ORIGINAL RESEARCH article
Front. Vet. Sci.
Sec. Parasitology
A Survey, morphological, molecular, and histopathological characteristics of Taenia pisiformis metacestode in Egyptian rabbits (Oryctolagus cuniculus)
Provisionally accepted- 1Department of Microbiology and Parasitology, Faculty of Veterinary Medicine, Badr University in Cairo, Badr City, Egypt
- 2Department of Parasitology, Zagazig University Faculty of Veterinary Medicine, Zagazig, Egypt
- 3Department of Pathology, Faculty of Veterinary Medicine, University of Sadat City, El Sadat City, Egypt
- 4Department of Food Hygiene, Safety and Technology, Faculty of Veterinary Medicine, Badr University in Cairo, Badr City, Egypt
- 5Department of Biotechnologies,, University of Life Sciences “King Mihai I” from Timişoara, Timişoara, Romania
- 6Department of Zoology and Entomology, Faculty of Science (Boys), Al-Azhar University, Nasr City, Egypt
- 7Department of Anatomy and Embryology, Zagazig University Faculty of Veterinary Medicine, Zagazig, Egypt
- 8Department of Parasitology and Parasitic Disease, Faculty of Veterinary Medicine, University of Life Sciences “King Mihai I” from Timișoara, Timișoara, Romania
- 9Department of Pathology and Clinical Pathology, Faculty of Veterinary Medicine, Badr University in Cairo, Badr City, Egypt
- 10Department of Pathology, Zagazig University Faculty of Veterinary Medicine, Zagazig, Egypt
Select one of your emails
You have multiple emails registered with Frontiers:
Notify me on publication
Please enter your email address:
If you already have an account, please login
You don't have a Frontiers account ? You can register here
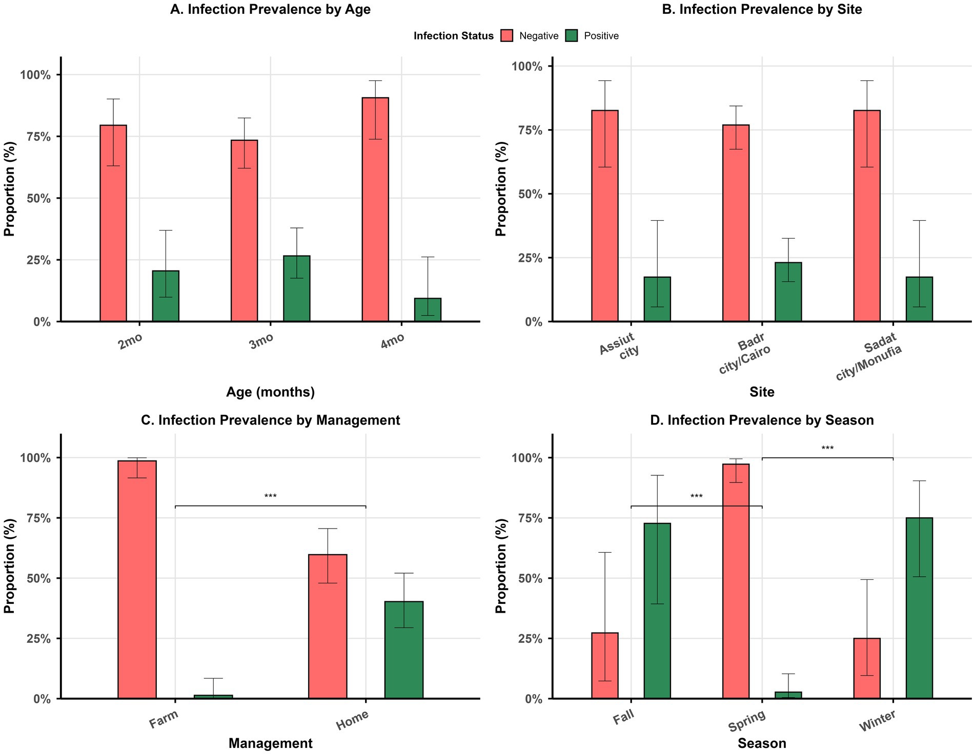
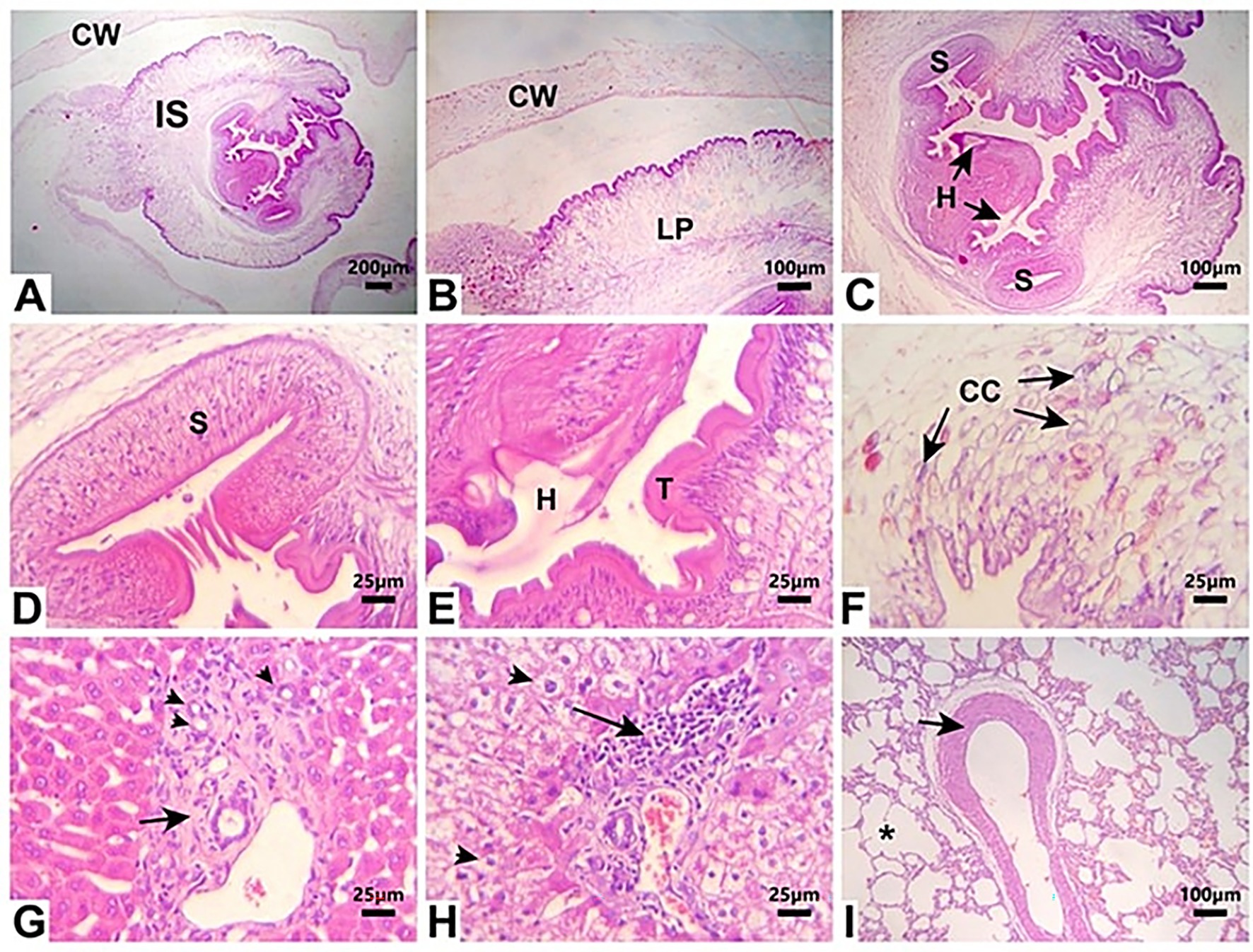
Introduction: Taenia pisiformis (T. pisiformis), the etiological agent of cysticercosis in rabbits, poses a considerable health risk to domestic lagomorphs and contributes to economic losses in rabbit farming. This study aimed to ascertain the prevalence, risk factors, and molecular characteristics of T. pisiformis in rabbits from three Egyptian regions: Badr City (Cairo Province), Sadat City (Monufia Province), and Assiut City (Assiut Province). Methods: A total of 150 samples were collected from both home-raised (n = 77) and farm-raised (n = 73) rabbits during the period from January to December 2024. Taenia pisiformis cysts were identified morphologically and histologically, with tissue samples processed using