understood and compared at different scales relevant to policy-making and interest of local communities. Once canopy was selected for the goal metric, the leadership of the Task Force wanted a grounding in the potential for additional canopy, which led to our development of practical canopy. It was critical that the goal be set within the context of potential resources such as funds and availability of trees to plant, and guiding principles or values (e.g., increasing equity of the urban forest, particularly through lenses of health and climate resilience, per the NYC Urban Forest Agenda). Furthermore, it was desired for the goal to be visionary and achievable, and simple such that it could be digestible and galvanizing, in ways that could inspire and require policy improvements, increased investments, and an expanded urban forest workforce, while having potential to improve environmental quality and climate resilience. It was also important that the goal be time-bound, such that it could spur both immediate and sustained action, while allowing for sufficient time to measure progress. Achieving a more equitable distribution, in addition to higher citywide canopy cover, was a key part of the conversation. Thus, the development and exploration of practical canopy enabled such discussions, resulting in a citywide canopy goal of at least 30% by 2035.
Since the release of the NYC Urban Forest Agenda in June 2021, myriad stakeholders have taken on the goal to varying degrees. The applicability of the goal across geographic scales, and the potential for it to touch down in local communities that can see benefits of achieving it may enable this to be the start of a virtuous cycle (Morrison, 2015, 2016). While mapping practical canopy was highly technical work, it ultimately supported buy-in for a canopy goal and allowed those engaged in the process to see the opportunity and potential for broad engagement by others, in expanding the urban forest. The opportunity identified, to at least some degree throughout the city and across jurisdictions, to increase canopy was galvanizing. Perhaps the same quantitative goal could have been set without this consultative process of mapping practical canopy (or with a simpler analysis), but the effort created buy-in via participation and discussion. Furthermore, the practical canopy data layer itself serves as a tool for conversation that supports local engagement and visioning, and ultimately, it informs ways in which the goal of at least 30% canopy by 2035 might be achieved in ways that improve equity of the resource. As the NYC Urban Forest Agenda was released, the NYC Urban Forest Task Force launched Forest for All NYC a growing coalition composed of over 70 organizations at the time of this writing, which is working to advance the canopy goal, among other actions detailed in the Agenda to support the NYC urban forest. While tree planting goals are still part of the conversation in NYC, with a “Million More Trees” campaign initiated by the five borough presidents, the coalition has effectively advocated for the campaign to incorporate the canopy goal, strengthening both initiatives simultaneously. The goal has also been adopted by other government officials such as the Chair of the NYC Council Committee on Parks and Recreation. Thus, a virtuous cycle for the NYC urban forest may be in its early stages, where the work of the NYC UFTF and this analysis created conditions where participating in the conservation of the urban forest reinforces the long-term commitment of an increasing number of local actors. If so, it was supported by technical information grounded in the landscape context, in the form of the practical canopy analysis, that can facilitate stakeholder engagement and planning for expansion of the resource with consideration of local priorities.
Funding
Funding for this work was provided in part by the Leona M. and Harry B. Helmsley Charitable Trust.
Publisher's note
All claims expressed in this article are solely those of the authors and do not necessarily represent those of their affiliated organizations, or those of the publisher, the editors and the reviewers. Any product that may be evaluated in this article, or claim that may be made by its manufacturer, is not guaranteed or endorsed by the publisher.
Statements
Data availability statement
The datasets presented in this study can be found in the online repository, Zenodo, at https://zenodo.org/record/6547492.
Author contributions
EM and MT developed the initial concepts of practical and priority canopy as described in the article, led meetings that resulted in input and feedback from partners, contributed to writing the first draft of the manuscript, and supervised the overall work. KL and MT developed and applied the novel methodology for mapping practical canopy. MT led the calculation of possible canopy. NP led the writing of the first draft of the manuscript and led refinement of the framing for practical and priority canopy as described in the manuscript. AV and MT conducted post-processing of the practical canopy data layer to summarize the results by different geographic and jurisdictional units. AV, KL, MT, and NP developed figures for the manuscript. All authors contributed to revision of the manuscript and read and approved of this submission.
