CLINICAL TRIAL article
Front. Vet. Sci.
Sec. Animal Nutrition and Metabolism
This article is part of the Research TopicExploring the Nexus: Diet and Microbiome Dynamics Across Gut, Oral, and Skin of Companion AnimalsView all 12 articles
A new highly digestible prescription diet containing Bacillus velezensis DSM 15544, fructo-oligosaccharides, plasma immunoglobulin, yeast and sepiolite for the management of acute diarrhea in dogs – a randomized double-blinded, controlled trial
Provisionally accepted- 1Affinity Petcare, Barcelona, Spain
- 2Improvet, Barcelona, Spain
- 3Universitat Autonoma de Barcelona, Barcelona, Spain
- 4Ars Veterinary Hospital, Barcelona, Spain
Select one of your emails
You have multiple emails registered with Frontiers:
Notify me on publication
Please enter your email address:
If you already have an account, please login
You don't have a Frontiers account ? You can register here
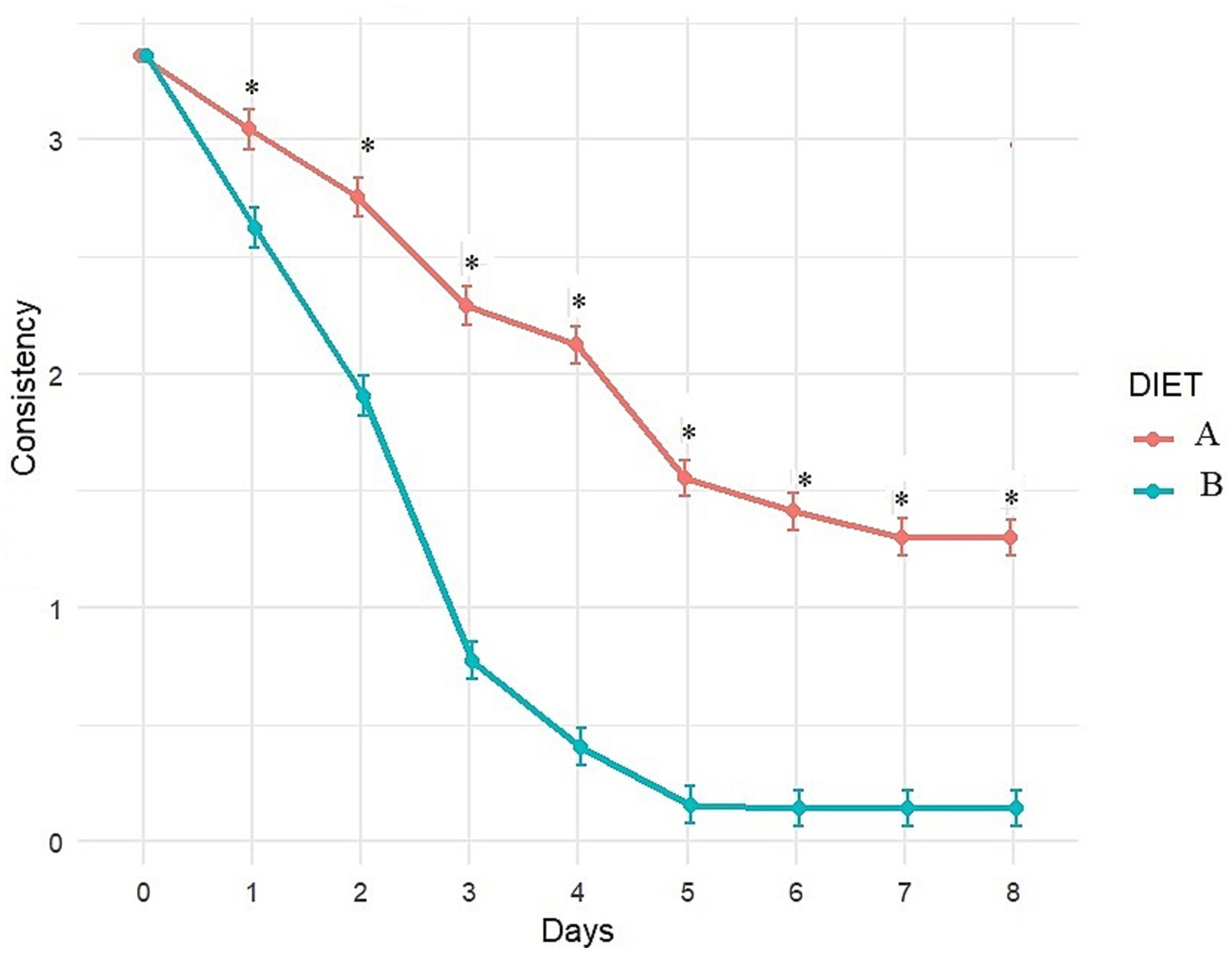
Objective: To determine if a newly formulated diet with safe and highly digestible ingredients, Bacillus velezensis DSM 15544, fructo-oligosaccharides, animal plasma protein, dried whole yeast and sepiolite contributes towards the management of canine acute diarrhea. Hypothesis: The new diet (Diet B) will reduce the time to achieve normal fecal consistency compared to a highly digestible control (Diet A). Methods: Multicenter randomized, double‐blinded, parallel-designed study with adult dogs with mild to moderate acute signs (less than 7 days) of uncomplicated diarrhea as inclusion criteria. Exclusion criteria were history of gastrointestinal signs, lack of correct vaccination and deworming, abnormal ultrasound examination, and previous administration of antibiotics, omeprazole or nutritional supplement. Response variables were compared using the appropriate bivariate test, time to recovery was analyzed using survival analysis techniques. Results: One hundred eleven dogs finished the study. Dogs fed Diet B (n=56) had a quicker recovery time of fecal consistency compared to A (3.6 ± 0.9 vs. 5.9 ± 0.9 days). Fecal frequency and odor were also quickly restored compared to diet A. Survival analysis confirmed a 1.6 times greater chance of recovery with Diet B compared to diet A. Feeding Diet B also improved dysbiosis index at recheck compared to diet A (-1± 3 vs. 0.65 ± 3). Conclusions: Diet B resulted in faster clinical resolution, improved fecal consistency, frequency, odor and reduced incidence of dysbiosis compared to Diet A, making it a superior dietary approach in the management of mild acute diarrhea in dogs.
Keywords: dog, Acute diarrhea, Probiotics, Prebiotics, Diet, animal plasma proteins
Received: 14 Jul 2025; Accepted: 10 Nov 2025.
Copyright: © 2025 Jeusette, Apper, Fragua, Sanchez, Torre, Badiella, Puig, Ballester, Jurado and Bernabe. This is an open-access article distributed under the terms of the Creative Commons Attribution License (CC BY). The use, distribution or reproduction in other forums is permitted, provided the original author(s) or licensor are credited and that the original publication in this journal is cited, in accordance with accepted academic practice. No use, distribution or reproduction is permitted which does not comply with these terms.
* Correspondence: Isabelle Jeusette, ijeusette@affinity-petcare.com
Disclaimer: All claims expressed in this article are solely those of the authors and do not necessarily represent those of their affiliated organizations, or those of the publisher, the editors and the reviewers. Any product that may be evaluated in this article or claim that may be made by its manufacturer is not guaranteed or endorsed by the publisher.
