ORIGINAL RESEARCH article
Front. Vet. Sci.
Sec. Animal Nutrition and Metabolism
This article is part of the Research TopicDietary Supplements for Optimizing Rumen Health and Nutrient Digestibility in LivestockView all 15 articles
Taxonomic and functional shifts in rumen microbiome of buffalo calves under longterm strategic supplementation of phyto-feed additives
Provisionally accepted- 1Rani Lakshmi Bai Central Agricultural University, Jhansi, India
- 2ICAR - Indian Veterinary Research Institute, Izatnagar, India
- 3International Livestock Research Institute, Nairobi, Kenya
- 4ILRI, South East Asia Office New Delhi India, New Delhi, India
Select one of your emails
You have multiple emails registered with Frontiers:
Notify me on publication
Please enter your email address:
If you already have an account, please login
You don't have a Frontiers account ? You can register here
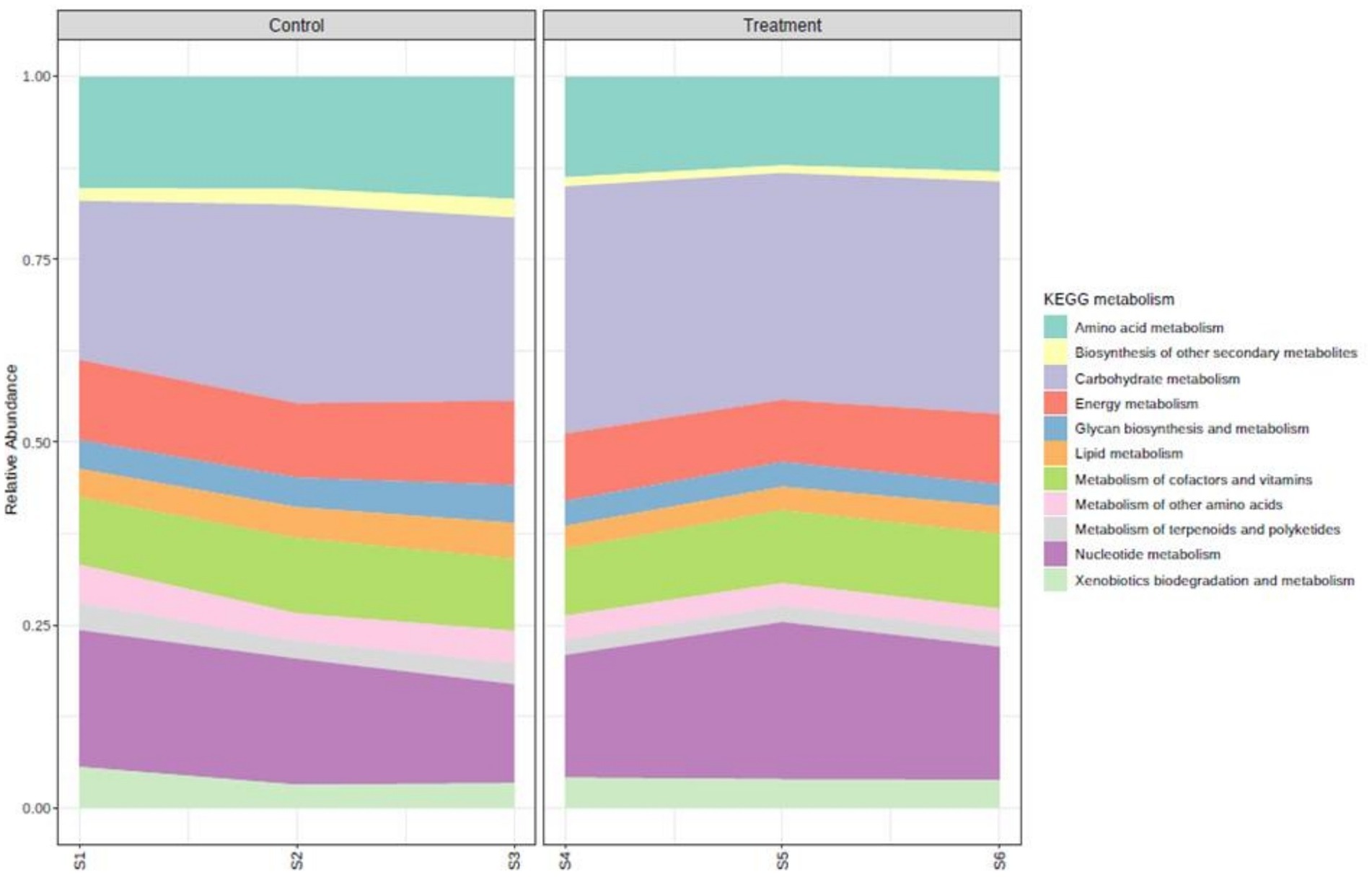
The present study was aimed at understanding a shift in rumen microbiome of buffaloes fed with additive and without additive. To comprehend the process, studies on rumen microbial metagenomics, as well as in vivo and in vitro rumen fermentation, were conducted. Three buffalo male calves were fed at control diets and three fed with additive FAI i.e. a blend of garlic (Allium sativum), ajwain (Trachyspermum ammi), harad (Terminalia chebula) and soapnut (Sapindus mukurossi) in equal proportion and FAII, ajwain oil. Using the same phyto-additives for a long time might let rumen microbes adapt and reduce their effect. So, we changed the additives every 15 days to study how this switching affects microbial response over long time. After 21 d of feeding, rumen liquor was sampled just before 2h post feeding. Dominant bacterial phyla included Prevotella, Bacteroides, Succiniclasticum, Fibrobacter, Clostridium, Alistipes, Ruminococcus and Butyrivibrio, with over 50 bacterial species consistently found across all animals. The main archaeal phylum was Euryarchaeota (>85%), with others like Candidatus_Bathyarchaeota and Thaumarchaeota also present. The 'Not Assigned' group also made up a major share. At the genus level, Methanomicrobium and Methanobrevibacter were most abundant (~30% each), followed by Methanosphaera, Methanosarcina and Methanomassiliicoccus.. Interestingly, while the total abundance of Archaea and Bacteroidota showed no significant differences between the groups, specific bins within these phyla displayed noticeable variations. The study found that phyto feed additives altered the rumen microbiome by reducing methanogens like Methanobrevibacter, enhancing fiber-degrading enzymes and shifting microbial composition leading to lower methane production and improved fiber utilization.
Keywords: Phyto-feed additives, next-generation sequencing (NGS), functional metagenomics, Microbial taxonomic shift, Buffalo calves
Received: 16 Jun 2025; Accepted: 14 Jul 2025.
Copyright: © 2025 SONI, Kala, Agarwal, Deka, Rahman, Kennedy and Chaudhary. This is an open-access article distributed under the terms of the Creative Commons Attribution License (CC BY). The use, distribution or reproduction in other forums is permitted, provided the original author(s) or licensor are credited and that the original publication in this journal is cited, in accordance with accepted academic practice. No use, distribution or reproduction is permitted which does not comply with these terms.
* Correspondence: L. C. Chaudhary, lcchaudhary1@rediffmail.com
Disclaimer: All claims expressed in this article are solely those of the authors and do not necessarily represent those of their affiliated organizations, or those of the publisher, the editors and the reviewers. Any product that may be evaluated in this article or claim that may be made by its manufacturer is not guaranteed or endorsed by the publisher.