Acknowledgments
We are grateful for input and feedback on both the methods employed for mapping practical canopy and the general framing of practical and priority canopy, provided by staff from the NYC Department of Parks and Recreation, Division of Forestry, Horticulture, and Natural Resources; Sarah Charlop-Powers, Crystal Crown, and Clara Pregitzer of the Natural Areas Conservancy; Lindsay K. Campbell, J. Morgan Grove, Richard Hallett, and Dexter Locke, USDA Forest Service, Northern Research Station; Jarlath O'Neil-Dunne, University of Vermont/USDA Forest Service, Northern Research Station; and Tami Lin-Moges, The Nature Conservancy, New York Cities Program. Kate Galbo of the Nature Conservancy, New York Cities Program provided analytical support in estimating canopy diameter of existing trees in the New York City urban forest. We also appreciate the time and constructive comments from reviewers, and the editors for the special issue of Frontiers in Sustainable Cities as this was submitted to be part of. The use of Esri products in this work was supported by license grants from Esri to The Nature Conservancy. The work described herein is also available in a preprint at https://www.preprints.org/manuscript/202206.0106/v1.
Conflict of interest
The authors declare that the research was conducted in the absence of any commercial or financial relationships that could be construed as a potential conflict of interest.
Supplementary material
The Supplementary Material for this article can be found online at: https://www.frontiersin.org/articles/10.3389/frsc.2022.944823/full#supplementary-material
References
1
Alonzo M. Baker M. E. Gao Y. Shandas V. (2021). Spatial configuration and time of day impact the magnitude of urban tree canopy cooling. Environ. Res. Lett. 16, 084028. 10.1088/1748-9326/ac12f2
2
Arnstein S. R. (1969). A ladder of citizen participation. J. Am. Inst. Plan.35, 216–224. 10.1080/01944366908977225
3
Berman M. G. Cardenas-Iniguez C. Meidenbauer K. L. (2021). An Environmental Neuroscience Perspective on the Benefits of Nature, in Nature and Psychology : Biological, Cognitive, Developmental, and Social Pathways to Well-being Nebraska Symposium on Motivation, eds SchutteA. R.TorquatiJ. C.StevensJ. R. (Cham: Springer International Publishing), 61–88. 10.1007/978-3-030-69020-5_4
4
Campbell L. K. (2017). City of Forests, City of Farms: Sustainability Planning for New York City's Nature.Ithaca, New York: Cornell University Press.
5
Campbell L. K. Svendsen E. Johnson M. Landau L. (2021). Activating urban environments as social infrastructure through civic stewardship. Urban Geography0, 1–22. 10.1080/02723638.2021.1920129
6
Campbell L. K. Svendsen E. S. Johnson M. L. Plitt S. (2022). Not by trees alone: Centering community in urban forestry. Landscape and Urban Planning224, 104445. 10.1016/j.landurbplan.2022.104445
7
Campbell L. K. Svendsen E. S. Sonti N. F. Johnson M. L. (2016). A social assessment of urban parkland: Analyzing park use and meaning to inform management and resilience planning. 10.1016/j.envsci.2016.01.014
8
City of New York (2016). Street Tree Planting Standards for New York City. New York, NY: New York City Department of Parks and Recreation.
9
City of Phoenix (2009). Tree and Shade Master Plan 2009. City of Phoenix. Available online at: https://resilientwest.org/wp-content/uploads/dmdocuments/Phoenix-Urban-Forestry-Plan.pdf (accessed January 14, 2022).
