ORIGINAL RESEARCH article
Front. Vet. Sci.
Sec. Veterinary Surgery
Metabolomic analysis of synovial fluid of healthy and pathological equine joints and tendon sheaths performed by the high resolution ¹H Nuclear Magnetic Resonance
Provisionally accepted- 1University of Bari Aldo Moro, Bari, Italy
- 2Universita del Salento, Lecce, Italy
- 3Universitat Leipzig, Leipzig, Germany
- 4Universita degli Studi di Sassari Dipartimento di Medicina Veterinaria, Sassari, Italy
Select one of your emails
You have multiple emails registered with Frontiers:
Notify me on publication
Please enter your email address:
If you already have an account, please login
You don't have a Frontiers account ? You can register here
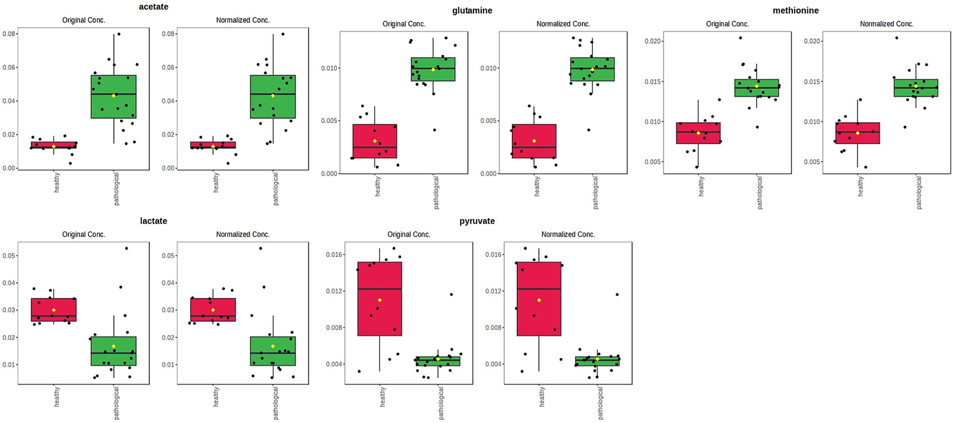
Joint and tendon sheath diseases are a major cause of lameness and impaired performance in horses. Synovial fluid composition changes in response to pathology, and metabolomic profiling offers a sensitive approach to detect these alterations. While equine joint metabolomics has been explored, the metabolomic profile of tendon sheaths remains poorly characterized. This study aimed to characterize and compare the synovial fluid metabolomic profiles of healthy and pathological joints and tendon sheaths in horses using high-resolution ¹H Nuclear Magnetic Resonance (NMR) spectroscopy, and to identify potential biomarkers of musculoskeletal disease. Synovial fluid samples were collected from healthy joints and tendon sheaths of regularly slaughtered horses and from pathological joints and tendon sheaths of sport horses affected by inflammatory or degenerative conditions. All samples underwent ¹H NMR analysis. Metabolomic profiling of equine synovial fluid identified amino acids, organic acids, glucose isomers and other metabolites. No significant differences were observed between the metabolic profiles of healthy joints and tendon sheaths (PCA: R²X = 0.761, Q² = 0.372; OPLS-DA: R²X = 0.48, R²Y = 0.292, Q² = −0.143). In contrast, pathological samples showed clear separation, with distinct clustering between pathological joints and tendon sheaths (PCA: R²X = 0.88, Q² = 0.684; OPLS-DA: R²X = 0.775, R²Y = 0.6772, Q² = −0.432). Multivariate analysis also highlighted marked discrimination between healthy and pathological joints (OPLS-DA: R²X = 0.662, R²Y = 0.859, Q² = 0.786), supported by univariate statistics (t-test, p < 0.05). Likewise, healthy and pathological tendon sheaths were clearly differentiated (OPLS-DA: R²X = 0.742, R²Y = 0.892, Q² = 0.842), again supported by t-tests (p < 0.05). These metabolic differences primarily involved energy-related pathways and amino-acid metabolism, highlighting altered joint homeostasis in affected horses. The main limitation of this study was the relatively small sample size, particularly for tendon sheaths, and additional specimens from both healthy and diseased sites are needed to consolidate these results. Overall, high-resolution ¹H NMR-based metabolomics proved valuable for distinguishing healthy from pathological equine synovial fluid, revealing specific metabolic fingerprints in diseased joints and tendon sheaths and supporting its potential role in the diagnosis and monitoring of orthopedic conditions in horses.
Keywords: horse, Synovial Fluid, Joint, Tendon sheath, biomarker, 1H-Nuclear MagneticResonance spectroscopy
Received: 22 Jul 2025; Accepted: 21 Nov 2025.
Copyright: © 2025 Guadalupi, Girelli, Della Tommasa, Della Corte, Crovace, Fanizzi, Brehm and Lacitignola. This is an open-access article distributed under the terms of the Creative Commons Attribution License (CC BY). The use, distribution or reproduction in other forums is permitted, provided the original author(s) or licensor are credited and that the original publication in this journal is cited, in accordance with accepted academic practice. No use, distribution or reproduction is permitted which does not comply with these terms.
* Correspondence: Luca Lacitignola, luca.lacitignola@uniba.it
Disclaimer: All claims expressed in this article are solely those of the authors and do not necessarily represent those of their affiliated organizations, or those of the publisher, the editors and the reviewers. Any product that may be evaluated in this article or claim that may be made by its manufacturer is not guaranteed or endorsed by the publisher.