hematoxylin and eosin (H&E) staining. Molecular confirmation was performed via PCR targeting the Cytochrome oxidase subunit 1 (cox1) and NADH dehydrogenase subunit 1 (nad1) mitochondrial genes, followed by sequencing and phylogenetic analysis. Statistical associations between infection and risk factors (age, location, season, and management system) were evaluated using chi-square and Fisher’s exact tests. Results: The overall infection prevalence was 21.3% (32/150), which was significantly higher in home-raised rabbits (31/77, 40.2%) compared to farm-raised rabbits (1/73, 1.3%; χ² = 31.5, P < 0.001). Infection rates were also strongly linked to season, with fall and winter showing higher prevalence. Cysts were mostly found in the mesentery and varied in number (1–5 per rabbit). Morphologically, the cysts contained a scolex with distinctive features, including suckers and rostellar hooks. Histology showed a thick cyst wall and characteristic tissue structures. Molecular analysis confirmed the parasite as Taenia pisiformis, with sequence similarities ranging from 97.64% to 100%, indicating a close relationship to global sequences. Discussion: These findings underscore the influence of management practices and seasonal factors on infection dynamics and highlight the importance of molecular tools in parasite surveillance.
Keywords: Cysticercosis, pisiformis, Rabbits, Prevalence, molecular
Received: 08 Sep 2025; Accepted: 11 Nov 2025.
Copyright: © 2025 Ras, El-Bahrawy, Abdelkhalek, Morariu, Elsayed, Nouh, Plesko, Ilie and AbdelMageed. This is an open-access article distributed under the terms of the Creative Commons Attribution License (CC BY). The use, distribution or reproduction in other forums is permitted, provided the original author(s) or licensor are credited and that the original publication in this journal is cited, in accordance with accepted academic practice. No use, distribution or reproduction is permitted which does not comply with these terms.
* Correspondence:
Refaat Ras, refaat.atef@buc.edu.eg
Marius Stelian Ilie, mariusilie@usvt.ro
Disclaimer: All claims expressed in this article are solely those of the authors and do not necessarily represent those of their affiliated organizations, or those of the publisher, the editors and the reviewers. Any product that may be evaluated in this article or claim that may be made by its manufacturer is not guaranteed or endorsed by the publisher.