10
Derby Lewis A. Bouman M. J. Winter A. M. Hasle E. A. Stotz D. F. Johnston M. K. et al . (2019). Does nature need cities? Pollinators reveal a role for cities in wildlife conservation. Front. Ecol. Evol.7, 220. 10.3389/fevo.2019.00220
11
Dwyer J. F. Nowak D. J. Noble M. H. (2003). Sustaining urban forests. J. Arboricult.29, 49–55. 10.48044/jauf.2003.007
12
Eisenman T. S. Flanders T. Harper R. W. Hauer R. J. Lieberknecht K. (2021). Traits of a bloom: a nationwide survey of U.S. urban tree planting initiatives (TPIs). Urban Forest. Urban Green. 61, 127006. 10.1016/j.ufug.2021.127006
13
Esri Inc. (2021). ArcGIS Pro 2.8. Available online at: https://www.esri.com/en-us/arcgis/products/arcgis-pro/overview (accessed November 8, 2022).
14
Field Operations (2006). Fresh Kills Park: Lifescape Staten Island, New York Draft Master Plan. Field Operations. Available at: https://freshkillspark.org/wp-content/uploads/2013/07/Fresh-Kills-Park-Draft-Master-Plan.pdf (accessed January 14, 2022).
15
Freudenberg R. Calvin E. Weinberger R. Mandeville C. Martin T. Piacentini A. (2021). Re-Envisioning the Right of Way. Regional Plan Association. Available online at: https://s3.us-east-1.amazonaws.com/rpa-org/pdfs/RPA_Re-EnvisioningTheRight-of-Way.pdf (accessed December 28, 2021).
16
García-Lamarca M. Anguelovski I. Cole H. V. S. Connolly J. J. T. Pérez-del-Pulgar C. Shokry G. et al . (2022). Urban green grabbing: Residential real estate developers discourse and practice in gentrifying Global North neighborhoods. Geoforum128, 1–10. 10.1016/j.geoforum.2021.11.016
17
Gould K. A. Lewis T. L. (2012). The environmental injustice of green gentrification, in The World in Brooklyn: Gentrification, Immigration, and Ethnic Politics in a Global City, eds DeSenaJ. N. and https://www.google.com/search?tbo=p&tbm=bks&q=inauthor:%22Timothy+Shortell%22&source=gbs_metadata_r&cad=6 T. Shortell (Lanham, MD: Lexington Books), 35.
18
Gould K. A. Lewis T. L. (2017). Green Gentrification: Urban Sustainability and the Struggle for Environmental Justice. London and New York: Routledge.
19
Grove J. M. O'Neil-Dunne J. Pelletier K. Nowak D. Walton J. (2006). A Report on New York City's Present and Possible Urban Tree Canopy. Newtown Square, PA: USDA Forest Service, Northeastern Research Station. Available online at: https://www.fs.usda.gov/nrs/utc/reports/UTC_NYC_Report_2006.pdf (accessed November 8, 2022).
20
Hirabayashi S. (2015). i-Tree Eco Precipitation Interception Model Descriptions. Available online at: http://www.itreetools.org/eco/resources/iTree_Eco_Precipitation_Interception_Model_Descriptions.pdf (accessed November 8, 2022).
21
Hoffman J. S. Shandas V. Pendleton N. (2020). The effects of historical housing policies on resident exposure to intra-urban heat: a study of 108 US urban areas. Climate8, 1–12. 10.3390/cli8010012
22
Johnson S. Ross Z. Kheirbek I. Ito K. (2020). Characterization of intra-urban spatial variation in observed summer ambient temperature from the New York City Community Air Survey. Urban Clim.31, 100583. 10.1016/j.uclim.2020.100583
23
Kendall M. G. (1938). A new measure of rank correlation. Biometrika30, 81–93. 10.1093/biomet/30.1-2.81
24
Lai Y. Kontokosta C. E. (2019). The impact of urban street tree species on air quality and respiratory illness: a spatial analysis of large-scale, high-resolution urban data. Health Place56, 80–87. 10.1016/j.healthplace.2019.01.016
25
Leahy I. (2017). Why We No Longer Recommend a 40 Percent Urban Tree Canopy Goal. American Forests. Available online at: https://web.archive.org/web/20191105215519/https://www.americanforests.org/blog/no-longer-recommend-40-percent-urban-tree-canopy-goal/ (accessed January 14, 2022).
