ORIGINAL RESEARCH article
Front. Vet. Sci.
Sec. Veterinary Pharmacology and Toxicology
This article is part of the Research TopicUnraveling inflammaging : A pathway to Prevent Age-related Disease in Animals - Volume IIView all 3 articles
Efficacy of nutraceutical supplements containing Passiflora incarnata L., Withania somnifera (L.) Dunal and Taraxacum officinale (L.) Weber ex F.H.Wigg. on markers of inflammation, oxidative stress and gut microbiota in senior dogs
Provisionally accepted- 1Department of Veterinary Medicine and Animal Production, University of Naples Federico II, Naples, Italy
- 2Biokyma Laboratories srl, Arezzo, Italy
- 3CEINGE Biotecnologie Avanzate sc a rl, Naples, Italy
- 4Department of Human Sciences and Quality of Life Promotion, San Raffaele Open University, Rome, Italy
- 5Universita degli Studi di Napoli Federico II Dipartimento di Scienze Biomediche Avanzate, Naples, Italy
- 6Consiglio nazionale delle ricerche, istituto di biostrutture e bioimmagini, Napoli, Italy
Select one of your emails
You have multiple emails registered with Frontiers:
Notify me on publication
Please enter your email address:
If you already have an account, please login
You don't have a Frontiers account ? You can register here
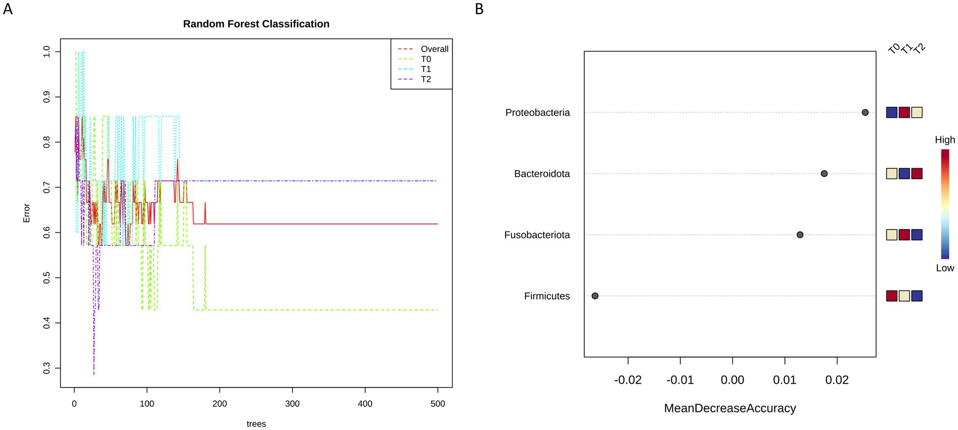
Aging in dogs is a complex phenomenon characterized by metabolic, immunological and neurological alterations that may result in chronic inflammation, oxidative stress and intestinal microbiota changing that can compromise dogs' overall health. Phytotherapeutics represents a promising approach to improve the quality of life in elderly dogs. In this study we have tested a mix of phytoextracts on 7 old breed dogs to evaluate their synergistic beneficial effects. The mix was constituted by Passiflora incarnata (4% vitexin), Withania somnifera (2.5% withanolides) and Taraxacum officinale (20% inulin) administered per os for 40 days in addition to their diet. The whole blood and serum have been collected at the beginning of the experimental phase (T0), after 20 days (T1) and at the end point of the experiment, i.e., 40 days (T2), and used for biochemical analysis, detection of interleukins by ELISA, and for malondialdehyde (MDA) and Total antioxidant capacity (TAC) assay. Fresh feces have been collected at the same time points and immediately frozen to evaluate gut microbiota modification by 16S rRNA sequencing. Results revealed a significant reduction of C-reactive protein (CRP) for T1 and T2 respect to the basal condition (T0) (p < 0.05). Moreover, a statistical decrease in IL-6 and IL-10 cytokines at both T1 and T2 was observed, probably due to mitigation of chronic inflammation in the treated old dogs. The addition of the abovementioned extracts into the diet was associated with TAC increase and reduced lipid peroxidation in the sera of aged dogs, especially at T2 (p<0.01). After treatment, an interesting modulation of the microbiota was observed with a trend from T0 to T2 toward higher relative abundances of SCFA-producing taxa, although alpha and beta diversity metrics did not reach statistical significance. This study supports the hypothesis that the integration of these herbal medicines into dietary or therapeutic regimens could represent a natural and synergistic strategy to improve the quality of life, promoting the general well-being of old dogs.
Keywords: Senior dogs, Oxidative Stress, Inflammation, Gut Microbiota, medicinal plants
Received: 30 Aug 2025; Accepted: 12 Nov 2025.
Copyright: © 2025 Ciarcia, Longobardi, Iervolino, Manenti, Ferrucci, Veneruso, D'Argenio, Rubino, Pelagalli, Lombardi and Damiano. This is an open-access article distributed under the terms of the Creative Commons Attribution License (CC BY). The use, distribution or reproduction in other forums is permitted, provided the original author(s) or licensor are credited and that the original publication in this journal is cited, in accordance with accepted academic practice. No use, distribution or reproduction is permitted which does not comply with these terms.
* Correspondence: Consiglia Longobardi, consiglia.longobardi@unina.it
Disclaimer: All claims expressed in this article are solely those of the authors and do not necessarily represent those of their affiliated organizations, or those of the publisher, the editors and the reviewers. Any product that may be evaluated in this article or claim that may be made by its manufacturer is not guaranteed or endorsed by the publisher.