26
Locke D. H. Grove J. M. Galvin M. O'Neil-Dunne J. P. M. Murphy C. (2013). Applications of urban tree canopy assessment and prioritization tools: supporting collaborative decision making to achieve urban sustainability goals. CATE 6, 7. Available online at: https://digitalcommons.lmu.edu/cate/vol6/iss1/7
27
Locke D. H. Grove J. M. Lu J. W. T. Troy A. O'Neil-Dunne J. P. M. Beck B. D. (2010). Prioritizing preferable locations for increasing urban tree canopy in New York City. CATE3, 4. 10.15365/cate.3142010
28
Locke D. H. Hall B. Grove J. M. Pickett S. T. A. Ogden L. A. Aoki C. et al . (2021). Residential housing segregation and urban tree canopy in 37 US Cities. NPJ Urban Sustain.1, 15. 10.1038/s42949-021-00022-0
29
Louisville-Jefferson County Metro Government (2015). Louisville's Urban Tree Canopy Assessment. LouisvilleKY.gov. Available online at: https://louisvilleky.gov/government/division-community-forestry/louisvilles-urban-tree-canopy-assessment (accessed January 14, 2022).
30
Maantay J. A. (2002). Industrial zoning changes in New York City: a case study of “Expulsive” Zoning. Projections3, 63–108.
31
Maantay J. A. (2007). Asthma and air pollution in the Bronx: methodological and data considerations in using GIS for environmental justice and health research. Health Place13, 32–56. 10.1016/j.healthplace.2005.09.009
32
McPherson E. G. van Doorn N. S. Peper P. J. (2016). Urban Tree Database and Allometric Equations. Albany, CA: USDA Forest Service, Pacific Southwest Research Station. Available online at: https://www.fs.usda.gov/research/treesearch/52933.
33
McPherson E. G. Young R. (2010). Understanding the challenges of municipal tree planting. Arborist News19, 60–62.
34
Morrison S. A. (2015). A framework for conservation in a human-dominated world. Conserv. Biol.29, 960–964. 10.1111/cobi.12432
35
Morrison S. A. (2016). Designing virtuous socio-ecological cycles for biodiversity conservation. Biol. Conserv.195, 9–16. 10.1016/j.biocon.2015.12.022
36
Morton Arboretum (2018). Master Plan 2050. Chicago Region Trees Initiative. Available online at: http://chicagorti.org/sites/chicagorti/files/Supplemental%20Attachment%20A.%2018CRTI_Master%20Plan_FULL.pdf (accessed January 14, 2022).
37
Namin S. Xu W. Zhou Y. Beyer K. (2020). The legacy of the Home Owners' Loan Corporation and the political ecology of urban trees and air pollution in the United States. Soc. Sci. Med. 246, 112758. 10.1016/j.socscimed.2019.112758
38
Nardone A. Rudolph K. E. Morello-Frosch R. Casey J. A. (2021). Redlines and greenspace: the relationship between historical redlining and 2010 greenspace across the United States. Environ. Health Perspect.129, 017006. 10.1289/EHP7495
39
Nowak D. J. Greenfield E. J. (2018). Declining urban and community tree cover in the United States. Urban For. Urban Green. 32, 32–55. 10.1016/j.ufug.2018.03.006
40
Nowak D. J. Greenfield E. J. Hoehn R. E. Lapoint E. (2013). Carbon storage and sequestration by trees in urban and community areas of the United States. Environ. Pollut. 178, 229–236. 10.1016/j.envpol.2013.03.019
41
NYC Urban Forest Task Force (2021). NYC Urban Forest Agenda. NYC Urban Forest Task Force. Available online at: https://forestforall.nyc/wp-content/uploads/2021/06/NYC-Urban-Forest-Agenda-.pdf (accessed January 14, 2022).
42
O'Neil-Dunne J. MacFaden S. Forgione H. Lu J. (2014). Urban Ecological Land-Cover Mapping for New York City. Final report. Spatial Informatics Group, University of Vermont, Natural Areas Conservancy, New York City Department of Parks and Recreation.
43
O'Neil-Dunne J. P. (2011). A Report on the City of Philadelphia's Existing and Possible Tree Canopy. Available online at: https://www.phila.gov/media/20200210164446/Urban-Tree-Canopy-Report-03-18-11.pdf (accessed November 8, 2022).
44
O'Neil-Dunne J. P. (2012). A Report the City of New York's Existing and Possible Tree Canopy. Available online at: http://www.fs.fed.us/nrs/utc/~reports/UTC_NYC_Report_2010.pdf (accessed April 30, 2022).
45
O'Neil-Dunne J. P. (2014). A Report on Existing and Possible Tree Canopy in the City of Charlotte and Mecklenburg County, NC. Available online at: https://treescharlotte.org/wp-content/uploads/2014/02/TreeCanopy_Report_MecklenburgCountyNC.pdf (accessed November 8, 2022).
46
O'Neil-Dunne J. P. (2019). Tree Canopy Assessment, Philadelphia, PA. Available online at: https://www.phila.gov/media/20200210173518/Tree-Canopy-Assessment-Report-12-03-19.pdf (accessed November 8, 2022).
47
PostGIS Project Steering Committee (2021). PostGIS. Available at: https://postgis.net/ (accessed November 8, 2022).
48
Pregitzer C. C. Hanna C. Charlop-Powers S. Bradford M. A. (2022). Estimating carbon storage in urban forests of New York City. Urban Ecosyst.25, 617–631. 10.1007/s11252-021-01173-9
49
QGIS.org (2020). QGIS Geographic Information System. Available online at: https://qgis.org (accessed November 8, 2022).
50
R Core Team (2020). R: A Language and Environment for Statistical Computing.Vienna: R Core Team.
51
Raciti S. Galvin M. Grove J. M. O'Neil-Dunne J. Todd A. Clagett S. (2006). Urban Tree Canopy Goal Setting: A Guide for Chesapeake Bay Communities. Annapolis, MD: United States Department of Agriculture, Forest Service, Northeastern State and Private Forestry, Chesapeake Bay Program Office.
52
Robertson G. Mason A. (2016). Assessing the Sustainability of Agricultural and Urban Forests in the United States. Washington, DC: USDA Forest Service. Available online at: https://www.fs.fed.us/research/publications/FS-1067SustainabilityAgUrb.pdf
53
Roman L. A. Pearsall H. Eisenman T. S. Conway T. M. Fahey R. T. Landry S. et al . (2018). Human and biophysical legacies shape contemporary urban forests: a literature synthesis. Urban For. Urban Green. 31, 157–168. 10.1016/j.ufug.2018.03.004
54
Schell C. J. Dyson K. Fuentes T. L. Des Roches S. Harris N. C. Miller D. S. et al . (2020). The ecological and evolutionary consequences of systemic racism in urban environments. Science 369. 10.1126/science.aay4497
55
Selbig W. R. Loheide S. P. Shuster W. Scharenbroch B. C. Coville R. C. Kruegler J. et al . (2022). Quantifying the stormwater runoff volume reduction benefits of urban street tree canopy. Sci. Total Environ.806, 151296. 10.1016/j.scitotenv.2021.151296
56
Svendsen E. S. Campbell L. K. McMillen H. L. (2016). Stories, shrines, and symbols: Recognizing psycho-social-spiritual benefits of urban parks and natural areas. J. Ethnobiol.36, 881–907. 10.2993/0278-0771-36.4.881
57
The City of New York (2017). Geosupport System User Programming Guide, Software Version 17.2. New York, NY: The City of New York, Department of City Planning. Available online at: https://www1.nyc.gov/assets/planning/download/pdf/data-maps/open-data/upg.pdf (accessed November 8, 2022).
58
The PostgreSQL Global Development Group (2021). PostgreSQL. Available online at: https://www.postgresql.org/ (accessed November 8, 2022).
59
Treglia M. L. Acosta-Morel M. Crabtree D. L. Galbo K. Lin-Moges T. Van Slooten A. et al . (2021a). The State of the Urban Forest in New York City. The Nature Conservancy. 10.5281/zenodo.5532876
60
Treglia M. L. Acosta-Morel M. Crabtree D. L. Galbo K. Lin-Moges T. Van Slooten A. et al . (2021b). The State of the Urban Forest in New York City—Supplemental Datasets. Zenodo.
61
Treglia M. L. Piland N. C. Leu K. Van Slooten A. Maxwell E. N. (2022). Practical Canopy for New York City—Data Layer and Summarized Results. Zenodo.
62
Ward H. C. Grimmond C. S. B. (2017). Assessing the impact of changes in surface cover, human behaviour and climate on energy partitioning across Greater London. Landsc. Urban Plan.165, 142–161. 10.1016/j.landurbplan.2017.04.001
63
Woods L. L. (2012). The Federal Home Loan Bank Board, Redlining, and the national proliferation of racial lending discrimination, 1921–1950. J. Urban Hist.38, 1036–1059. 10.1177/0096144211435126
64
Zhou W. Huang G. Pickett S. T. A. Wang J. Cadenasso M. L. McPhearson T. et al . (2021). Urban tree canopy has greater cooling effects in socially vulnerable communities in the US. One Earth4, 1764–1775. 10.1016/j.oneear.2021.11.010
65
Ziter C. D. Pedersen E. J. Kucharik C. J. Turner M. G. (2019). Scale-dependent interactions between tree canopy cover and impervious surfaces reduce daytime urban heat during summer. PNAS116, 7575–7580. 10.1073/pnas.1817561116
66
Zoning Resolution of the City of New York (1993). New York City Zoning Resolution, Article VI Chapter 1—Special Regulations Applying Around Major Airports. Available online at: https://zr.planning.nyc.gov/article-vi/chapter-1 (accessed November 8, 2022).
67
Zoning Resolution of the City of New York (2011). New York City Zoning Resolution. Available onine at: https://zr.planning.nyc.gov/article-ii/chapter-6/26-41 (accessed March 3, 2020).
Summary
Keywords
tree canopy goal, urban conservation, urban forest equity, urban forest goals, social ecological system, urban tree canopy, tree equity, sustainability planning
Citation
Treglia ML, Piland NC, Leu K, Van Slooten A and Maxwell EN (2022) Understanding opportunities for urban forest expansion to inform goals: Working toward a virtuous cycle in New York City. Front. Sustain. Cities 4:944823. doi: 10.3389/frsc.2022.944823
Received
15 May 2022
Accepted
19 October 2022
Published
23 November 2022
Volume
4 - 2022
Edited by
Michele Romolini, Loyola Marymount University, United States
Reviewed by
Hao Zhang, Fudan University, China; Alicia Coleman, University of Connecticut, United States
Updates
Copyright
© 2022 Treglia, Piland, Leu, Van Slooten and Maxwell.
This is an open-access article distributed under the terms of the Creative Commons Attribution License (CC BY). The use, distribution or reproduction in other forums is permitted, provided the original author(s) and the copyright owner(s) are credited and that the original publication in this journal is cited, in accordance with accepted academic practice. No use, distribution or reproduction is permitted which does not comply with these terms.
*Correspondence: Michael L. Treglia michael.treglia@tnc.org
This article was submitted to Urban Greening, a section of the journal Frontiers in Sustainable Cities
Disclaimer
All claims expressed in this article are solely those of the authors and do not necessarily represent those of their affiliated organizations, or those of the publisher, the editors and the reviewers. Any product that may be evaluated in this article or claim that may be made by its manufacturer is not guaranteed or endorsed by the publisher.